2026年高考、江门模拟考试,数学试卷及答案

四季读书网 14 0
2026年高考、江门模拟考试,数学试卷及答案
2026年高考、江门模拟考试,数学试卷及答案 第1张
2026年高考、江门模拟考试,数学试卷及答案 第2张
2026年高考、江门模拟考试,数学试卷及答案 第3张
2026年高考、江门模拟考试,数学试卷及答案 第4张
2026年高考、江门模拟考试,数学试卷及答案 第5张
2026年高考、江门模拟考试,数学试卷及答案 第6张
2026年高考、江门模拟考试,数学试卷及答案 第7张
2026年高考、江门模拟考试,数学试卷及答案 第8张
2026年高考、江门模拟考试,数学试卷及答案 第9张
2026年高考、江门模拟考试,数学试卷及答案 第10张
2026年高考、江门模拟考试,数学试卷及答案 第11张
2026年高考、江门模拟考试,数学试卷及答案 第12张
2026年高考、江门模拟考试,数学试卷及答案 第13张
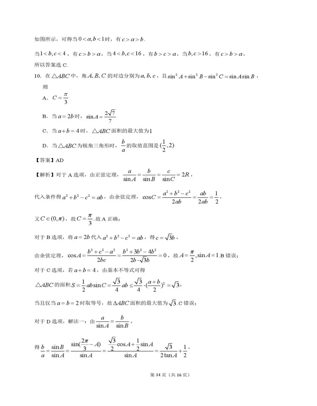
2026年高考、江门模拟考试,数学试卷及答案 第14张
2026年高考、江门模拟考试,数学试卷及答案 第15张
2026年高考、江门模拟考试,数学试卷及答案 第16张
2026年高考、江门模拟考试,数学试卷及答案 第17张
2026年高考、江门模拟考试,数学试卷及答案 第18张
2026年高考、江门模拟考试,数学试卷及答案 第19张
2026年高考、江门模拟考试,数学试卷及答案 第20张
2026年高考、江门模拟考试,数学试卷及答案 第21张
2026年高考、江门模拟考试,数学试卷及答案 第22张

抱歉,评论功能暂时关闭!