2025年长春市中考数学试卷及答案

四季读书网 9 0
2025年长春市中考数学试卷及答案
2025年长春市中考数学试卷及答案 第1张
2025年长春市中考数学试卷及答案 第2张
2025年长春市中考数学试卷及答案 第3张
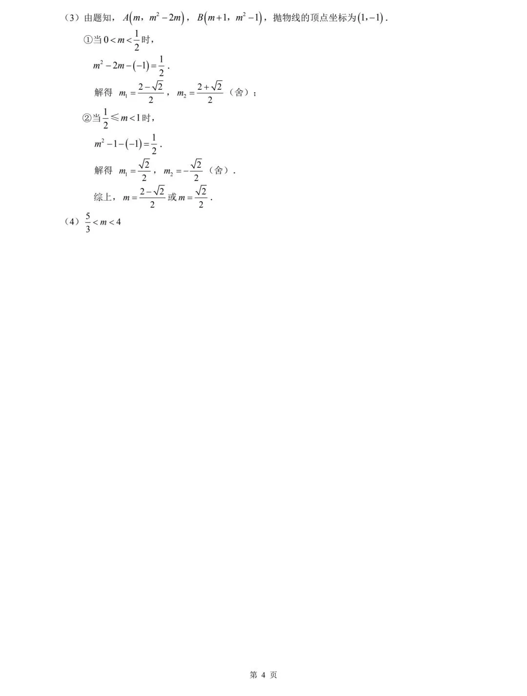
2025年长春市中考数学试卷及答案 第4张
2025年长春市中考数学试卷及答案 第5张
2025年长春市中考数学试卷及答案 第6张
2025年长春市中考数学试卷及答案 第7张
2025年长春市中考数学试卷及答案 第8张
2025年长春市中考数学试卷及答案 第9张
2025年长春市中考数学试卷及答案 第10张
2025年长春市中考数学试卷及答案 第11张

抱歉,评论功能暂时关闭!