上海市华二附中高三数学月考试卷及答案(2026.3)

四季读书网 12 0
上海市华二附中高三数学月考试卷及答案(2026.3)
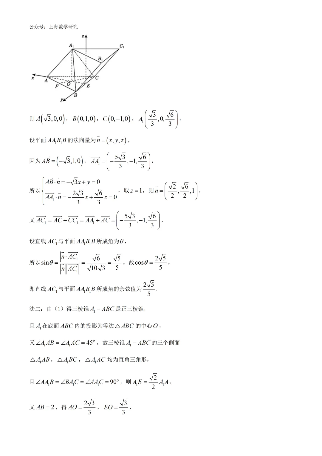
上海市华二附中高三数学月考试卷及答案(2026.3) 第1张
上海市华二附中高三数学月考试卷及答案(2026.3) 第2张
上海市华二附中高三数学月考试卷及答案(2026.3) 第3张
上海市华二附中高三数学月考试卷及答案(2026.3) 第4张
上海市华二附中高三数学月考试卷及答案(2026.3) 第5张
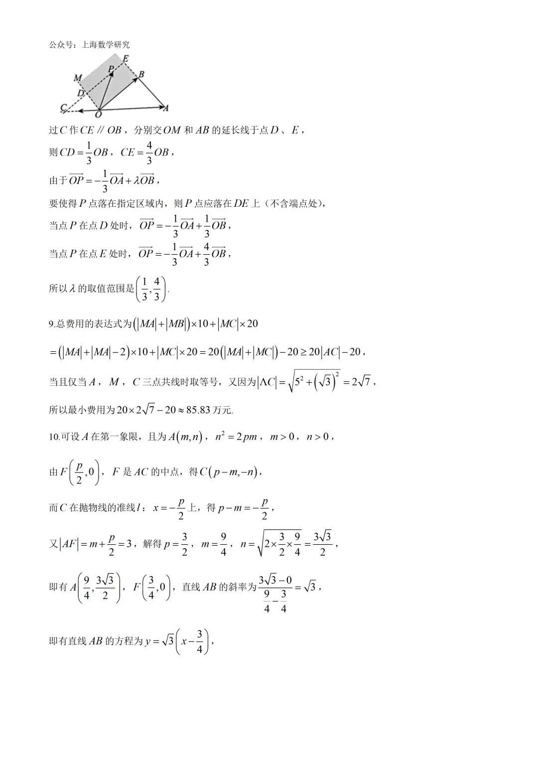
上海市华二附中高三数学月考试卷及答案(2026.3) 第6张
上海市华二附中高三数学月考试卷及答案(2026.3) 第7张
上海市华二附中高三数学月考试卷及答案(2026.3) 第8张
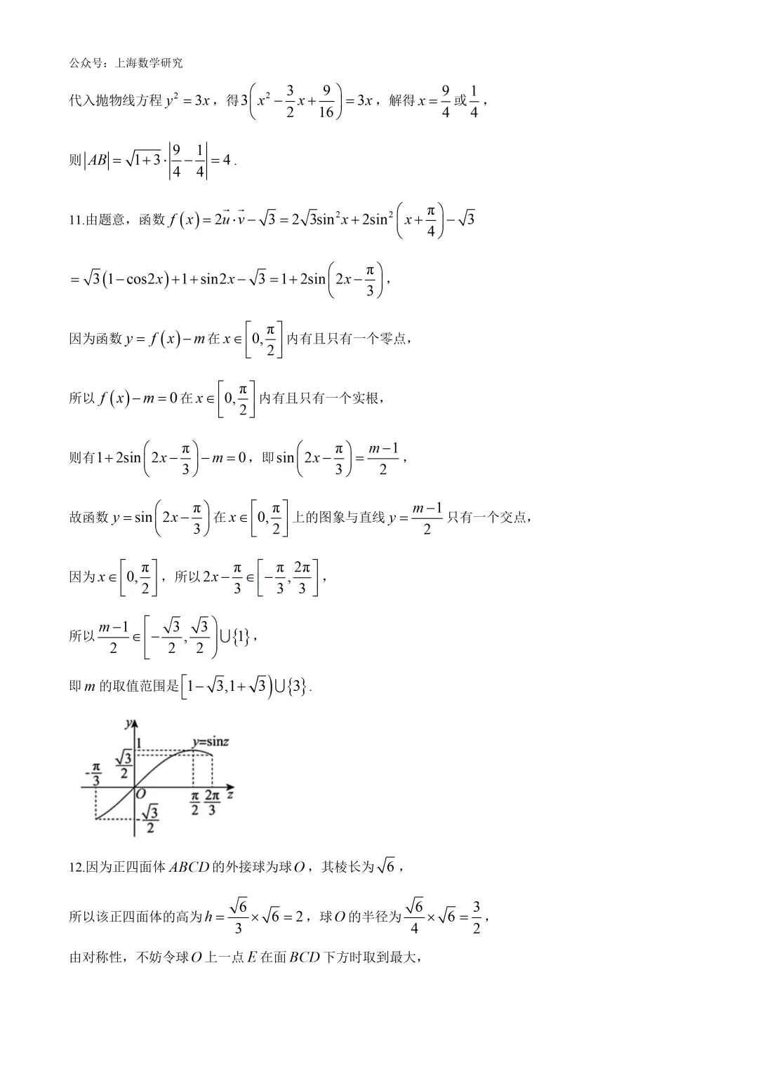
上海市华二附中高三数学月考试卷及答案(2026.3) 第9张
上海市华二附中高三数学月考试卷及答案(2026.3) 第10张
上海市华二附中高三数学月考试卷及答案(2026.3) 第11张
上海市华二附中高三数学月考试卷及答案(2026.3) 第12张
上海市华二附中高三数学月考试卷及答案(2026.3) 第13张
上海市华二附中高三数学月考试卷及答案(2026.3) 第14张
上海市华二附中高三数学月考试卷及答案(2026.3) 第15张
上海市华二附中高三数学月考试卷及答案(2026.3) 第16张

抱歉,评论功能暂时关闭!