2026年高中分解指标模拟试卷

四季读书网 14 0
2026年高中分解指标模拟试卷
提招模拟.pdf
点击上方蓝色字体可以下载试卷
答案:
1.A
2.A
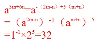
3m+6n=a(2m-n)+b(m+n)=(2a+b)m+(-a+b)n
所以2a+b=3,-a+b=6得a=-1,b=6
所以3m+6n=-(2m-n)+6(m+n)
2026年高中分解指标模拟试卷 第1张
3.C
4.D
1×7^3+0×7^2+3×7^1+5×7^0=343+21+5=369
5.D
6.C
三角形三条中线围成的三角形面积是原三角形面积的3/4.
2026年高中分解指标模拟试卷 第2张
设△ABC面积为S,倍长AD得平行四边形ABGC,其面积为2S
阴影部分为△ABC三条中线围成的三角形
△AFC面积为(1/2)S
△HCG面积为(1/2)S
△BFH面积为(1/4)S
所以阴影部分面积为(3/4)S
由题意三角形中线围城的面积为6×8/2=24=(3/4)S
则S=32,即△ABC的面积为32.
7.
2026年高中分解指标模拟试卷 第3张
2026年高中分解指标模拟试卷 第4张
根据∠BOE=150°,OE=OA=4
得E(-2√3,2)
作MQ//OP得OM:OE=1:3,MQ:OP=2:3
得M(-2√3/3,2/3),MQ=8/3
Q在以M为圆心8/3为变径的圆上动
求出MC=4√7/3
所以CQ的最小值为(4√7-8)/3。
8.
2026年高中分解指标模拟试卷 第5张
9.-8.2
10.-4√3/3<a<4√3/3
11.√6.通过条件先求出m²+1/m²的值
12.5.相加+配方
13.
2026年高中分解指标模拟试卷 第6张
把圆心O关于CD的对称点O'
根据相切和∠EOF=120°,得∠EO'F=60°,OA=6=O'F
在Rt三角形OFO'中,OO'=4√3,所以O'C=6,
在Rt三角形O'HC中CH=2√6
所以CD=4√6
2026年高中分解指标模拟试卷 第7张
14.5√5
2026年高中分解指标模拟试卷 第8张
根据AE平分∠BAC得:AB:AD=BF:DF=3:1
点D为AC中的得AB:AC=3:2=BE:CE
设AB=3x,AC=2x,BE=3y,CE=2y,则三角形ABC周长为5x+5y
因为AB+BE=3√5得3x+3y=3√5
所以x+y=√5
所以5x+5y=5√5,
所以三角形ABC的周长为5√5.
15.
2026年高中分解指标模拟试卷 第9张
条件中没有边的长度求比值,可以令OA=1,OB=x
则求出x即为OB:OA的值
2026年高中分解指标模拟试卷 第10张
因为OB=OC
设∠OBA=α
则∠BOC=180°-2α,∠OAB=90°-α
所以∠COA=2α-90°
所以∠1=∠2=α-45°
所以∠ODC=∠2+∠OBA=45°
作OH⊥AB于H
所以OH=HD
导边得AB=√(1+x²)
OH=x/√(1+x²)
BH=x²/√(1+x²),AH=1/√(1+x²)
BC=AD=2BH=2x/√(1+x²)
所以DH=AH-AD=1/√(1+x²)-2x/√(1+x²)
因为OH=DH
所以x/√(1+x²)=1/√(1+x²)-2x²/√(1+x²)
所以x²=1-2x
x1=-1或x2=1/2
所以OB:OA=1/2
16.
2026年高中分解指标模拟试卷 第11张
2026年高中分解指标模拟试卷 第12张
17.3±√5,x=-1,-4或-2(换元)
18.(1)y=-30x+360
F(8,120)第一小队工作8小时两个仓库都剩余120吨物资。
(2)9天
19.(1)1/3
(2)1/2
km=-27/16
2026年高中分解指标模拟试卷 第13张
根据BC:AD=1:2,CD=AB
得CD:CB:AB=1:2:1
2026年高中分解指标模拟试卷 第14张
所以OE:EF:FA=1:2:1
设C(a,m/a),则A(4a,0)代入y=kx+3得方程组消去a即可得km=-27/16
20.
2026年高中分解指标模拟试卷 第15张
根据半角模型,可得FA平分∠MFE
tan∠BEF=3/4,tan∠BFE=4/3
∴tan∠BFD=1/2
设BF=3x,BE=4x,BD=x,DE=3x,EF=5x=MF,BM=2x=CE
根据CE=2,
x=1
所以EF=5
在Rt三角形AEF中,tan∠AFE=1/2,∠FAE=45°,EF=5可得AF=3√5.
21.r=5m/2
PE=20/3(算出PC,PC=PE)
22.(1)根据条件可以得m≤2,对称性可得a=1,
A(-4,c)代入得c与m成二次函数,根据m≤2得m=2时c的最大值=23/2
(2)定点(1,-3/2)代数推理:一线三等角
也可以将抛物线平移到顶点为原点。当顶点在原点时y=ax²(a≠0),过抛物线上任意一点(m,n)做垂直的两条线交抛物线于点A、B,则直线AB过定点(m,n+/a),再反向移回去.
三角形外接圆的圆心,找出轨迹,得到平移的最小值为9√2/8

抱歉,评论功能暂时关闭!