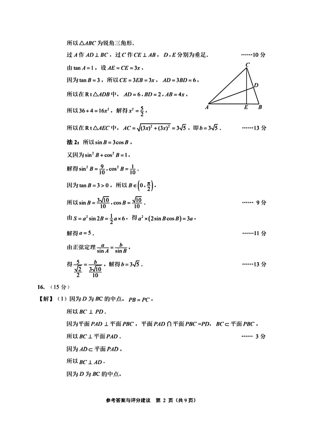
2026年江苏省苏北七市二模数学试卷及评析

四季读书网 10 0
2026年江苏省苏北七市二模数学试卷及评析
2026年江苏省苏北七市二模数学试卷及评析 第1张
2026年江苏省苏北七市二模数学试卷及评析 第2张
2026年江苏省苏北七市二模数学试卷及评析 第3张
2026年江苏省苏北七市二模数学试卷及评析 第4张
2026年江苏省苏北七市二模数学试卷及评析 第5张
2026年江苏省苏北七市二模数学试卷及评析 第6张
2026年江苏省苏北七市二模数学试卷及评析 第7张
2026年江苏省苏北七市二模数学试卷及评析 第8张
2026年江苏省苏北七市二模数学试卷及评析 第9张
2026年江苏省苏北七市二模数学试卷及评析 第10张
2026年江苏省苏北七市二模数学试卷及评析 第11张
2026年江苏省苏北七市二模数学试卷及评析 第12张
2026年江苏省苏北七市二模数学试卷及评析 第13张
2026年江苏省苏北七市二模数学试卷及评析 第14张
试卷点评:本次试卷整体难度与新高考要求基本持平。对中等水平的同学而言,能稳定考到120分就已经属于正常发挥、不拖后腿的水平。 如果暂时没有达到这个分数也不必过于焦虑,说明在基础知识、解题思路上还有提升空间,后续可以重点加强基础巩固,规范解题步骤,同时多进行限时训练,提升临场应变与答题节奏把控能力,稳步补齐短板。
结尾寄语:模考成绩从不等同于高考结果,一次分数更无法定义你的人生走向。那些做错的题目,是在帮你找准薄弱环节;那些成绩的波动,是在磨炼你的从容心态。不必为一次失利焦虑,也别因暂时落后自我怀疑。真正的考验在六月,真正的角逐还未开始。世事未定,人人皆有逆袭可能;长路漫漫,坚持到底终会有所收获。  把每场模拟当作成长的磨炼,把所有不甘化作前行的动力。静下心来,认真走好余下的每一天,你付出的努力、熬过的深夜、刷过的习题,都会在高考考场,化作最满意的答卷。  愿你不负日夜付出,从容步入考场,落笔沉稳自信,交卷圆满如愿,顶峰相聚!  日复一日积累,一点一滴奋进,一步一步前行,一丝一毫凝聚,终于迎来考试之日。放宽心态,保持微笑,坚守信念,你的未来必定光芒万丈。

抱歉,评论功能暂时关闭!