大家好,我是汪汪老师。
15年数学培训经验,能解决各类型孩子的数学学习问题。
①初中数学早培体系,120节课学完初中数学全部内容,直属校难度。有线下课,有完整视频课。
②中考数学难点题型冲刺,线下。
③高中数学衔接/培优。
④小升初刷题年卡,是更新真题PDF文件和讲解视频的,视频课。
⑤中考数学压轴专项讲解视频,是跟着7龙珠初三的考试节奏,更新压轴题讲解视频的,视频课。
⑥7龙珠各年级、各科真题集,初中各学期数学压轴专项,纸质资料。
有数学学习上问题,可以扫码添加我的微信,详细沟通。

中考直属模拟真题集(2025年版本)——语文,数学,英语,物理,化学。
中考数学压轴专项——几何/代数+函数(2025年版本)。
欢迎购买。
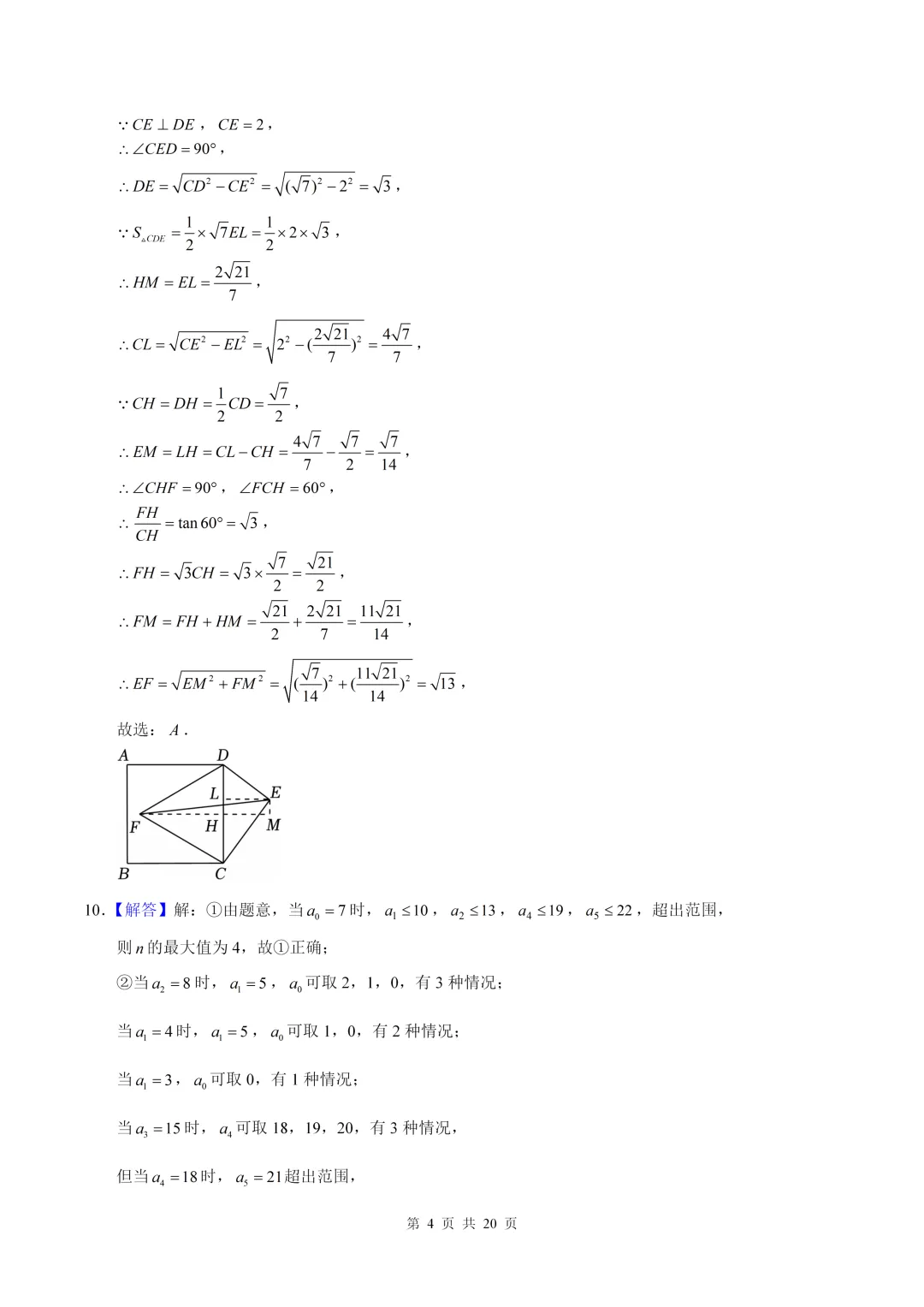
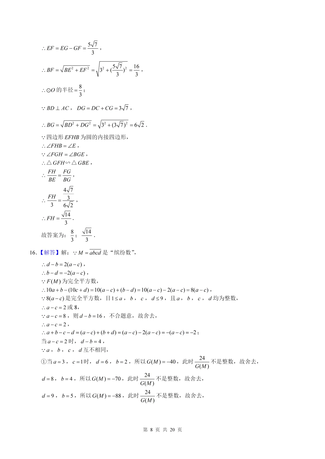
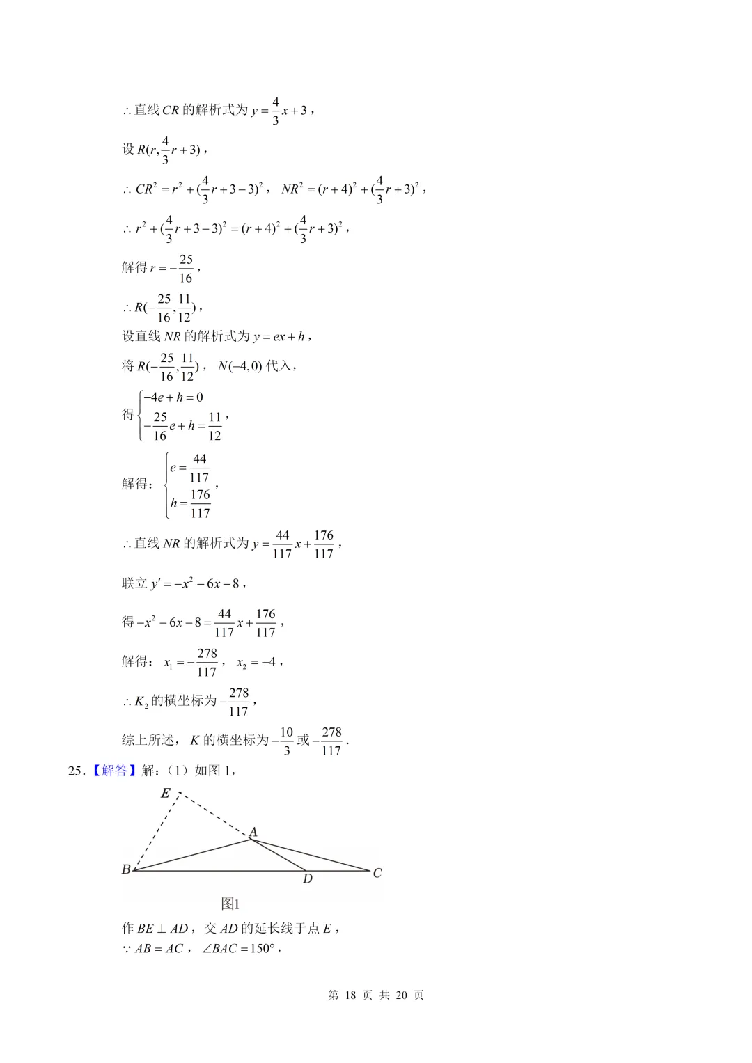
今天分享的是西大附中2024-2025学年初三下数学一模(有答案)。
此套试卷收录于《中考直属模拟真题集——数学(2025年版本)》。
优秀都是练出来的。
欢迎收藏,并转发给有需要的家长和孩子。



























文章来源:
四季读书网
版权声明:本文内容由互联网用户自发贡献,该文观点仅代表作者本人。本站仅提供信息存储空间服务,不拥有所有权,不承担相关法律责任。如发现本站有涉嫌抄袭侵权/违法违规的内容, 请发送邮件至23467321@qq.com举报,一经查实,本站将立刻删除;如已特别标注为本站原创文章的,转载时请以链接形式注明文章出处,谢谢!
