【中考数学】计算题专项突破(含答案解析)

四季读书网 12 0
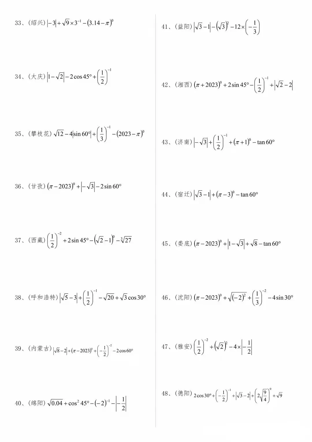
【中考数学】计算题专项突破(含答案解析)
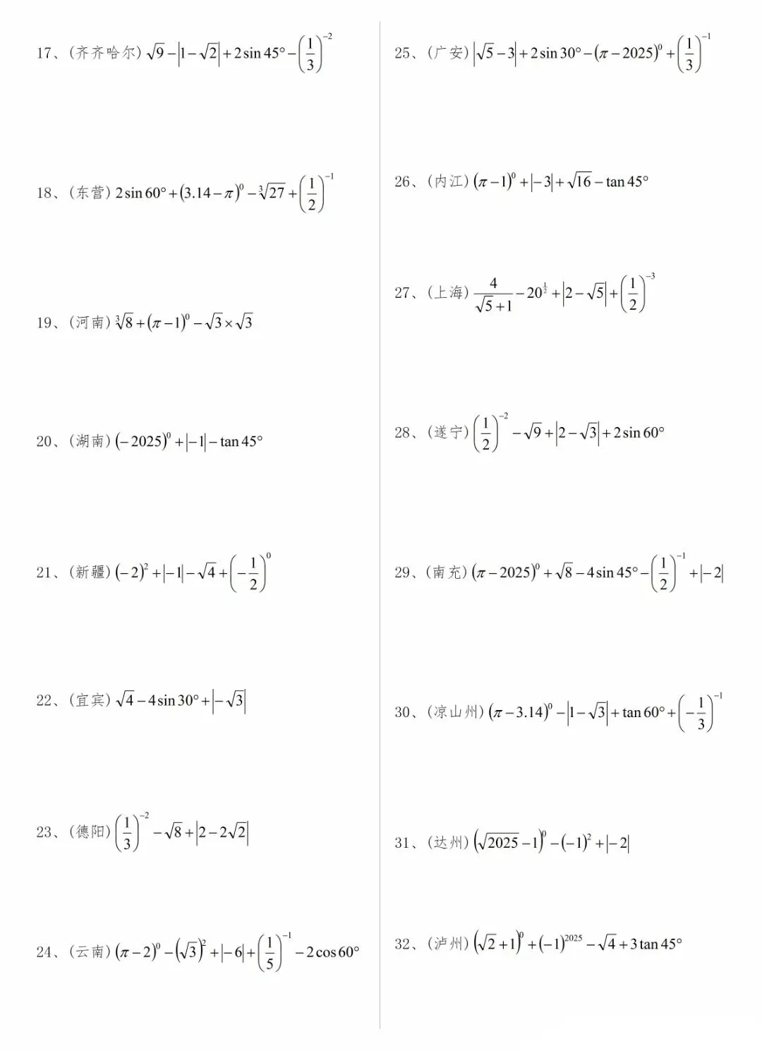
【中考数学】计算题专项突破(含答案解析) 第1张
【中考数学】计算题专项突破(含答案解析) 第2张
【中考数学】计算题专项突破(含答案解析) 第3张
【中考数学】计算题专项突破(含答案解析) 第4张
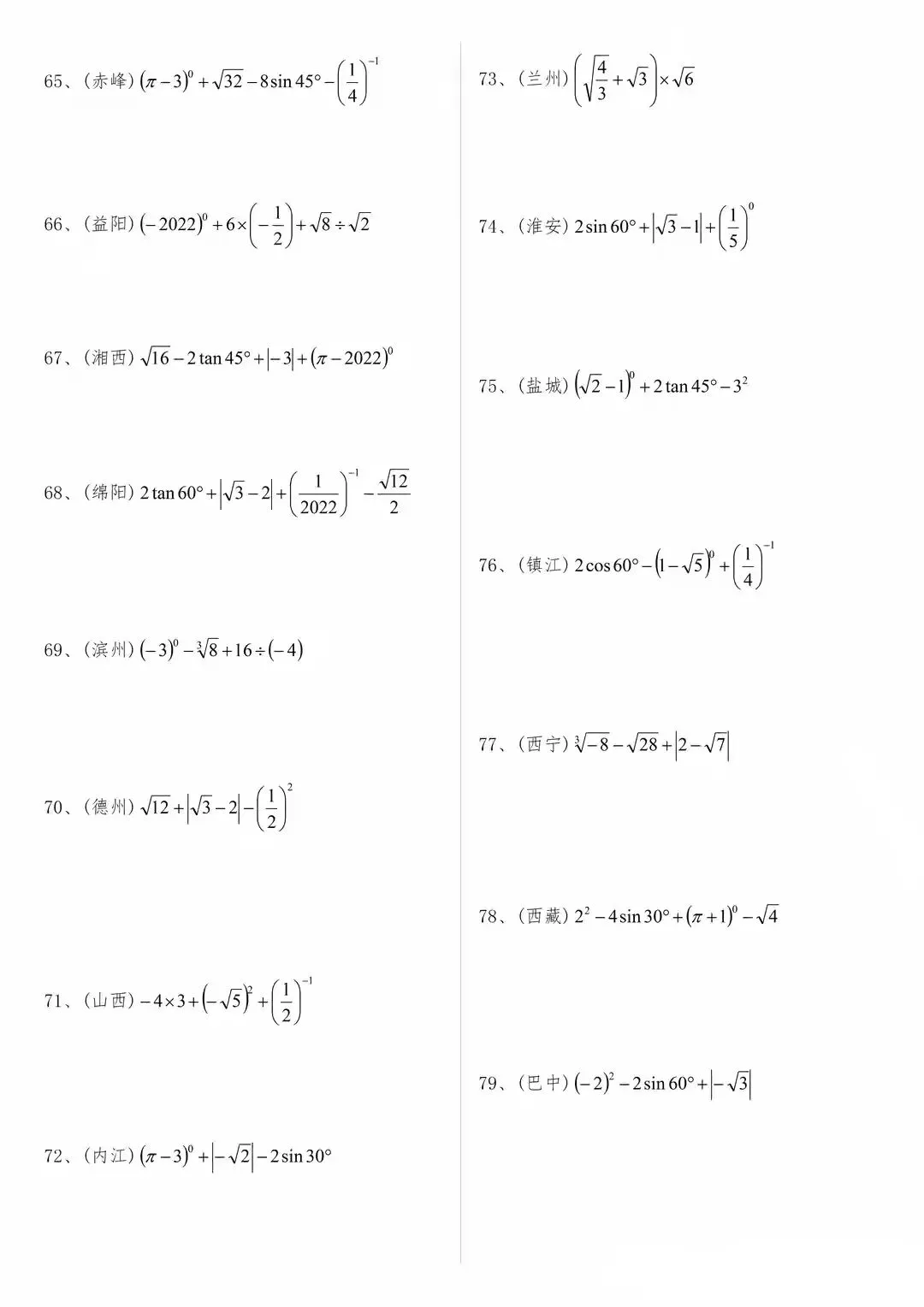
【中考数学】计算题专项突破(含答案解析) 第5张
【中考数学】计算题专项突破(含答案解析) 第6张
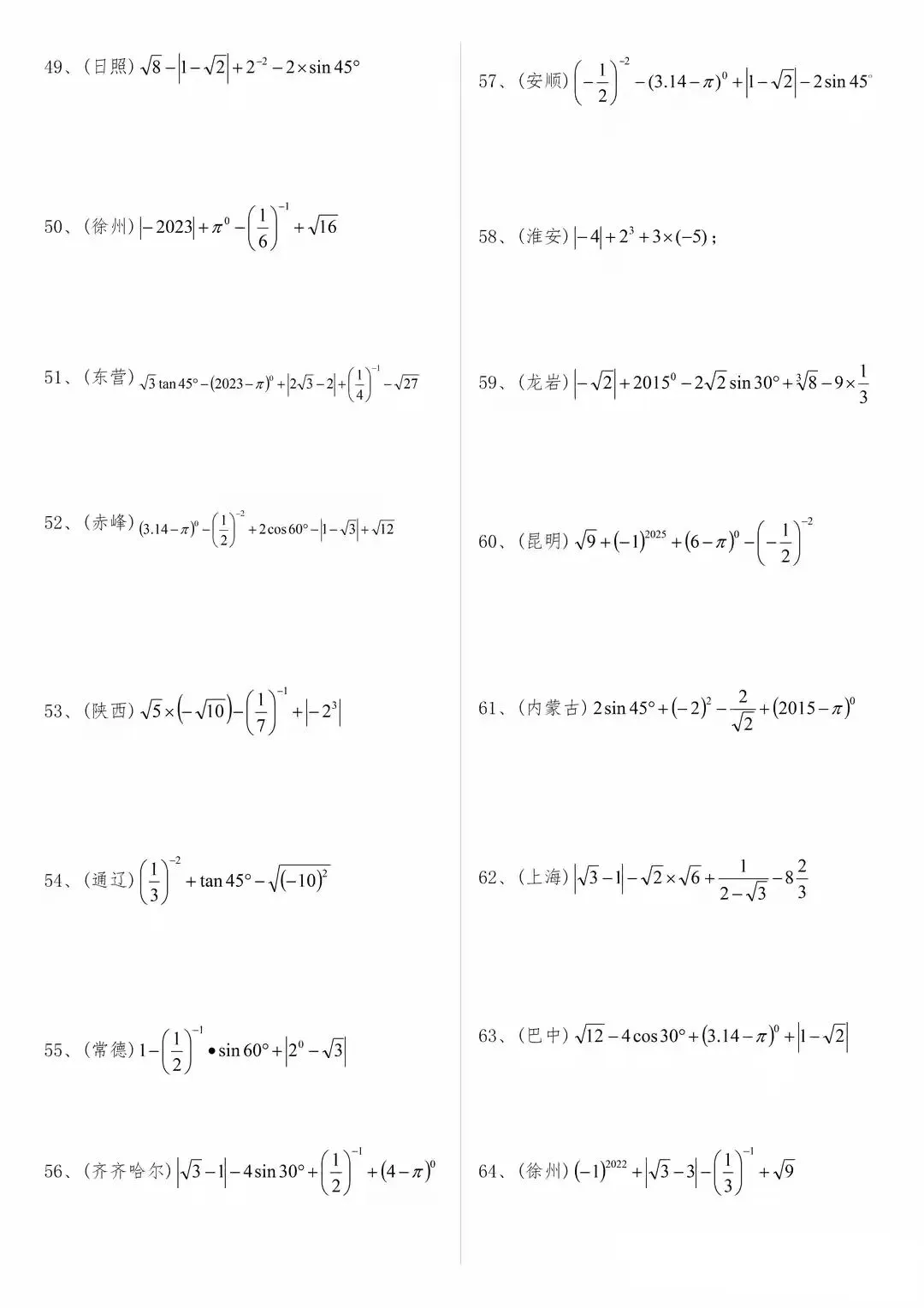
【中考数学】计算题专项突破(含答案解析) 第7张
【中考数学】计算题专项突破(含答案解析) 第8张
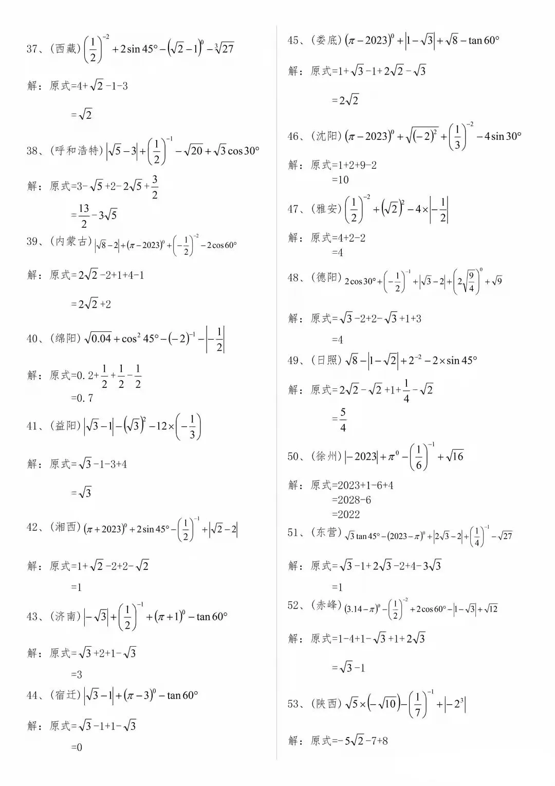
【中考数学】计算题专项突破(含答案解析) 第9张
【中考数学】计算题专项突破(含答案解析) 第10张
【中考数学】计算题专项突破(含答案解析) 第11张

抱歉,评论功能暂时关闭!