【中考数学】化简求值专题复习(含答案解析)

四季读书网 11 0
【中考数学】化简求值专题复习(含答案解析)
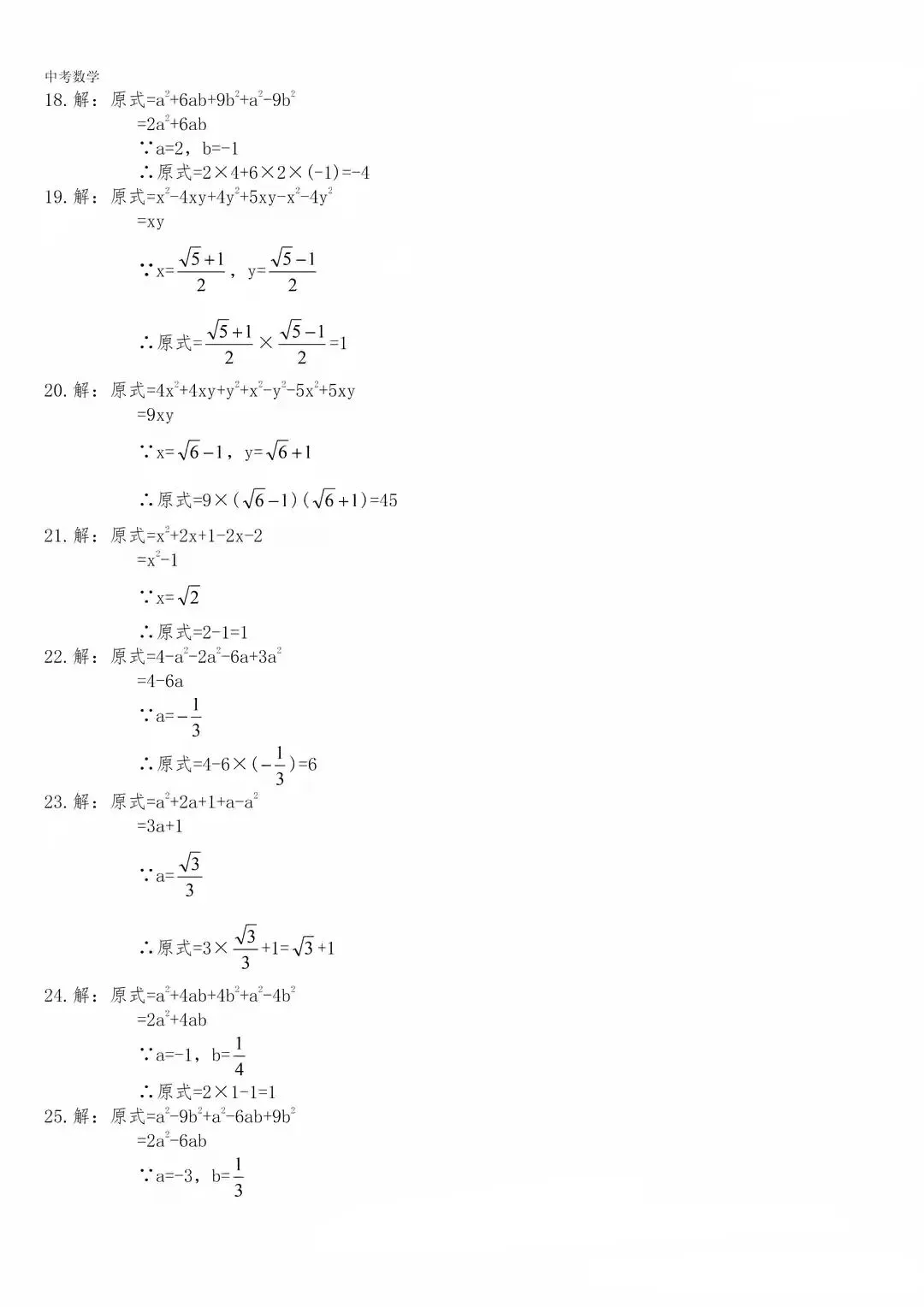
【中考数学】化简求值专题复习(含答案解析) 第1张
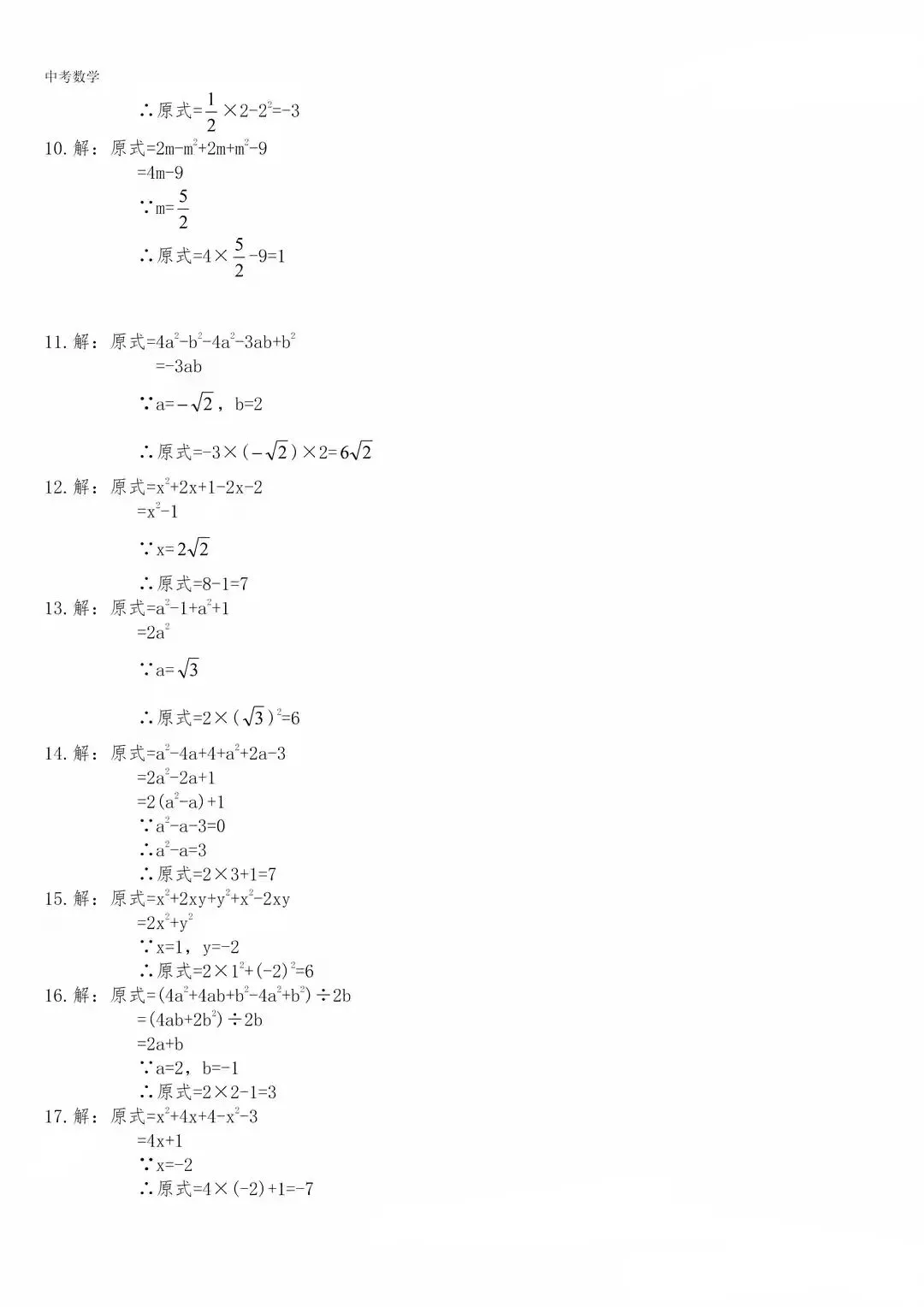
【中考数学】化简求值专题复习(含答案解析) 第2张
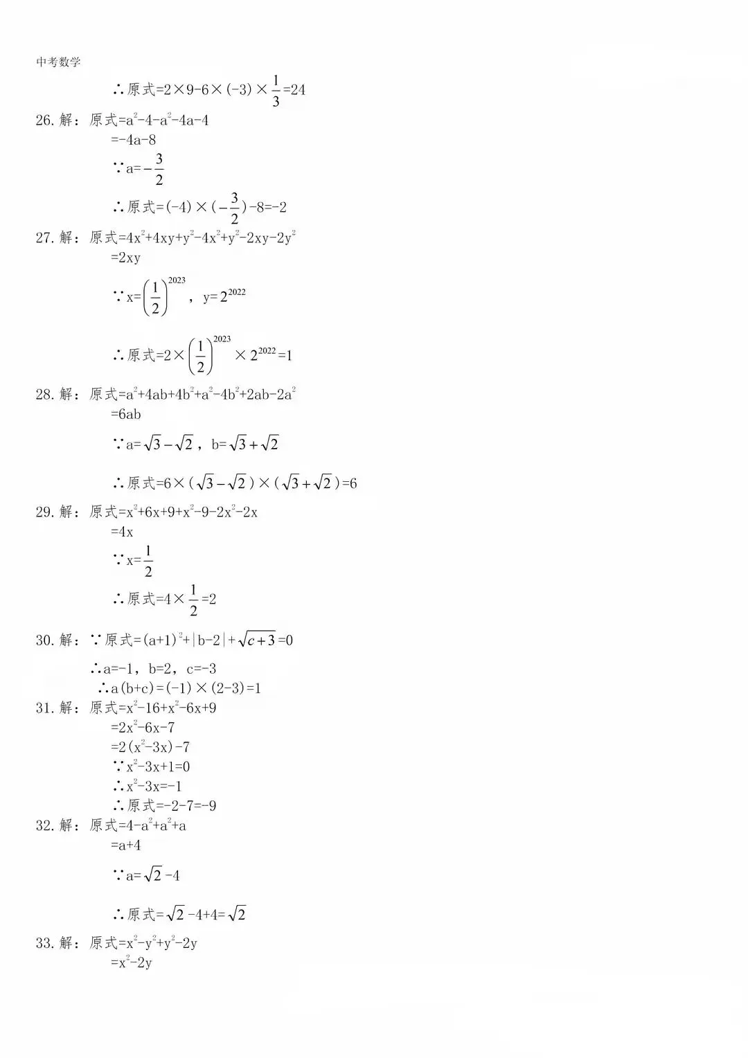
【中考数学】化简求值专题复习(含答案解析) 第3张
【中考数学】化简求值专题复习(含答案解析) 第4张
【中考数学】化简求值专题复习(含答案解析) 第5张
【中考数学】化简求值专题复习(含答案解析) 第6张
【中考数学】化简求值专题复习(含答案解析) 第7张
【中考数学】化简求值专题复习(含答案解析) 第8张
【中考数学】化简求值专题复习(含答案解析) 第9张
【中考数学】化简求值专题复习(含答案解析) 第10张
【中考数学】化简求值专题复习(含答案解析) 第11张

抱歉,评论功能暂时关闭!