网球单招
以下是海世通体育为考生及家长汇总的2026年体育单招文化课全科真题及答案:
语文真题及答案
一、语文知识部分
1.下列各组词语中加点的字,读音全都相同的一项是( A )
A.逊色 防汛 徇私枉法
B.富饶 环绕 饶有兴致
C.匍匐 胸脯 普天同庆
D.捎带 哨所 稍纵即逝
2.下列各组词语,书写完全正确的一项是( C )
A.精萃绊脚石 川流不息
B.重叠 入场券 奇貌不扬
C.坐镇 舶来品 脍炙人口
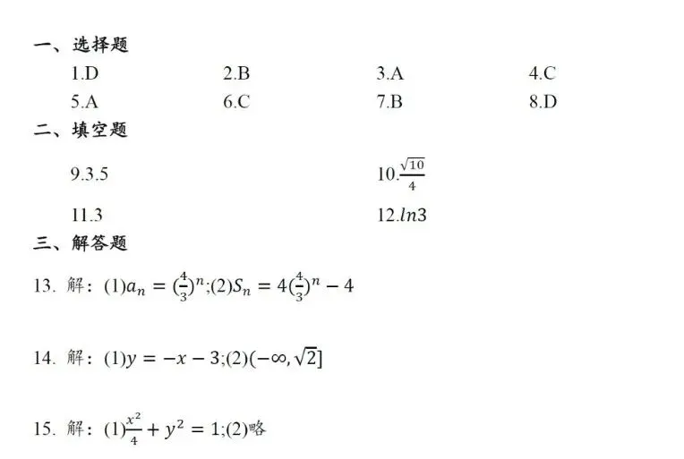
D.渲泄荒漠化 声名狼藉
3.依次填入下面一段文字横线处的词语,最恰当的一项是( )
答案:苍凉、闪闪发亮、散落
4.下列各句中加点熟语的使用,不正确的一项是( D )
D.记者深入调查,拔出萝卜带出泥,找到了救人英雄
5.下列各句中加点成语的使用,不正确的一项是( A )
A.正中下怀
6.下列句子中,有语病的一项是( B )
B.作为农村社会体育的组成部分,村民身心健康得到了保障
7. 在横线处填入下列句子或短语,顺序最恰当的一项是( )
未见原题,大多数选A
8.下列各句中,使用的修辞与其他三项不同的一项是( C )
C.冷风把空气都冻成冰碴子
9.下列句子中标点符号的使用,不正确的一项是( B )
B.“感觉怎样”?营长说,“ XXXXXX?”
10.下列有关作家作品的表述,不正确的一项是( A )
A.“采菊东篱下”是陶渊明的《桃花源记》中的名句
B.屈原的《离骚》开创了浪漫主义诗歌传统
C.老舍的《骆驼祥子》塑造了祥子人力车夫的形象
D.《狂人日记》《阿Q正传》收录于鲁迅的小说集《呐喊》中
11.对下列词语中加点字的注音,不正确的一项是( D )
D.选项原题:炙(chì)— 正确读音:炙(zhì)12.对下列词语在文中意思的解释,不正确的一项是( )
答案:手可盈握
13题至17题
暂无原题
二、现代文阅读
18.下列选项中,最适合做文章标题的一项是:( A )
A.缸贴子
B.我的父亲
C.家乡的味道
D.油酥烧饼
三、古文阅读
文言文原文:
屈原有博通之知,清洁之行,怀王用之。秦欲吞灭诸侯,并兼天下。屈原为楚东使于齐,以结强党。秦国患之,使张仪之楚,货楚贵臣上官大夫、靳尚之属,上及令尹子兰、司马子椒,内赂夫人郑袖,共谮屈原。屈原遂放于外,乃作《离骚》。张仪因使楚绝齐,许谢地六百里,怀王信左右之奸谋,听张仪之邪说,遂绝强齐之大辅。楚既绝齐,而秦欺以六里。怀王大怒,举兵伐秦,大战者数,秦兵大败楚师,斩首数万级。后秦嫁女于楚,与怀王欢,为蓝田之会,屈原以为秦不可信,愿勿会,群臣皆以为可会,怀王遂会,果见囚拘,客死于秦,为天下笑。怀王子顷襄王,亦知群臣谄误怀王,不察其罪,反听群谗之口,复放屈原。屈原疾闇王乱俗,以是为非,以清为瘘,不忍见于世,将自投于渊,渔父止之。屈原曰:“世皆醉,我独醒;世皆瘘,我独清。”遂自投湘水汨罗之中而死。
19.对下列加点字的注音,不正确的一项是( )
答案:赂(luò)— 正确读音:赂(lù)20.“为”的读音与其他三项不同的一项是( )
答案:屈原为楚东使于齐
21.之的用法和意义,与其他三项不同的一项是( )
答案:使张仪之楚
22.下列对文中加点词的解释,不正确的一项是( )
答案:货:财物
23.断句( D )
A.怀王大怒/举兵伐秦/大战者数/秦兵大败/楚师斩首数万级
B.怀王大怒举兵/伐秦/大战者数秦兵/大败/楚师斩首数万级
C.怀王大怒举兵/伐秦大战者/数秦兵/大败楚师/斩首数万级
D.怀王大怒/举兵伐秦/大战者数/秦兵大败楚师/斩首数万级
24.文意理解 ( )
未见原题,大多数选D
四、作文
作为全人类共同的语言,体育能够超越国别,种族和文化差异,具有使人们团结一心的力量,也是各国人文交流,民心相通的见证。
数学真题及答案
一、试题


政治真题及答案
一、单项选择题:本大题共 25 小题,每小题 3 分,共 75 分。
1.人类社会从封建社会发展到资本主义社会的根本动力在于( A )
A.生产力与生产关系的矛盾运动
B.商品经济的繁荣和世界市场的形成
C.思想解放运动瓦解了封建意识形态
D.资产阶级革命和资本主义政治制度的确立
2.剩余价值学说揭示了( B )
B.资本主义运行规律和资本主义社会特点
D.资本家剥削工人占有剩余劳动的秘密
3.代替那存在着阶级和阶级对立的资产阶级旧社会的将是这样一个联合体。在那里每个人的自由发展是一切人自由发展的条件出自( B )
A.资本论
B.共产党宣言
C.反杜林论
D.哥达纲领批判
4.B.中国特色社会主义是科学社会主义在中国的生动实践
5.中华人民共和国成立的意义( C )
C.从根本上改变了中国社会发展方向
6.中国梦的本质是( A )
A.国家富强,民族振兴,人民幸福
7.深圳巨变等,向世界说明( D )
D.中国特色社会主义制度优势
8.新年贺词中,习近平同志讲话表明( A )
A.中国特色社会主义道路是正确道路
9.( )
10.中国共产党的执政理念是( B )
B.立党为公执政为民
11.B.培育和践行社会主义核心价值观
12. 中国共产党进行自我革命,持之以恒全面从严治党( A )
A.全面从严治党
13.除审议表决提案外,人大代表还有什么权利?( C )
A.监督
B.决策
C.质询权
D.议政
14.中央和各地对西藏的援助是( D )
D.发展巩固民族关系的举措
15. 建设中国特色社会主义法治体系 是全面推进依法治国总目标的要求 中国特色社会主义法治体系除包括法治实施体系、法治监督体系、法治保障体系、党内法规体系外还包括( C )
A.法制创新
B.道德建设
C.法治规范
D.社会守法
16. 保护公民各项权利是( A )
A.法治主要功能
B.法律制度建设主体内容
C.依法治国的根本任务
D.提高法治水平重要措施
17. 公正司法有什么作用( A )
A.维护人民权益
18.哲学基础知识( B )
A. 科学之科学
B. 哲学是世界观和方法论的统一
C.哲学是科学方法论为解决人生与社会问题提供具体方法
D.哲学是追求智慧的学问,帮助人们准确预测社会发展趋势
19.习近平讴歌劳动精神是因为( D )
A.劳动决定了社会形态的更替
B.在劳动中才能形成正确的价值判断
C.劳动是区分不同社会制度的根本标志
D.劳动是促进人的自由全面发展的重要手段
20.( A )
21.唯物辩证法的总特征是( B )
A.对立统一规律
B.联系观
C.绝对与相对
D.共性与个性
22.人生要走千万步,但关键的是其中的两三步,说明( C )
23.漫画题,中华民族精神的核心是( D )
D.爱国主义
24.文化多样性( C )
C.是世界文化繁荣的必然要求
25.保护老地名( B )
二、填空题:本大题共5小题,每小题3分,共15分。
26.9月3日,纪念中国人民抗日战争暨世界反法西斯战争胜利80周年大会在北京天安门广场隆重举行。
27.12月18日,海南自由贸易港正式启动全岛封关,这是我国坚定不移扩大高水平对外开放、推动建设开放型世界经济的标志性举措。
28.10月20日至23日,党的二十届四中全会在北京召开。审议通过了《中共中央关于制定国民经济和社会发展第十五个五年规划的建议》。
29.2025年上海合作组织峰会在天津举行。习近平主席在峰会上提出全球治理倡议。
30.11月9日至21日中华人民共和国第十五届运动会,由粤港澳或为广东、香港、澳门三地联合举办,在广州开幕。
三、问答题:本大题共 3 小题,每小题 20 分,共 60 分。
31.结合材料,并运用《经济与社会》知识,分析国产冰雪运动装备全球畅销的原因。
①坚持以人民为中心的发展思想,坚持共享发展理念,实现共同富裕。②坚持创新(创新是第一动力,推动产业结构优化升级、促进上下游企业、一二三产业协同发展,协同发展,实施供给侧结构性改革,建设创新引领,协同发展的产业体系,把发展经济的着力点放在实体经济上)、绿色(促进人与自然和谐共生)、开放(推动更高层次开放型经济发展增强国际影响力,制度型开放,建设贸易强国)。③坚持以国内大循环为主体,国内国际双循环的新发展格局,坚持扩大内需这个战略基点,增强消费能力,从投资于物到投资于人协同发力,培育消费增长持久动能,释放消费潜力。④以教育、科技、人才为基础性、战略性支撑,全面建设社会主义现代化国家。⑤政府进行科学宏观调控,提供公共服务,制定经济发展规划,发挥市场在资源配置中的决定性作用。
32.结合材料,运用《政治与法治》的知识,说明中国特色社会主义政党制度的显著优势。
①坚持党的领导、人民当家作主和依法治国的有机统一②坚持发挥党总揽全局,协调各方的领导核心作用,党的领导是中国特色社会主义最本质的特征,是中国特色社会主义制度的最大优势。为……提供根本政治保障。③中国共产党领导的多党合作和政治协商制度是我国的基本政治制度。④民主党派是参政党是政治联盟,坚持长期共存、互相监督、肝胆相照、荣辱与共的方针,首要前提和根本政治保证是坚持党的政治领导,以宪法为根本活动准则。协商民主是社会主义民主政治的特有形式和独特优势。⑤政协是爱国统一战线组织,坚持团结、民主两大主题,履行政治协商、民主监督、参政议政的职能;广泛集中民智是人民民主的生动实践。协商民主是社会主义民主政治的特有形式和独特优势。
33.结合材料,运用“尊重客观规律与发挥主观能动性”的知识,说明中国航天团队是如何成功处置此次太空应急事件的。
①人能够能动地认识世界,意识活动具有目的性、自觉选择性、能动创造性。②尊重客观规律是正确发挥主观能动性的前提条件。这要求我们尊重规律,按客观规律办事。③意识的能动性受客观规律的制约。只有符合客观规律的正确意识,才能有效发挥能动作用,正确指导人们的实践,实现改造世界的预期目的;违背客观规律的错误意识,会导致实践的失败,会对事物的发展产生阻碍作用。要求我们充分发挥主观能动性,以求真务实的精神探求事物的本质和规律,用科学的理论武装头脑、指导实践。
英语真题及答案
一、单项选择
11.Visitors can enjoy a bird's eye view of the lake fromthe top of the hill.
A.a,\
B.a,theC.\,a
D.the,a
12.In order not to get angry,Sarah often tries toC a deep breath and count to ten.
A.put
B.keep
C.tak
D.cut
13.The two sisters look so similar it's often difficult to tell Afrom the other.
A.one
B.her
C.that
D.this
14.-sorry,Liz. I think I was a bit rude to you. C ,but don't do it again.
A.By no means
B.leaveitalone
C.Forgetit
D.Needless to say
15.You'll get to the library B more quickly by car.
A.fairly
B.far
C.very
D.quite
16.It'scoldoutside, youshould A ajacket.
A.put on
B.make up
C.carryout
D.show off
17.The day we have to leave the city is drawing D .
A.easy
B.fast
C.soon
D.near
19.We don't often go to the cinema,only about once D three months.
A.any
B.some
C.all
D.every
A.knocked
B.to be knocking
C.tobeknocked
D.knocking

Hi,Chris
Long time no see! As the summer holidays are coming, what is your plan for that? I have made a wonderful plan to share with you.
I am willing to invite you to join the swimming club.
Swimming is a wonderful activity that can be enjoyed by people of all ages. It is a great way to stay active, improve physical fitness, and have fun with friends. This would be a great opportunity for us to spend quality time together, get some exercise, and beat the heat.
I truly believe that a trip to the swimming pool would be a fantastic way for us to spend quality time together. It would be a chance for us to get some exercise, have fun, and strengthen out friendship. I hope you will consider my invitation and join me to relax at the local pool.
I am looking forward to hearing from you.
Yours
Li Hua
