第一次模拟考试陆续结束了,很多考生家长想提前为考生规划志愿却不知如何下手,其实家长和考生可利用模拟考成绩提前做大致规划。常有家长会咨询,我的孩子模拟考考了500分或者600分,如何根据分数了解自己在全省的排名,又如何利用这些数据提前规划高考志愿呢?其实最靠谱的方法就是用数据说话。
(注:本文根据2025年政策整理,内容仅供参考,2026年最新政策以最新公布为准。)
以普通考生为例,今天给大家推荐两个表,利用好2025年夏季高考文化成绩一分一段表(以下简称“一分一段表”)和山东省2025年普通类常规批第1次志愿投档情况表(以下简称“志愿投档表”)两个表,就可以提前规划96个志愿。今天,我们就来了解一下该如何利用一分一段表和志愿投档表来规划高考志愿。
注:本文所有表格,考生均可从山东省教育招生考试院官网(https://www.sdzk.cn/)查询到。

一、利用一分一段表定位自己在全省的排名
新高考改革后,取消了文理文科,一分一段表上在内容呈现上也由此发生了很大的变化,一共呈现出了7个排序,分别是6门单科和总成绩排序。考生必须结合自己的选考科目和总成绩,才能更好地确定自己的位次。


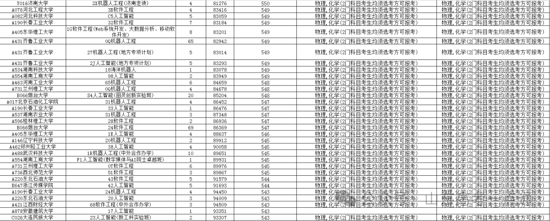
2025年夏季高考文化成绩一分一段表部分截图
每年高考结束、成绩发布后,山东省教育招生考试院都会发布普通类、艺术类、体育类一分一段表,考生可根据自己的分数,查找到自己在全省的排名情况。拿着这个排名的位次,考生可参照往年各学校的最低录取位次,然后再规划自己的志愿。
一分一段表主要起到给考生定位的作用。例如考生考了 600 分,那么对照2025年一分一段表,位次就是 25061 。通俗来说,如果考生高考考了 600 分,在全省的排名就是 25061 名。(注意,目前考生只能参考往年的一分一段表定位自己在全省的位次。)
另外在此提醒各位考生,目前模拟考试是由各市自行组织,实行各市排名,并非全省排名,因此不能直接将模拟考成绩转换为高考成绩和位次。建议考生根据本市近三年录取情况,结合自己模拟考成绩,详细咨询所在高中学校老师,预估目前的分数放在全省大概是多少分,多少位次。
推荐阅读:

二、根据位次,利用往年志愿投档表规划志愿
志愿投档表是省招办(考试院)按照录取批次公布的大学最低投档分数线统计表。从“志愿投档表”中可以看到某个特定高校的院校代码、招生计划、实际投档人数、投档最低分及投档最低位次。
那么知道自己在全省的大体位置后,如何规划志愿呢?接下来就要用到往年的志愿投档表了。
第一步,认真查看省教育招生考试院向社会公布的当年全省一分一段表和往年投档情况表(包括每所高校录取的计划数、投档计划数、投出数、最低分、最低位次)。在一分一段表中查找与自己成绩相对应的分数排名和这一位次成绩共有多少考生,以确定自己成绩在全省的位置。
第二步,查看自己的目标学校往年各专业录取线在当年一分一段表中的位置,综合考虑目标院校的投档分数线、该分数当年在全省的排位以及在我省招生计划的变化情况,与自己的位置相对应来考虑。
第三步,在使用一分一段表的基础上,考生还可以看自己的高考成绩与一段线的分数差值。假定去年超过一段线100分能上某所学校,看今年自己的分数超过一段线多少分。如果超过了100分以上,填报这所学校,被录取的希望就比较大。如果成绩在某一分数段过于集中,考生填报志愿时就应注意保持各院校、各专业的志愿填报梯度。
推荐阅读:
你被哪所学校录取?2025年普通类常规批第1次志愿投档情况表公布!

扫码查看
山东省2025年普通类常规批第一次志愿投档情况表

三、如何根据模拟考成绩预测全省位次并规划志愿?
我们来举个例子,以泰安市一模考试某考生成绩为例,来一次实操:

注意

