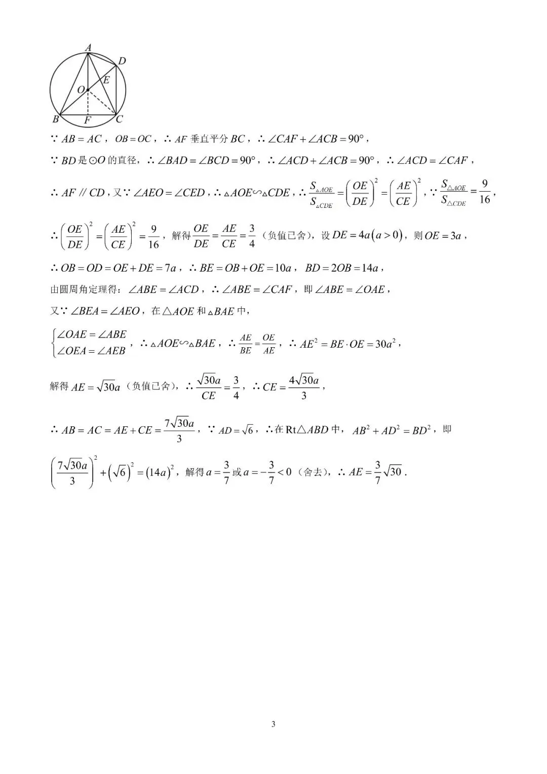
2026杭州锦绣育才数学中考一模试卷 四季读书网 2026-03-24 10:29:31 10 0 2026杭州锦绣育才数学中考一模试卷简介:本公众号专注江浙地区初中数学,命题趋势,以及题型研究。不定期更新各大学校试题,数学干货。 本人:扎根于金华的数学老师,如有需要学习资料,或者上课咨询的,请加微信(添加时,备注来意) 本文地址: https://sjds.net/593868.html 文章来源: 四季读书网 版权声明:本文内容由互联网用户自发贡献,该文观点仅代表作者本人。本站仅提供信息存储空间服务,不拥有所有权,不承担相关法律责任。如发现本站有涉嫌抄袭侵权/违法违规的内容, 请发送邮件至23467321@qq.com举报,一经查实,本站将立刻删除;如已特别标注为本站原创文章的,转载时请以链接形式注明文章出处,谢谢!