
































☝ 长按二维码,关注视频号 ☝
免责声明:本文部分素材(含图片)来源于网络转载,仅供学习交流使用,不构成商业目的。版权归原作者所有,因无法找到原作者,如涉及作品内容、版权和其它争议需要交涉,请及时告知我们,本平台查核属实后,将于24小时内删除消息,不承担任何法律责任。热烈欢迎关注、转发、收藏本微信平台消息。
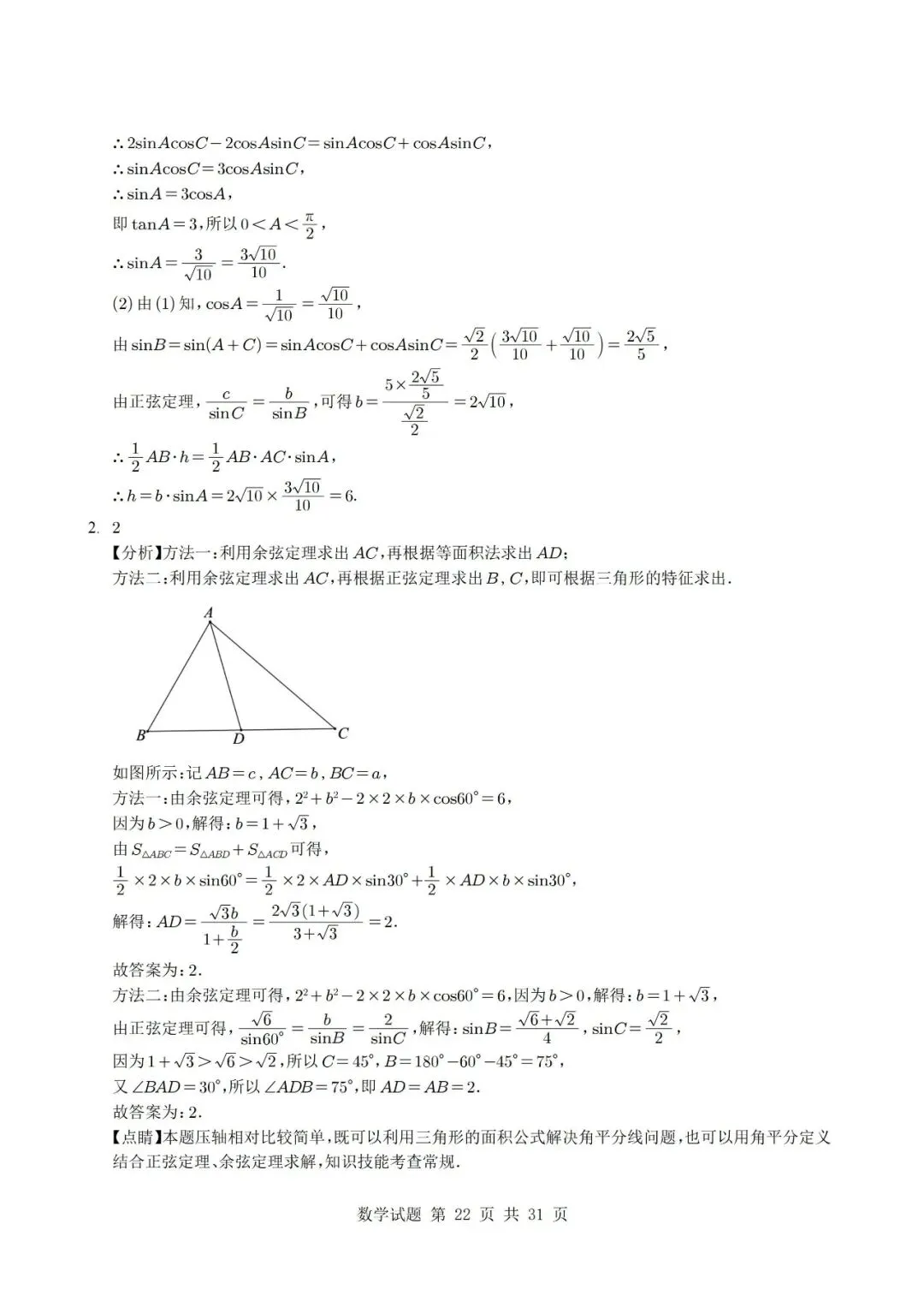
点个「
」 金榜题名

文章来源:
四季读书网
版权声明:本文内容由互联网用户自发贡献,该文观点仅代表作者本人。本站仅提供信息存储空间服务,不拥有所有权,不承担相关法律责任。如发现本站有涉嫌抄袭侵权/违法违规的内容, 请发送邮件至23467321@qq.com举报,一经查实,本站将立刻删除;如已特别标注为本站原创文章的,转载时请以链接形式注明文章出处,谢谢!