
Hi~新朋友,记得点蓝字关注我们哟

山西省太原市2026届高三年级模拟考试(一)

下载链接请在文末获取关键词获取!
试卷· 答案
Examination
【数学试题+答案】












2026网盘群已开启,戳下方了解详情!!!


@高中试卷君
资料下载
公众号中回复
260325
由于公众号回复限制,此关键词回复将在7天后删除!
本公众号旨在分享试题资料,所有资源仅用于学习参考!如有侵权,请联系小编删除,谢谢!

文章来源:
四季读书网
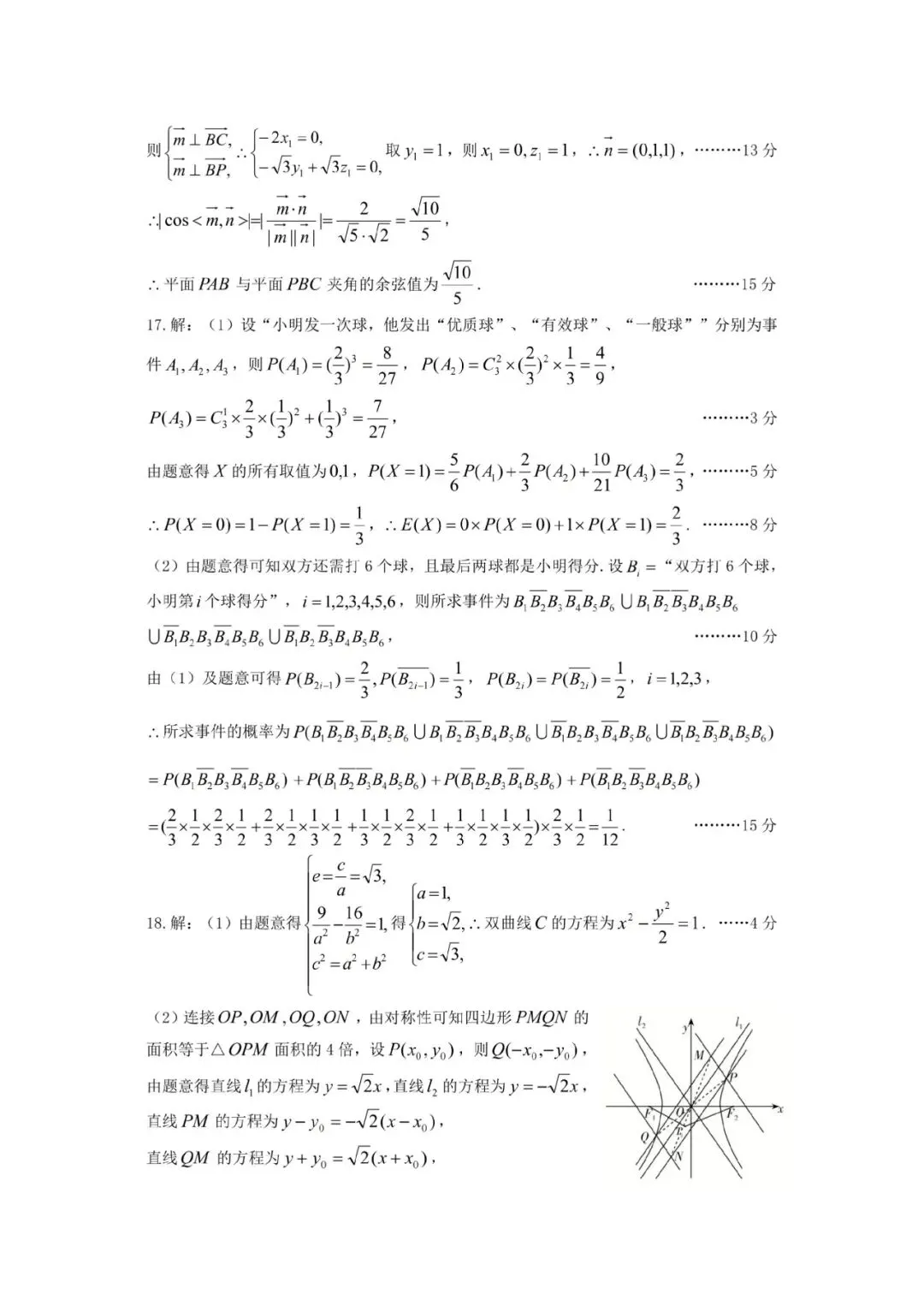
版权声明:本文内容由互联网用户自发贡献,该文观点仅代表作者本人。本站仅提供信息存储空间服务,不拥有所有权,不承担相关法律责任。如发现本站有涉嫌抄袭侵权/违法违规的内容, 请发送邮件至23467321@qq.com举报,一经查实,本站将立刻删除;如已特别标注为本站原创文章的,转载时请以链接形式注明文章出处,谢谢!
