备战2026中考丨动点压轴题练习题11-18答案

四季读书网 13 0
备战2026中考丨动点压轴题练习题11-18答案
本期分享“备战2026中考丨动点压轴题11-18练习题答案”。
该系列18道动点,都是原创新题,将知识、方法、模型重组设问。72问,72般变化!涵盖了动点压轴题常考的平行、垂直、角平分线、垂直平分线、面积、共线等等类型以及部分定值、最值创新类型,是训练动点几何解题能力不可多得练习题。每道题除最后一问前几问都是常考类型,最后一问是青岛中考之前没考过的或者一模二模考的比较少或者没考过的创新类型(比如隐圆最值、逆等线、造桥选址、主从联动瓜豆原理、阿氏圆、单线段最值、比值线段最值等类型,所以大家会觉得难,因为毕竟这类题少见,或者没见过该类型,但是只要接触了这些新题型,明其理,就不会觉得难了,隐圆定长定点或定角定弦确定圆心,逆等线SAS构造全等、造桥选址平移构造平四转换线段化将军饮马模型、阿氏圆构造子母相似转化系数线段等...),但山东其他城市中考选填压轴或者几何探究当中,这些最值类型是常考的几何难点类型(如25山东统考卷最后一问隐圆最值、25烟台最后一道瓜豆最值等),为顺应统考趋势,在这18道动点练习题里面最后一问补充了这些类型,补充了青岛中考动点的最值空白,大家可以有选择性的练习!
关于练习1~18的18道动点题,电子版文档(无水印)以及答案解析版,已全部更新在《18类型9招》课程资料当中,后文有链接,有需要的可订阅。
备战2026中考丨动点压轴题练习题11-18答案 第1张

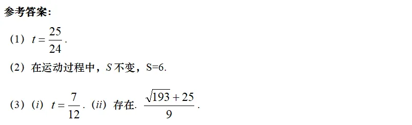
动点练习11-答案

备战2026中考丨动点压轴题练习题11-18答案 第2张
备战2026中考丨动点压轴题练习题11-18答案 第3张
备战2026中考丨动点压轴题练习题11-18答案 第4张
备战2026中考丨动点压轴题练习题11-18答案 第5张
备战2026中考丨动点压轴题练习11
备战2026中考丨动点压轴题练习题11-18答案 第6张

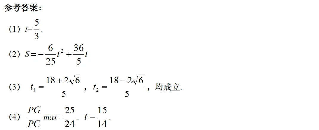
动点练习12-答案

备战2026中考丨动点压轴题练习题11-18答案 第7张
备战2026中考丨动点压轴题练习题11-18答案 第8张
备战2026中考丨动点压轴题练习题11-18答案 第9张
备战2026中考丨动点压轴题练习题11-18答案 第10张
备战2026中考丨动点压轴题练习12
备战2026中考丨动点压轴题练习题11-18答案 第11张

动点练习13-答案

备战2026中考丨动点压轴题练习题11-18答案 第12张
备战2026中考丨动点压轴题练习题11-18答案 第13张
备战2026中考丨动点压轴题练习题11-18答案 第14张
备战2026中考丨动点压轴题练习题11-18答案 第15张
备战2026中考丨动点压轴题练习13
备战2026中考丨动点压轴题练习题11-18答案 第16张

动点练习14-答案

备战2026中考丨动点压轴题练习题11-18答案 第17张
备战2026中考丨动点压轴题练习题11-18答案 第18张
备战2026中考丨动点压轴题练习题11-18答案 第19张
备战2026中考丨动点压轴题练习题11-18答案 第20张
备战2026中考丨动点压轴题练习14
备战2026中考丨动点压轴题练习题11-18答案 第21张

动点练习15-答案

备战2026中考丨动点压轴题练习题11-18答案 第22张
备战2026中考丨动点压轴题练习题11-18答案 第23张
备战2026中考丨动点压轴题练习题11-18答案 第24张
备战2026中考丨动点压轴题练习题11-18答案 第25张
备战2026中考丨动点压轴题练习15
备战2026中考丨动点压轴题练习题11-18答案 第26张

动点练习16-答案

备战2026中考丨动点压轴题练习题11-18答案 第27张
备战2026中考丨动点压轴题练习题11-18答案 第28张
备战2026中考丨动点压轴题练习题11-18答案 第29张
备战2026中考丨动点压轴题练习题11-18答案 第30张
备战2026中考丨动点压轴题练习16
备战2026中考丨动点压轴题练习题11-18答案 第31张

动点练习17-答案

备战2026中考丨动点压轴题练习题11-18答案 第32张
备战2026中考丨动点压轴题练习题11-18答案 第33张
备战2026中考丨动点压轴题练习题11-18答案 第34张
备战2026中考丨动点压轴题练习题11-18答案 第35张
备战2026中考丨动点压轴题练习17
备战2026中考丨动点压轴题练习题11-18答案 第36张

动点练习18-答案

备战2026中考丨动点压轴题练习题11-18答案 第37张
备战2026中考丨动点压轴题练习题11-18答案 第38张
备战2026中考丨动点压轴题练习题11-18答案 第39张
备战2026中考丨动点压轴题练习题11-18答案 第40张
备战2026中考丨动点压轴题练习18
备战2026中考丨动点压轴题练习题11-18答案 第41张

动点指南

备战2026中考丨动点压轴题练习题11-18答案 第42张
备战2026中考丨动点压轴题练习题11-18答案 第43张
备战2026中考丨动点压轴题练习题11-18答案 第44张
备战2026中考丨近3年一模、二模数学真题卷
2025年青岛市初中学业水平考试数学试题分析
最全!真题汇总丨备战26!青岛中考真题、一模、二模数学试题及参考答案&考情分析、难点解析
备战2026中考丨动点压轴题练习题1-10答案
备战2026中考丨动点压轴题练习题11-18答案 第45张

END

备战2026中考丨动点压轴题练习题11-18答案 第46张
备战2026中考丨动点压轴题练习题11-18答案 第47张

抱歉,评论功能暂时关闭!