DAY38 启禾模拟考二期:63.7

四季读书网 11 0
DAY38 启禾模拟考二期:63.7
DAY38 启禾模拟考二期:63.7 第1张
DAY38 启禾模拟考二期:63.7 第2张

做题的时候手感不好,楼下在钻地,突突突

重新做了一遍,大概错15个左右

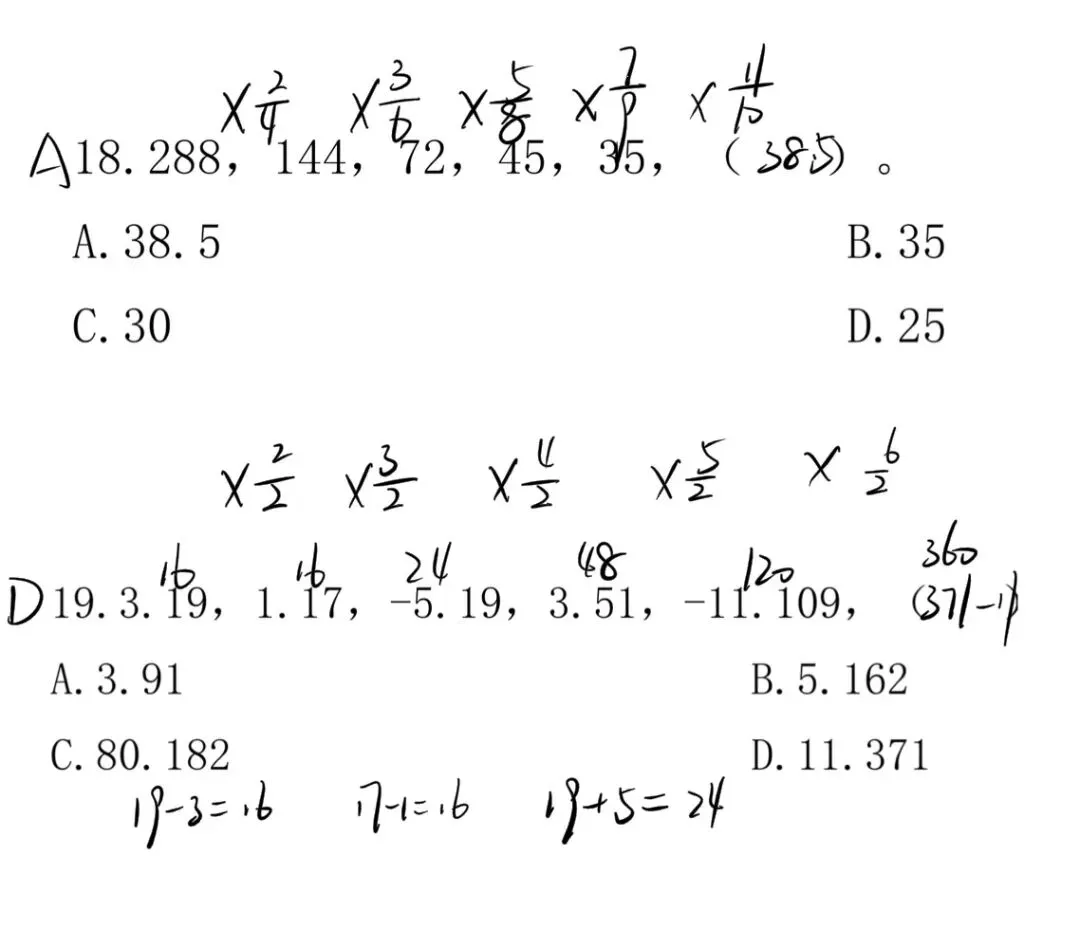
分析一下错题

DAY38 启禾模拟考二期:63.7 第3张
DAY38 启禾模拟考二期:63.7 第4张
DAY38 启禾模拟考二期:63.7 第5张
DAY38 启禾模拟考二期:63.7 第6张D:题干中明确“大概是起源于湘贵粤一带”,未明确是从湘贵粤传出的,错的很明显。
DAY38 启禾模拟考二期:63.7 第7张
题13:选D
第二空:死灰复燃、改头换面均可
沉渣泛起:一般形容腐朽的言论(排除)
东山再起:褒义(排除)
第一空:纠治
遏制有压制的意思,不能“彻底”消除,用在这里不好。
DAY38 启禾模拟考二期:63.7 第8张
题14:选B
第二空:不能“贪大求快”的对策是不弃微末。
第一空:
方兴未艾:形容新事物兴起,远没到停止的时候。看意思也可以,但是做题的时候直觉方兴未艾不行。
答案说“声名鹊起”没体现出来,因此排除。对这个存疑,我觉着能用。选B只是因为第二空能对上。
题15:选D
第一空:淋漓尽致、活灵活现
入木三分:形容描写、议论的深刻(排除)
惟妙惟肖:形容模仿得很逼真(排除)
活灵活现:形容描写、讲述、模仿得非常逼真,好像真的、活的一样。其实活灵活现我觉得是不可以的。
第二空:
一脉相承:形容文化、技艺传承。一般不说一脉相承的传播(排除)
不胫而走:形容事物用不着推行就能到处流传。行吧,你是答案你最大,你说啥是啥。
题16:选D
第三空:别出心裁、匠心独运。第三空主要体现艺术家独特的小巧思。
一般说独树一帜的风格(排除)。
独具慧眼:形容眼光特别好、看得准、有独到见解,能发现别人看不到的优点、真相或机会。(排除)
第二空:恰如其分。第二空强调木板的机理很形象的表现了山脉险峻的特点。形神毕肖用在这太夸张了,木板咋可能真的和山脉一摸一样(如出一辙)。
第一空:若隐若现的肌理
若即若离:可以理解为跟渣男拉扯的feel(排除)
DAY38 启禾模拟考二期:63.7 第9张
做套卷的时候死活想不出,到点了想出来了~
DAY38 启禾模拟考二期:63.7 第10张
题23用分堆:假设有n个人分m堆,每堆2个人,问能分几堆?
DAY38 启禾模拟考二期:63.7 第11张

DAY38 启禾模拟考二期:63.7 第12张
题30:选D 油性笔是圆珠笔
题干:黄梅戏和花鼓戏并列,都属于地方戏
A:电动车不属于机动车(排除)
B:太极拳、八段锦、五禽戏并列
C:收纳箱和保温杯并列,都属于日用品
D:油性笔和中性笔并列,都属于书写笔
为什么选D?因为题干都是戏,D都是笔🖊️
DAY38 启禾模拟考二期:63.7 第13张
题32:选A
题干:蜂蜜是蜜蜂的生产物(不是身上的东西,是生产出来的),蜂巢既是蜂蜜🍯的存储地又是蜜蜂的休息点
A:蚕丝是蚕的生产物,且蚕茧既是蚕丝的存储地,又是蚕的休息点
B:牛奶是奶牛的生产物,牛棚是奶牛的休息点,但不是牛奶的存储地(排除)
C:
树皮是橡胶树的组成部分(排除)
D:羊毛不是绵羊的生产物,是绵羊自身有的
DAY38 启禾模拟考二期:63.7 第14张
题49:选D
答案给的太复杂了,还是做题的时候没想出来,复盘时候想出来了。

抱歉,评论功能暂时关闭!