与君共勉:

昨天太累了忘更了 今天在找试卷的时候 意外发现一套很猎奇的卷子 为什么说它猎奇呢 因为给我的感觉就是 充斥着各种二级结论 很多都是在堆积计算量 是赣州一模 由于这个卷子大多为二级结论 所以我没有写 就在这里和大家简单分享一下 它都用到了什么结论~
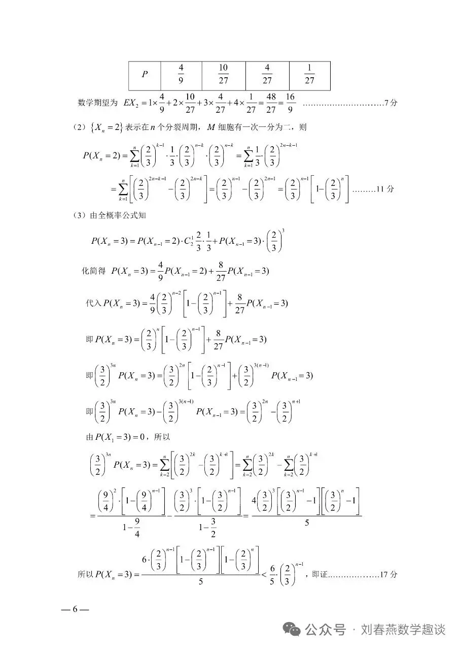
部分题目讲解:

这道题说两个方法 一种是直接焦半径公式 很容易 另一种你把图画出来(算了我写一下吧哈哈 说不清)







原卷及解析:









经过作者的一通分析 我感觉这卷上的二级结论还是不少的 或者不说二级结论 就是套路题非常多 几乎全都是 而且这卷子的题目安排很猎奇 压轴题没什么 但是其他题仿佛都在自己不该在的位置哈哈哈 很奇怪的一套卷 并且不少题目是在徒增计算量 个人不欣赏这种出题方法
速递速递:
昨天骑车骑了差不多9km 去看了郁金香 真的超级美哈哈 分享给大家~




看到的时候真的觉得 巨美哈哈
看到网上说 这几年来 大家一直在歌颂勇敢 但是慢慢来也是我们的每一天 嗯个人感觉 歌颂勇敢是正确的 而且其实我会很喜欢做一些勇敢的尝试 但刷到内个视频突然就意识到 不是每个人都是这样想的 所以一味歌颂勇敢或许会无形中给他人造成压力 形成内耗 后来我觉得 慢慢来确实也是一种很厉害的生活方式 普通的度过每一天 也很厉害
好的 over 今天要去野餐哈哈 明天见~