中考重点:二次函数,最全知识点汇总!

四季读书网 13 0
中考重点:二次函数,最全知识点汇总!

👇👇👇免费进学习资料群

中考重点:二次函数,最全知识点汇总! 第1张

以微课堂学习资料群

奥数国家级教练与四名特级

教师联手执教。

今天给大家整理的是中考数学「二次函数」最全知识点汇总,全文共分为8个部分:知识点总结、学习口诀、易错分析巧、选解析式、动态最值专题、解题技巧、变式13解、题型归类,基本囊括了初中数学「二次函数」全部的考点、重难点,强烈推荐家长转给孩子!

第一部分 知识点总结
中考重点:二次函数,最全知识点汇总! 第2张
中考重点:二次函数,最全知识点汇总! 第3张中考重点:二次函数,最全知识点汇总! 第4张中考重点:二次函数,最全知识点汇总! 第5张中考重点:二次函数,最全知识点汇总! 第6张中考重点:二次函数,最全知识点汇总! 第7张
第二部分  学习口诀
二次函数图像与性质口诀
二次函数抛物线,图象对称是关键;
开口、顶点和交点,它们确定图象限;
开口、大小由a断,c与Y轴来相见,b的符号较特别,符号与a相关联;
顶点位置先找见,Y轴作为参考线,左同右异中为0,牢记心中莫混乱;
顶点坐标最重要,一般式配方它就现,横标即为对称轴,纵标函数最值见。
若求对称轴位置,符号反,一般、顶点、交点式,不同表达能互换。
中考重点:二次函数,最全知识点汇总! 第8张
中考重点:二次函数,最全知识点汇总! 第9张
中考重点:二次函数,最全知识点汇总! 第10张
中考重点:二次函数,最全知识点汇总! 第11张
中考重点:二次函数,最全知识点汇总! 第12张
中考重点:二次函数,最全知识点汇总! 第13张
中考重点:二次函数,最全知识点汇总! 第14张
第三部分 易错分析
函数是初中数学知识的主线,而二次函数是这条主线上的高潮.我们通过探索二次函数与方程的关系,让我们领悟到事物之间相互联系的辨证关系.我们能够利用二次函数解决实际问题,培养数学建模的能力.
【知识结构】
中考重点:二次函数,最全知识点汇总! 第15张
【知识梳理】
中考重点:二次函数,最全知识点汇总! 第16张
中考重点:二次函数,最全知识点汇总! 第17张
3、性质
中考重点:二次函数,最全知识点汇总! 第18张
注意:二次函数的性质要结合图象,认真理解,灵活应用,不要死记硬背.
4、二次函数与一元二次方程的关系
中考重点:二次函数,最全知识点汇总! 第19张
【易错点剖析】
一、忽略二次项系数不等于0
中考重点:二次函数,最全知识点汇总! 第20张
中考重点:二次函数,最全知识点汇总! 第21张
二、忽略隐含条件
中考重点:二次函数,最全知识点汇总! 第22张
中考重点:二次函数,最全知识点汇总! 第23张
中考重点:二次函数,最全知识点汇总! 第24张
中考重点:二次函数,最全知识点汇总! 第25张
中考重点:二次函数,最全知识点汇总! 第26张
三、忽略数形结合思想方法的应用
中考重点:二次函数,最全知识点汇总! 第27张
中考重点:二次函数,最全知识点汇总! 第28张
四、求顶点坐标时混淆符号
中考重点:二次函数,最全知识点汇总! 第29张
中考重点:二次函数,最全知识点汇总! 第30张
中考重点:二次函数,最全知识点汇总! 第31张
中考重点:二次函数,最全知识点汇总! 第32张
五、忽视根的判别式的作用
中考重点:二次函数,最全知识点汇总! 第33张
中考重点:二次函数,最全知识点汇总! 第34张
中考重点:二次函数,最全知识点汇总! 第35张
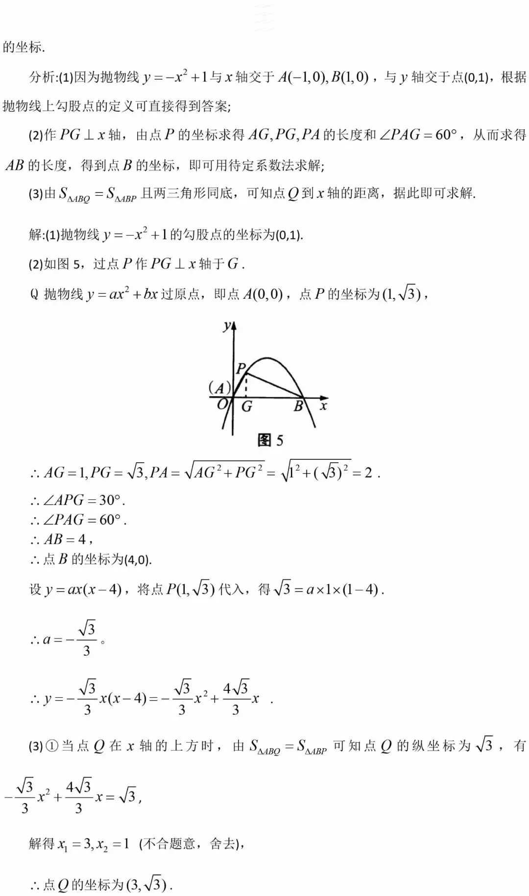
第四部分 巧选解析式
二次函数解析式的确定是中考的高频考点,在压轴题的第一问就难倒了不少小伙伴。那么如何巧选表达式来确定二次函数的解析式呢?
中考重点:二次函数,最全知识点汇总! 第36张
中考重点:二次函数,最全知识点汇总! 第37张
【小试牛刀
中考重点:二次函数,最全知识点汇总! 第38张
中考重点:二次函数,最全知识点汇总! 第39张
【几种特殊情况
中考重点:二次函数,最全知识点汇总! 第40张
第五部分 动态最值专题
中考重点:二次函数,最全知识点汇总! 第41张
中考重点:二次函数,最全知识点汇总! 第42张
中考重点:二次函数,最全知识点汇总! 第43张
中考重点:二次函数,最全知识点汇总! 第44张
中考重点:二次函数,最全知识点汇总! 第45张
中考重点:二次函数,最全知识点汇总! 第46张
中考重点:二次函数,最全知识点汇总! 第47张
中考重点:二次函数,最全知识点汇总! 第48张
中考重点:二次函数,最全知识点汇总! 第49张
中考重点:二次函数,最全知识点汇总! 第50张
中考重点:二次函数,最全知识点汇总! 第51张
第六部分 解题技巧
学好函数还是有诀窍的,要结合图像说性质,结合性质画图像,正所谓数形结合,函数无敌!
中考重点:二次函数,最全知识点汇总! 第52张中考重点:二次函数,最全知识点汇总! 第53张中考重点:二次函数,最全知识点汇总! 第54张中考重点:二次函数,最全知识点汇总! 第55张中考重点:二次函数,最全知识点汇总! 第56张中考重点:二次函数,最全知识点汇总! 第57张中考重点:二次函数,最全知识点汇总! 第58张中考重点:二次函数,最全知识点汇总! 第59张中考重点:二次函数,最全知识点汇总! 第60张
第七部分 变式13解
在初中三年数学学习中,二次函数一直是重难点,正是因为很多学生都没学会,因此让出题老师们钻了空子,在中考中最喜欢出二次函数的题,不管是选择,填空还是大题压轴题。
老师最喜欢给学生出难题,可是学生们就该叫苦不迭了,趁着中考前这段时间,多复习这一类知识,再做一个巩固加深印象。
以二次函数进行考查的题目,命题形式都是比较固定的,一般都是给一个含有字母系数的二次函数,通过给出条件确定解析式,然后讨论交点问题,往往看着简单的题目,最不容易做出来,出题稍微有点变化,学生就看不出来。
针对学生们做题出现的问题,我整理出来一些技巧以及考试中常出现的变式题,以便学生们上考场不自乱阵脚。
中考重点:二次函数,最全知识点汇总! 第61张
中考重点:二次函数,最全知识点汇总! 第62张
中考重点:二次函数,最全知识点汇总! 第63张
中考重点:二次函数,最全知识点汇总! 第64张
中考重点:二次函数,最全知识点汇总! 第65张
中考重点:二次函数,最全知识点汇总! 第66张
中考重点:二次函数,最全知识点汇总! 第67张
中考重点:二次函数,最全知识点汇总! 第68张
中考重点:二次函数,最全知识点汇总! 第69张
第八部分 题型归类
中考重点:二次函数,最全知识点汇总! 第70张
中考重点:二次函数,最全知识点汇总! 第71张
中考重点:二次函数,最全知识点汇总! 第72张
中考重点:二次函数,最全知识点汇总! 第73张
中考重点:二次函数,最全知识点汇总! 第74张
中考重点:二次函数,最全知识点汇总! 第75张
中考重点:二次函数,最全知识点汇总! 第76张
中考重点:二次函数,最全知识点汇总! 第77张
中考重点:二次函数,最全知识点汇总! 第78张
中考重点:二次函数,最全知识点汇总! 第79张

来源网络,侵删

👇👇👇免费进学习资料群

中考重点:二次函数,最全知识点汇总! 第80张

以微课堂学习资料群

奥数国家级教练与四名特级

教师联手执教。

温馨提示

试卷word打印版获取方法:点击阅读原文加学习资料群获取

《初中成才》,江苏省数学名师、数学奥林匹克国家级教练员联手四名特级教师共同打造

中考重点:二次函数,最全知识点汇总! 第81张七年级数学微课大全

中考重点:二次函数,最全知识点汇总! 第82张八年级数学微课大全

中考重点:二次函数,最全知识点汇总! 第83张完整版!中考数学复习大全

需要试卷电子打印版点击"阅读原文"

抱歉,评论功能暂时关闭!