【物理】陈文畅:研高考真题,促丰中教学——解析2025年广东高考物理第15题
四季读书网
10
【物理】陈文畅:研高考真题,促丰中教学——解析2025年广东高考物理第15题
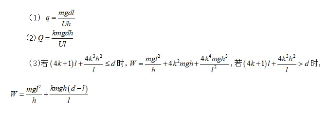
深刻理解客观世界的物理观念:要求学生掌握物理基础知识,形成对物理世界的科学认知。科学思维的抽象概括与证据推理:强调逻辑推理与批判性思考,培养学生发现问题、质疑现有理论,并通过理论与实验数据的逻辑推理推动科学进步的能力。在探究中提升的能力:通过实验探究,提升学生独立操作、深度理解以及将知识迁移至新情境的能力。科学态度与责任:培养学生对科学的严谨态度,以及为社会作出贡献的责任感。2025年广东高考物理第15题考点为带电物体(计重力)在匀强电场中的一般运动、带电物体(计重力)在匀强电场中的直线运动,试题创设了研究颗粒碰撞电荷特性装置的情景。该题为压轴题,难度较大,在思维深度、计算复杂度、物理情景设置等方面均有较高要求,需将多个物理概念、规律和公式有机结合,考查考生是否具备系统的物理知识体系。试题通过设置新颖的物理情境,考查考生的知识迁移能力与创新思维,区分度显著,能够有效区分不同层次的考生,选拔出物理学科能力突出的学生。15.如图是研究颗粒碰撞电荷特性装置的简化图。两块水平绝缘平板与两块竖直的平行金属平板相接,金属平板之间接高压电源以产生匀强电场。一带电颗粒从上方绝缘平板左端A点由静止开始向右下方运动,与下方绝缘平板在B点碰撞,碰撞时电荷量发生改变;反弹后离开下方绝缘平板瞬间,颗粒的速度与所受合力垂直,其水平分速度与碰前瞬间相同,竖直分速度大小变为碰前瞬间的k倍(K<1)。已知颗粒质量为m,两绝缘平板间的距离为h,两金属平板间的距离为d,B点与左平板的距离为l,电源电压为U,重力加速度为g。忽略空气阻力和电场的边缘效应。求:(3)颗粒从A点开始运动到第二次碰撞过程中,电场力对它做的功W。高中物理的考查核心在于物理模型,无论是选择题还是计算题,均由各类基础物理模型组合而成。斜面模型、圆周运动、平抛运动以及磁场与电场中的粒子运动等,都是高频考点。只要熟练掌握每一种模型,就能应对各类常规题目。分析粒子运动时,需重点关注受力分析与运动分析:1.带电粒子在电场、磁场与重力场共存的复合场中运动时,受力情况与运动状态虽较为复杂,但其本质仍属于力学问题,需遵循力学基本思路,运用力学基本规律进行研究与解决。2.分析带电粒子在复合场中的受力时,需明确各力的特点:无论粒子是否运动,在重力场中受的重力、在匀强电场中受的电场力均为恒力,这两种力做功仅与粒子在重力场中的高度差或电场中的电势差有关,与运动路径无关;而带电粒子在磁场中只有运动(且速度方向不与磁场平行)时才会受到洛伦兹力,其大小随速度大小变化,方向始终与速度方向垂直,因此洛伦兹力对运动电荷不做功。(二)带电微粒在重力、电场力、磁场力共同作用下的运动(电场、磁场均为匀强场)1.若带电微粒在三个场共同作用下做匀速圆周运动,必然是电场力与重力相互平衡,洛伦兹力充当向心力。2.若带电微粒在三个场共同作用下做直线运动:重力与电场力均为恒力,二者的合力也为恒力。当微粒速度方向与磁场平行时,不受洛伦兹力,可能做匀速直线运动或匀变速直线运动;当微粒速度方向与磁场垂直时,则一定做匀速直线运动。3.对于与力学紧密结合的综合题,需仔细分析受力情况与运动状态(包括速度与加速度),必要时进行分类讨论。(三)带电粒子在重力场、匀强电场、匀强磁场复合场中的运动基本模型1.匀速直线运动:自由带电粒子在复合场中做的直线运动通常为匀速直线运动,除非粒子沿磁场方向进入磁场(此时不受洛伦兹力)。由于重力与电场力均为恒力,若二者合力无法与洛伦兹力平衡,粒子速度的大小与方向会发生改变,无法维持直线运动。2.匀速圆周运动:自由带电粒子在复合场中做匀速圆周运动时,电场力与重力必定相互平衡。当粒子速度方向与磁场方向垂直时,洛伦兹力提供向心力,使粒子做匀速圆周运动。3.复杂曲线运动:在复合场中,若带电粒子所受合外力不断变化且与速度方向不在同一直线上,粒子将做非匀变速曲线运动。此类问题通常可从能量角度分析解决;若粒子受轨道约束,或匀强电场、匀强磁场随时间周期性变化等,会使运动更复杂,需结合具体情况分析。广东高考物理压轴题的考查呈现出显著变化趋势,从题型设计到内容深度,均体现了对考生物理素养与综合能力的更高要求。- 考查物理科学思维与数学抽象能力:近年来的压轴题不仅考查考生的物理基础知识,更注重对其物理科学思维和数学抽象能力的考察。
- 从贴近现实到贴近科学思维与数学思维:近年来,广东高考物理的压轴难题逐渐从贴近现实生活的题目,转变为聚焦科学思维与数学思维的题目。
基于上述分析可知,广东卷物理第15题贯穿了从信息获取到质疑创新的完整思维过程,最终指向对学生思维品质的考查。该题通过对速度关系设置比例“k”展开讨论,这类围绕某个过程、某个物理量进行分类讨论的试题,在往年广东卷及近年来全国各地的试题中频繁出现,因此有必要对这类问题进行归纳分析,总结解决策略:攻克物理压轴题需建立系统化知识框架、提升数学建模能力,并通过针对性训练培养复杂问题的拆解技巧。考生应注重对物理本质的理解,而非单纯套用公式,在严谨推导中培养科学思维品质。高考压轴题虽难度较大,但并非无法攻克。只要我们掌握其特点与规律,通过科学的备考策略提升自身能力、调整好心态,就一定能在高考中从容应对,向梦想更进一步。陈文畅,高中物理高级教师,梅州市嘉应名师,曾获梅州市优秀教育工作者、梅州市邹锡昌高考优胜奖、丰顺县优秀教师、丰顺县学校安全管理工作先进个人等荣誉称号。主持完成教育科研课题《新课改下山区学校物理实验教学的初步研究》、梅州市中小学德育课题《新时代劳动教育课程与研学实践的融合策略研究》等;多篇论文在刊物发表,如《山区学校校园冷暴力的预防与解决略谈》发表于《报刊荟萃》杂志(国际刊号ISSN1672-8688)2018年3月(下);论文《新时代劳动教育与研学实践的融合策略探索》2022年3月发表于《当代教育家》(国际标准刊号:ISSN 2095-3526;国内统一刊号:CN 37-1488/G4)等。
扫码关注么么哒~
版权声明:本文内容由互联网用户自发贡献,该文观点仅代表作者本人。本站仅提供信息存储空间服务,不拥有所有权,不承担相关法律责任。如发现本站有涉嫌抄袭侵权/违法违规的内容, 请发送邮件至23467321@qq.com举报,一经查实,本站将立刻删除;如已特别标注为本站原创文章的,转载时请以链接形式注明文章出处,谢谢!