现将2026中科大营一考试数学真题及解析分享如下,来源支点教育分享。
⏰考试时间:8:30-12:00;数学物理一起发卷一起作答
🌈题型题量:
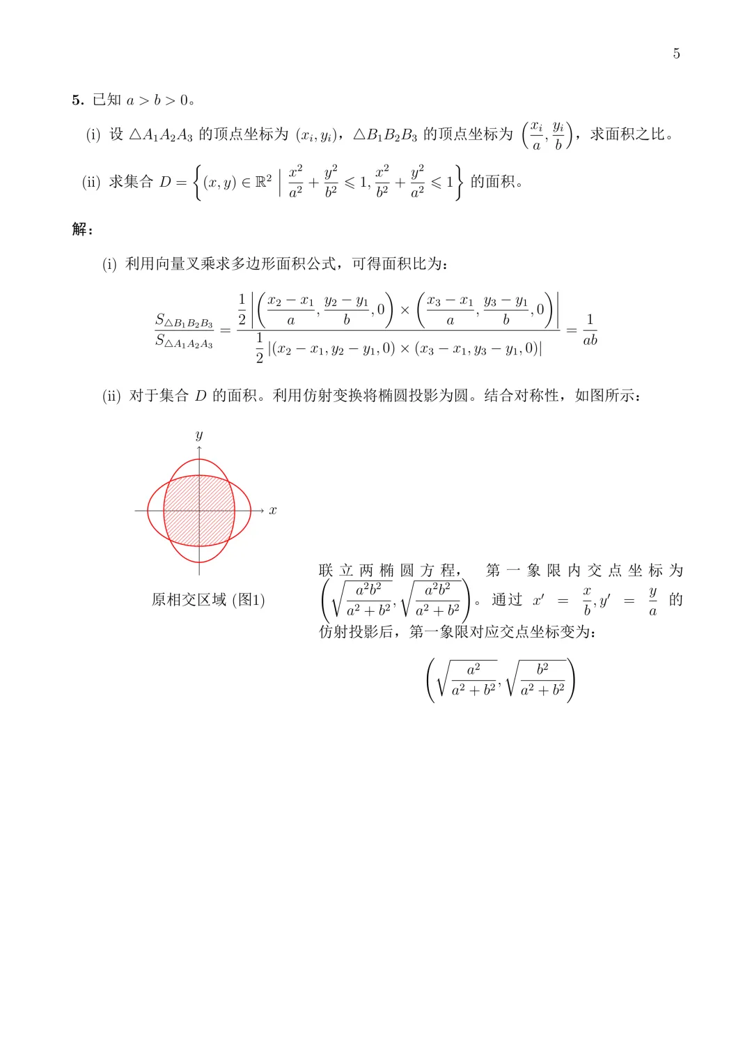
数学:100分,6道题,均为大题,分值分布分别为:12,12,12,20,20,24,满分100分,涉及导数、多项式与因式分解、复数不等式、线性方程组、仿射变换、概率与排列组合等;
物理:100分,8道题,7道大题,1道实验填空;分值分布分别为:10,10,14,14,16,16,20,满分100分。涉及振动、理想气体、薄膜干涉、Drude模型、测量重力加速度实验、电磁炮、非均匀磁场漂移速度等。
🌈试题难度:数学基本是预赛、高联一试难度,最后一题达到联赛二试;物理比数学难,需要竞赛知识,没有竞赛知识很难做出来,最后1道物理题难出天际。
🌈分数线预估:65~85








CMO系列相关文章
【第41届CMO获奖深度分析报告】:从省份学校性别年级分布看顶尖数学人才培养
2025北京数竞省队深度分析,数据背后你未知的真相......
2025年上海数学省队深度剖析:三校垄断、初中生源集中,IMO满分选手再冲巅峰


当前,各地陆续出台义务教育阶段“阳光分班”政策,可能在同班较难找到同频共振、志同道合的鸡娃小伙伴。如果您想科学育娃,欢迎扫码加入有深度、有温度、有高度的君成数学思维训练公益群,这里集聚了全国各地的牛娃家长和牛娃学生本人,常态化发布原创数学思维训练题,畅聊育娃心得与困惑,原创解答数学难题,与全国牛娃家长、学生同行!报团取暖,一个人可以走得很快,一群人可以走得更远!
需要了解小学各大数学思维竞赛的可以查阅家长必看!小学奥数全部杯赛入门到进阶,一篇讲透(最全版本)
关于公众号的初衷可以阅读哪怕只有你在看,我也想把数学的光递到你手里


