Hi,我是马老师,专注上海初中数学提升的一个老兵,坐标上海嘉定。
温馨提示:全文约2300字,阅读时长5分钟。

很多孩子看到这道题,第一反应是:第(1)①问还行,第(1)②问开始懵,第(2)问直接放弃——三个角相等,怎么用?
今天咱们就用这道压轴题,把“化归思想”讲透。
02 什么是化归思想?
化归思想,就是将复杂问题转化为简单问题,将未知问题转化为已知问题,将一般问题转化为特殊问题。
化归思想包括转化思维和分类讨论思维,今天的例题是转化思维的运用。
打个比方:
你不会解分式方程,就把它变成整式方程——这是化归思想中的转化思维。
你不会求多边形内角和,就把它变成三角形内角和——这是化归思想中的转化思维。
你不会求线段长度,就把它变成相似三角形的比例式——这也是化归中的转化思维。
一句话理解:就是把不会的变成会的,把难算的变成好算的。
中考数学卷的专家评析中明确指出:试题注重考查化归思想,要求学生能够灵活运用转化和分类讨论的方法解决问题。
这道第25题,就是化归思想的集大成者。
03 化归思想第1招:构造全等,转化角相等
第(1)①问:当E是BC中点,AE = EF,求证∠BAE = ∠CFE。
问题:∠BAE在△ABE中,∠CFE在△CFE中。这两个三角形看起来不全等,怎么证角相等?
化归思路:要证角相等,可以通过证明三角形全等,图中既有的三角形显然不相等,那有没有可能构造辅助线,转化为证线段相等,再转化为证三角形相等?
关键转化:延长FE交AB延长线于点H

为什么这样构造?
因为E是BC中点,且AB∥CD(平行四边形性质),所以△BEH和△CEF有对顶角、内错角相等,再加上BE = CE
所以△BEH ≌ △CEF(AAS)
得到EH = EF,∠H = ∠CFE
又因为AE = EF(已知),所以AE = EH,△AEH是等腰三角形,∠BAE = ∠H
所以∠BAE = ∠CFE。
这里用到的化归思想:
把“证角相等”转化为“证线段相等”
把“证线段相等”转化为“证三角形全等”
通过构造辅助线,把未知关系变成已知关系
总结:当直接证明角相等困难时,通过构造全等三角形,把角相等转化为线段相等。
这就是化归的第一招:当直接证明困难时,构造辅助线,把问题转化为熟悉的模型。
04 化归思想第2招:构造相似,转化面积比
第(1)②问:当CF = DF,E是BC中点,求S△BEG : S△AEF的值。
问题:面积比不好直接求,是否可以转化呢?我们学相似三角形时,有个知识 点是面积比等于相似比的平方。
化归思路:把面积比转化为线段比,等高三角形的面积比等于底边比。
关键转化:延长BF交AD延长线于点M。

为什么这样构造?
由AD∥BC(平行四边形性质),得到△BEG ∽ △MAG,△BCF ∽ △MDF
由CF = DF,得△BCF ≌ △MDF(实际上相似比为1,所以全等)
所以BC = DM,BF = MF
设CE = BE = m,则BC = DM = 2m,AD = BC = 2m(平行四边形对边相等)
所以AM = AD + DM = 4m
由△BEG ∽ △MAG,得:

由BG:GM = 1:4,设BG = k,则GM = 4k。
因为BF = MF,且MF = MG - GF = 4k - GF,BF = BG + GF = k + GF,
所以k + GF = 4k - GF → 2GF = 3k → GF = 1.5k,
所以BG:GF = k : 1.5k = 2:3。
现在,利用等高三角形面积比等于底边比:
所以:
S△BEG : S△BGA = GE : AG = 1:4(两三角形高相等)
S△ABG : S△AFG = BG : FG = 2:3(两三角形高相等)
设S△BGA = 4n,则S△BEG = n,S△AFG = 6n
再由S△EGF : S△AFG = GE : AG = 1:4,得S△EGF = 1.5n
所以S△AEF = S△AFG + S△EGF = 6n + 1.5n = 7.5n
因此S△BEG : S△AEF = n : 7.5n = 2:15
这里用到的化归思想有:
把“面积比”转化为“线段比”,通过构造平行线,把复杂图形中的比例关系转化为相似三角形,通过设未知数,把比例关系转化为代数计算。
这就是化归的第二招:当遇到面积比时,转化为线段比;当遇到复杂图形时,构造相似三角形。
05 化归思想第3招:多组相似,转化方程组
第(2)问:AD = 5,AB = 3,CF = 1,∠AEB = ∠AFE = ∠EFC,求AF的长。
问题:三个角相等,怎么用?直接求AF,没有现成的公式。
化归思路:三个角相等,可以推出多组相似三角形,再把几何关系转化为代数方程。
关键转化:延长AD、EF交于点M。

第一步:找第一组相似
由AD∥BC(平行四边形性质),得∠AEB = ∠EAD。
已知∠AEB = ∠AFE,所以∠AFE = ∠EAD。
又∠AEF = ∠MEA(公共角),所以△AEF ∽ △MEA(两角对应相等)。
第二步:找第二组相似
由∠AEB = ∠AFE,且∠AEB + ∠AEF + ∠FEC = 180°,∠AFE + ∠FEC + ∠ECF = 180°,
所以∠AEF = ∠ECF。
又∠AFE = ∠EFC(已知),所以△AEF ∽ △ECF(两角对应相等)。
第三步:找第三组相似
由AD∥BC,得△ECF ∽ △MDF(两直线平行,内错角相等)。
第四步:设未知数,列方程
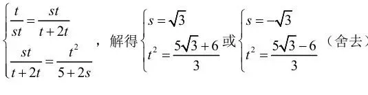
已知CF = 1,CD = AB = 3,所以DF = 2。
设CE = s,FE = t。
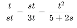
由△AEF ∽ △ECF,得:

即:

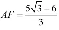
所以AE = st,AF = t²。
由△ECF ∽ △MDF,得:

即:


所以

这里用到的化归思想:
把“三个角相等”转化为“多组相似三角形”,把“几何关系”转化为“比例式”,把“比例式”转化为“代数方程”,解方程得到未知线段长度
这就是化归的第三招:当条件复杂时,分解成多个简单模型;当几何难算时,转化为代数方程。
06 化归思想在6-9年级的体现

07 写在最后
这道上海中考数学压轴题,从第(1)①问的辅助线构造,到第(1)②问的面积比转化,再到第(2)问的多组相似方程组,一步一步,全是化归思想的体现。
第(1)①问:把角相等转化为线段相等,再转化为三角形全等
第(1)②问:把面积比转化为线段比,再转化为相似三角形比例
第(2)问:把三个角相等转化为多组相似,再把几何关系转化为代数方程
化归思想,就是帮你把不会的题,变成会的题。
想要这道题的完整解析+变式训练?关注我或加我微信 malaoshixue001,备注“化归思想”,我发你。
如果觉得有用,点个在看,转发给更多嘉定家长。
我是马老师,专注上海初中数学提升的一个老兵,坐标上海嘉定。
