2026年广州市普通高中毕业班综合测试(一)
生物学
一、选择题:本题共16小题,共40分。第1~12小题,每小题2分;第13~16小题,每小题4分。在每小题给出的四个选项中,只有一项是符合题目要求的。
1.逆行演替是指生物群落在受到外部干扰或破坏的情况下,朝着结构简单的方向发展。下列关于逆行演替的叙述,正确的是
A.物种丰富度上升
B.能量流动渠道减少
C.物质积累速率加快
D.自我调节能力提高
2.2025年,国家卫健委宣布正式启动“体重管理年”三年行动计划,倡导健康饮食、科学运动,旨在降低肥胖率,提升全民健康素养。下列叙述错误的是
A.“无糖饼干”不含糖类,可以放心食用以控制体重
B.运动后适量补充淡盐水有利于维持机体渗透压平衡
C.摄入的蛋白质能增加饱腹感,并可为肌肉生长提供原料
D.膳食纤维很难被人体消化吸收,但对维持肠道健康有益
3.对于新发现的某种病毒,需要确认其核酸是DNA还是RNA。下列方法不可行的是
A.检测该病毒核酸的碱基组成
B.DNA酶处理病毒核酸后检测其感染活性
C.标记宿主细胞的尿嘧啶,检测子代病毒放射性
D.病毒核酸与二苯胺试剂混合,立即观察是否变蓝色
4.沙眼衣原体等胞内寄生病原体需要依赖细胞膜上NTT(ATP运输蛋白)从宿主细胞获取ATP以维持生存。下列叙述错误的是
A.沙眼衣原体可能缺少ATP合成相关酶,不能独立存活
B.ATP与NTT结合会使NTT磷酸化,引起其构象改变
C.依赖NTT蛋白获取ATP的过程体现了细胞膜控制物质进出功能
D.抑制NTT功能的药物有助于治疗沙眼衣原体引起的疾病
5.我国科学家首次建立从肌肉组织高效分离含线粒体的胞外囊泡(Ti-mitoEVs)的技术体系,并证实Ti-mitoEVs进入受体细胞后能促进线粒体增殖和损伤修复。下列叙述错误的是
A.可通过差速离心法分离获得Ti-mitoEVs
B.Ti-mitoEVs进入受体细胞需要载体蛋白的参与
C.可用PCR技术检测Ti-mitoEVs中是否存在线粒体基因
D.此项研究为线粒体损伤相关疾病的治疗提供了新思路
6.生态保护走廊可“缝合修复”被高速公路分割的两座山,其中设置的红外触发相机多次记录到野生豹猫。下列叙述错误的是
A.用红外相机记录法估算豹猫种群密度需进行个体识别
B.生态保护走廊的建立有助于提升豹猫的种群密度
C.生态保护走廊的建立没有改变豹猫的生态位
D.生态保护走廊的建立有利于提高遗传多样性
7.正常状态下机体谷氨酸(Glu)-谷氨酰胺(Gln)循环过程如图。大脑缺血时,星形胶质细胞的特异性标记物——GFAP表达含量增加,细胞形态发生改变,星形胶质细胞对兴奋性神经递质Glu的调控“失灵”。下列叙述错误的是

A.Glu-Gln循环有助于神经元的功能实现
B.若抑制星形胶质细胞中GS的作用,会引起Glu在胞内积累
C.Glu进入星形胶质细胞的运输方式为协助扩散
D.药物治疗脑缺血时,可以通过GFAP水平监测疗效
8.胚胎移植可充分发挥雌性优良个体繁殖潜力。我国牛、羊等动物胚胎移植已获成功,保障了肉奶供应,有利于端稳“中国人的饭碗”。研究者在胚胎移植前进行受体母牛黄体直径测定,胚胎移植后统计妊娠率,结果如表。下列叙述错误的是

A.胚胎移植需对受体母牛进行同期发情处理
B.无需考虑受体母牛对外来胚胎的免疫排斥反应
C.CL-2分泌的孕酮多于CL-3分泌的孕酮
D.应选择CL-2的母牛作为胚胎移植受体
9.环境核酸技术可从环境中提取、纯化并检测生物体释放到环境中的DNA(eDNA)或RNA(eRNA)。我国研究团队开发了一种针对线粒体COX3和CYTB基因的双标记eDNA/eRNA技术,用于监测极度濒危物种长江江豚野外种群。下列叙述错误的是
A.此监测技术有准确性高、对监测对象干扰少等优点
B.由于DNA稳定性较强,通过eDNA监测能准确计算种群数量
C.依据eDNA和eRNA的特性,双标记技术能同时捕捉到物种组成与代谢活性等信息
D.对线粒体COX3和CYTB基因位点进行双检测能区分近缘种
10.表皮生长因子受体(EGFR)在肿瘤发生中起重要作用,其过表达常见于多种恶性肿瘤。研究人员利用杂交瘤技术制备抗EGFR单克隆抗体。下列叙述错误的是
A.用被其他抗原污染的EGFR免疫小鼠后,所得的每个B细胞也只能产生一种抗体
B.经过多次克隆化培养和抗体检测,能获得足够数量的特定杂交瘤细胞
C.杂交瘤细胞在小鼠腹腔内能快速增殖,与腹腔内具有充足的营养物质等适宜条件有关
D.细胞毒素与抗EGFR单克隆抗体偶联可使抗体更好地杀死肿瘤细胞
11.艾弗里在格里菲斯实验的基础上,用不同的粗酶制品对S型细菌提取物进行处理,并检测转化因子是否失活,部分结果如表。下列叙述错误的是

A.该实验运用了自变量控制的“减法原理”
B.推测组别③中的血清应具有DNA酶活性
C.组别①和②对照可确定转化因子是DNA
D.组别③中的血清是否具有酯酶活性不影响实验结果
12.基因工程中,使用单个限制酶酶切构建的表达载体易出现连接方向错误和重复插入目的基因片段等现象,可通过酶切及筛选标记鉴定出符合预期的重组载体。研究小组选用的载体P和目的基因CDS片段特征如图,将CDS片段插入载体P的SacⅡ位点后对重组载体进行扩增、筛选和检测。下列叙述错误的是

注:LacZ基因表达产物为β-半乳糖苷酶,X-gal会被β-半乳糖苷酶分解,产生蓝色产物。
A.含重组载体的宿主细胞在含X-gal的培养基上,菌落颜色为白色
B.重组载体被PstⅠ充分酶切后电泳可能会获得长度为9.4kbDNA片段
C.用EcoRI与PstI充分酶切重组载体,可判断CDS片段的连接方向
D.用EcoRI与SacⅡ充分酶切重组载体,可得到2个长度的DNA片段
13.五倍体犬蔷薇(5x=35,染色体组记作AABCD)具有特殊的减数分裂方式,在繁殖过程中能保持亲子代染色体数目的稳定。在减数分裂时,联会的14条染色体优先分离,其余21条染色体(单价体)不能联会而延后分离。形成雄配子时,单价体不能进入雄配子而丢失。形成雌配子时,联会的染色体分离进入两极,同时21条单价体进入其中一极,形成含有多个染色体组的次级卵母细胞。下列叙述错误的是
A.雄配子含1个染色体组,雌配子含4个染色体组
B.减数分裂Ⅰ前期会形成7个四分体
C.减数分裂Ⅱ的1个细胞中最多含有42条染色体
D.子代细胞的染色体中,单价体全部来自母本
14.土壤中凋落物能为真菌提供营养物质。为探究土壤真菌丰富度和植物多样性对生态系统多功能性的调节作用,研究人员在温室中构建多个实验植物群落,开展了一系列研究,部分结果如下。下列叙述错误的是

A.处理组用杀菌剂处理后立即进行实验,以保证结果准确
B.土壤中凋落物分解速率可以指示生态系统的物质循环功能
C.植物丰富度增加能缓解真菌丰富度下降造成的生态系统多功能性下降
D.真菌丰富度下降可能导致植物对有限土壤资源的竞争加剧
15.研究发现褪黑素(MT)和生长素(IAA)均能影响植物根系的生长。为进一步验证MT和IAA的关系,研究者进行了外源施加低浓度MT或IAA对野生型拟南芥和IAA合成缺陷突变体根系生长的影响实验,结果如图。下列分析正确的是

A.低浓度MT促进根系生长,高浓度MT抑制根系生长
B.MT和IAA之间存在协同作用
C.MT能够促进野生型拟南芥和IAA突变体的根系伸长
D.初步推测MT依赖于IAA的作用促进拟南芥根系伸长
16.PATI基因编码的蛋白质在不同物种中高度保守。为鉴定桃树PATl基因的功能,研究人员提取桃树RNA逆转录得到PATI基因,转入拟南芥后获得两种插入1个PATI基因的转基因植株甲、乙,分别培养筛选出纯合转基因株系1、2。将拟南芥的野生型和两种转基因株系用不同浓度的NaCl处理,检测种子萌发率,结果如图。下列叙述错误的是

A.PAT1蛋白的氨基酸序列差异性可反映不同物种间亲缘关系远近
B.PATl基因表达产物可提高盐胁迫条件下拟南芥种子萌发率
C.利用甲自交培育PATl基因纯合子,该种纯合子占子代转基因植株的1/4
D.株系1和2种子萌发率不同,可能是PATl基因插入染色体的位置不同引起的
二、非选择题:本大题共5小题,共60分。考生根据要求作答。
17.(12分)阿尔茨海默症(AD)是一种常见的神经退行性疾病,表现为β淀粉样蛋白(Aβ)在大脑海马区沉积,引起神经炎症和记忆减退。为探究有氧运动延缓AD的机制,研究人员以小鼠为材料开展实验,结果如下。INPP5D是一种重要的免疫调节因子,白细胞介素1β(IL-1β)和白细胞介素37(IL-37)是炎症反应相关因子,逃避潜伏期与记忆能力呈负相关。

回答下列问题:
(1)小鼠长时记忆能力形成,可能与______的建立有关。图甲中a曲线对应的组别是______。预测组别5小鼠海马区Aβ斑块大小为______。
(2)AD早期阶段,活化的小胶质细胞通过______作用清除细胞间隙中的Aβ;随着AD病程的进展,小胶质细胞过度激活,INPP5D蛋白含量增加,引起______,进而引发神经炎症反应。
(3)研究人员进一步测定GAPDH(细胞内稳定表达的蛋白)以及炎症相关的蛋白INPP5D和Trem2的含量,结果如图乙,分析得出:INPP5D通过抑制Trem2基因的表达来调控炎症反应。你认为这一结论是否科学并说明理由:______。
(4)基于以上研究,提出延缓AD的思路:______(答2点)。
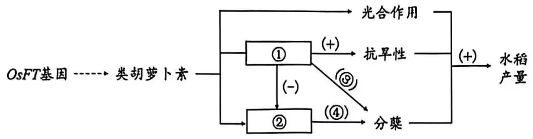
18.(12分)水稻作为重要的粮食作物,其产量受光合作用能力、分蘖能力(用近地面分枝的数量作为衡量指标)和干旱等因素的影响。为培育兼具高产与抗旱性强的水稻新品种,研究人员以野生型水稻(WT)、OsFT基因敲除突变体水稻(ft)和OsFT基因过表达水稻(OE)为材料进行研究,部分结果如表所示。

回答下列问题:
(1)据表分析,OsFT基因一方面可以通过______(填“促进”或“抑制”)水稻的分蘖来提高水稻产量;还可以通过______,提高光合作用速率进而提高水稻产量。
(2)植物激素脱落酸(ABA)和独脚金内酯(SL)均可作为______分子,共同参与调控水稻的分蘖过程。进一步研究表明,ABA与SL在调节分蘖中作用相反,且ABA的过量积累会抑制SL的合成。三种水稻品系中ABA与SL的含量如图所示。由此推测,______水稻的抗旱能力最强,并在图中“?”处绘制能够支持上述结论的结果。

(3)类胡萝卜素是合成ABA和SL的关键前体物质。结合上述研究结果,完善OsFT基因调控水稻产量的机制图,其中①是______(填激素),④是______(填“+”或“-”)。

注:“+”代表促进,“-”代表抑制。
19.(12分)外来物种入侵会威胁本地生物多样性。为探究豆科与非豆科外来入侵植物和本土植物对胁迫(干旱、营养限制)的响应,研究人员在温室中进行了单独种植实验,测定并计算出生物量相对胁迫响应(生物量RSR),结果如图甲。回答下列问题:

(1)气候适宜、______及缺乏天敌的条件下,外来物种快速增长,威胁本地生物多样性。
(2)图甲结果表明营养限制条件下受到影响最大的是______,可能原因是______。
(3)为进一步探究胁迫对外来与本地植物竞争的影响,研究人员进行了配对种植实验以模拟种间竞争(同盆种植一对豆科或一对非豆科外来种和本地种幼苗),测定其生物量竞争比(生物量CR),结果如图乙。

研究结果表明,在干旱贫瘠生境的生态修复与入侵物种管理中,外来______(填“豆科植物”或“非豆科植物”)的潜在风险更大,依据是______。
(4)基于以上研究结果,为了增强本地群落抵抗外来植物入侵的能力,可以采取的种植方案是______。
20.(12分)马方综合征(MFS)是由FBNI基因突变引起的单基因遗传病。FBNI位于15号染色体上,编码原纤维蛋白-1。患者因原纤维蛋白-1合成数量减少,骨骼受到的牵制拉力减少而迅速生长。鱼臭症是由FMO3基因突变引起的单基因遗传病。研究小组发现罕见的MFS和鱼臭症共病家系,如图甲所示(不考虑X和Y染色体同源区段以及新发生的突变)。

回答下列问题:
(1)据图甲分析,鱼臭症的遗传方式是______,判断依据是______。在人群中,若MFS、鱼臭症致病基因的频率分别为m、n,则Ⅲ-7与一男子婚配生一个正常子代的概率为(1-m)(1-n)或______(列出算式即可)。
(2)根据家系调查无法判断MFS的致病基因是显性基因还是隐性基因,因此,研究人员对家系中正常个体、MFS患者一对同源染色体上的FBNI基因进行测序,部分片段结果如图乙。分析测序结果可知,MFS的致病基因是______(填“显性”或“隐性”)基因,从基因表达的角度分析其发病原因是______。

(3)鱼臭症患者FMO3酶活性降低或缺失,无法正常代谢三甲胺(TMA),因而身体散发出腐鱼的臭味。研究人员提出:“将患者体细胞进行基因组编辑,在体外诱导形成诱导多能干细胞,再移植到病变部位,将来可以治疗这类遗传病”。根据上述信息及所学生物学知识,说明该方案的可行性理由:______。
21.(12分)科研人员用转录调控因子、启动子、基因等元件设计了一种包含3个模块的微生物细胞生物传感器,如图所示。据此将原始菌改造为工程菌,能够实现在没有任何外源诱导剂的情况下,传感器可进行智能检测、降解污染物水杨酸并最终自我清除,满足环境修复的需求,减少基因污染。

注:nahR为对水杨酸敏感的转录调控因子;Psal和Pfic为启动子;mrfp为红色荧光蛋白基因。回答下列问题:
(1)构建表达载体时选择的限制酶不能破坏复制原点,原因是______。
(2)为验证工程菌对水杨酸智能检测的可靠性,设计如下实验方案:

(3)已知ccdA为抗毒素蛋白基因,ccdB为毒素蛋白基因,ccdA的表达产物抑制ccdB的表达,科研人员构建的模块3中ccdA前应包含的元件有______,才能确保在有水杨酸时工程菌能正常存活。
(4)进一步实验发现,工程菌在没有水杨酸的环境中自我清除效果较差。为进一步提高工程菌自我清除的效果,提出一个改进思路______。
(5)将该生物传感器用于实际环境修复前,还需测试其______(答1点)。
参考答案
1-16:BADBBCCCBDCDCADC
17.(12分,除特殊说明外,每空2分)
小题号 | 答案 | 说明 |
(1) | 新突触/突触(1分) 2/AD模型(1分) +(2分) | |
(2) | 胞吞/吞噬(1分) IL-1β增加,IL-37减少(2分) | IL-1β增加(1分)/IL-37减少(1分) |
(3) | 否/不科学(1分),无法判断INPP5D和Trem2两者是否存在因 果关系(2分) 否,应通过敲除Trem2基因的方式来证明两者之间是否存 在上下游关系 | 该问是一个整体,如果答是,后面不管答 什么理由,整个空0分。 |
(4) | (4)增强有氧运动(1分)、抑制INPP5D基因的过表达(1分 )/下调INPP5D基因的表达(1分) |
18.(12分,除特殊说明外,每空2分)
![]() |
19.(12分,除特殊说明外,每空2分)
小题号 | 答案 | 说明 |
(1) | 资源充裕(2分) 空间充裕(1分)/营养物质充裕(1分) | |
(2) | 非豆科本地物种/本地非豆科植物(2分) 非豆科植物无法固氮(1分),无法缓解养分胁迫(1分)(2分 ) | 整体赋分 关键词:无法固氮、养分胁迫 |
(3) | 非豆科植物(2分)与正常环境相比,干旱及营养限制环境 下,非豆科植物CR均远大于1(1分),而豆科植物CR仅略大 于1(1分) | 评分标准:2分,有比较,描述CR大于1描 述1分,非豆科植物与豆科植物比较1分 。) 与正常环境相比,干旱及营养限制环境下 ,非豆科植物CR大于豆科植物CR,且CR都 大于1(2分) 与正常环境相比,干旱及营养限制环境下, 非豆科植物CR大于豆科植物CR(1分,可否 给1分)(CR:用 文字表达趋势正确也可给分) |
(4) | 增加本地豆科植物种植比例、种植密度(2分) | 增加本地豆科植物的种类(1分)(没有“豆 科植物”0分) |
20.(12分,除特殊说明外,每空2分)
小题号 | 答案 | 说明 |
(1) | 常染色体隐性遗传(2分) II-5(女性)患病,但I-1、I-2均不患鱼臭 病(2分) (1-m)(1-n)/2(2分) | 评分标准:只写出“常染色体遗传”或“隐性 遗传”,得1分;写错不得分。写“常隐”,不 得分。 评分标准:整体赋分,需要同时说明II-5 、I-1和I-2的患病情况,漏掉任一个体 患病情况,不得分。 补充答案:展开式正确也得满分。
|
(2) | 显性(2分) MFS患者FBNI中单个碱基的缺失引起的基因突 变,导致正常结构的原纤维蛋白-1合成数量 减少(2分) | 评分标准:碱基(对)的缺失/缺失突变,1分 ;原纤维蛋白-1合成数量减少,1分。 |
(3) | 经基因组编辑后的细胞可表达出正常FMO3酶,代 谢三甲胺,同时iPSC细胞由患者体细胞诱导形成, 可减少机体免疫排斥(2分) | 评分标准:代谢/分解三甲胺(TMA),1分;减 少/避免免疫排斥,1分。 |
21.(12分,除特殊说明外,每空2分)
小题号 | 答案 | 说明 |
(1) | 确保重组质粒在细胞质中自我复制(1分)并遗传给后代(1分 ) 补充答案:破坏复制原点后,重组质粒不能在细胞质中自我复 制(1分)并遗传给后代(1分) | “重组质粒”可写成“基因表达载体”或“目的基 因” “细胞质”可写成“受体细胞” |
(2) | ①含水杨酸(1分) ②原始菌(1分) ③不含水杨酸(1分) ④红色荧光强度/红色荧光(1分) | ①唯一答案 ②唯一答案 ③唯一答案 ④红色荧光和龙胆酸(1分);只写龙胆酸(0分) |
(3) | nahR+Psal(2分) Psal+nahR(2分) | 整体赋分,唯一答案 |
(4) | 在ccdB基因前插入强启动子(2分) 在ccdB基因前插入增强子(2分)导入多拷贝的ccdB基因 (2分) 根据蛋白质工程将ccdB基因改造为更强的致死基因(2分) | 能合理表达使毒素蛋白表达量增加或增强毒 素蛋白毒性等相关思路(2分) 使ccdA基因表达减弱(0分) |
(5) | 降解水杨酸的效率(2分) /将水杨酸转化为龙胆酸的效率(2分)/是否产生次生代谢 污染物(2分) 有效性(2分) 安全性(2分) | 能结合题干所给元件,围绕设计目标的合理作答(2 分) 自我清除效果(0分) |


