习数屋是一个专注于高中数学教育、家庭教育、自我成长的公众号。
为保障您及时收到推送文章,请
1.设为星标,进入公众号主页 → 点击右上角“...” → 选择“设为星标”。星标后,公众号名称旁会出现一颗黄色星星。
2.经常点开、完整阅读,阅读后点赞、在看和评论
3.开启文章推送通知,在公众号文章页面,点击右上角“...” → 选择“设置” → 开启“接收文章推送”。
本文提供2023年全国新高考1卷数学真题原卷及答案,该试卷为国家教育部考试中心命制。任何单位和个人不能利用此试卷盈利,凡有转发请注明试卷来源为国家教育部考试中心。文末提供下载链接。
试卷原文

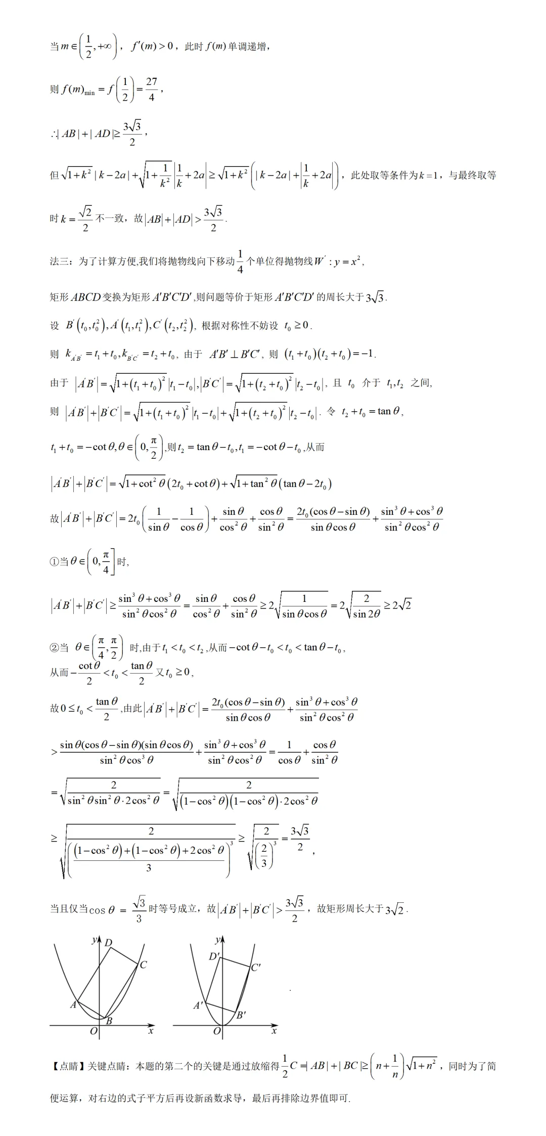
参考答案






文件下载链接
点击下方链接可下载源文件
写在最后的话
学好高中数学,离不开三个关键词的循环:思考、总结与练习。
思考是引擎。面对题目,别急于套公式。先停一停,问自己:条件是什么?目标是什么?它们之间有何潜在联系?这种主动探究,能让你真正“看见”知识背后的逻辑。
总结是地图。每学完一章,不妨合上书本,试着画出这一章的知识脉络图。重点题型、易错点、不同知识点间的交汇处,都是你的“战略要地”。把散落的知识点,编织成你自己的网络。
练习是征途。但练习≠盲目刷题。精选经典题、错题,用你总结的方法去实践,在练习中检验和修正你的思考。让每一次落笔,都成为有目的的航行。
思考引路,总结成图,练习固本。愿你在马年的学习中,找到这个良性循环的节奏,踏实前行,收获思维跃迁的喜悦。
