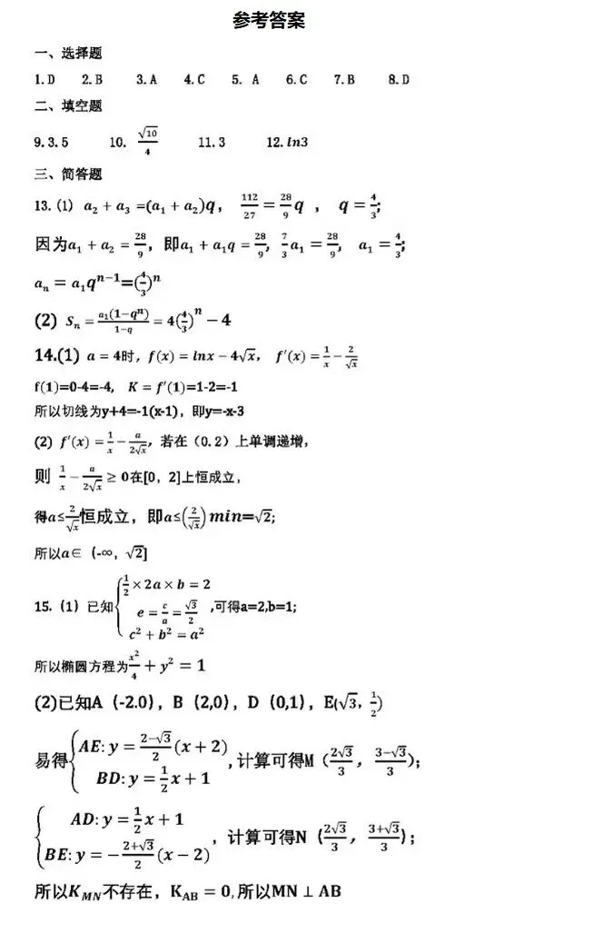
2026年全国普通高等学校运动训练、武术与民族传统体育专业单独统一招生考试数学真题及答案【完整版】



若需电子版资料,点击进入下载!
17套|2009-2025年全国普通高校学校运动训练、武术与民族传统体育专业单招考试政治真题及答案解析(高清PDF电子版)(含完整版2025年真题)
17套|2009-2025年全国普通高校学校运动训练、武术与民族传统体育专业单招考试数学真题及答案解析(高清PDF电子版)(含完整版2025年真题)
17套|2009-2025年全国普通高校学校运动训练、武术与民族传统体育专业单招考试语文真题及答案解析(高清PDF电子版)
17套|2009-2025年全国普通高校学校运动训练、武术与民族传统体育专业单招考试英语真题及答案解析(高清PDF电子版)
5套|2026年全国体育单招考试(语文)考前押题卷及答案解析(高清PDF电子版)(2026年押题卷)
5套|2026年全国体育单招考试(数学)考前押题卷及答案解析(高清PDF电子版)(2026年押题卷)
5套|2026年全国体育单招考试(英语)考前押题卷及答案解析(高清PDF电子版)(2026年押题卷)
5套|2026年全国体育单招考试(政治)考前押题卷及答案解析(高清PDF电子版)(2026年押题卷)
2套终极密押卷|2026年全国体育单招考试(政治)终极密押卷及答案解析(高清PDF电子版)(2026年密押卷)
PDF电子版|全国体育单招考试历年真题(2009-2025年)和模拟冲刺押题卷(含答案解析)(4科汇总)
对于全国体育单招考试复习备考,历年真题和模拟题尤为重要,多做历年真题和模拟题,可以了解考试科目的知识点,熟悉考试的命题规律,帮助我们更好地复习备考,争取一次性通过考试!
最后,预祝大家都顺利通过考试!