中考临近,将陆续为各位同学整理各科必考知识点。
本期内容为:数学第2期:式
知识点1代数式及整式
代数式 | 用基本运算符号(基本运算符号包括加、减、乘、除、乘方和开方)把数或表示数的字母连接起来的式子 | |
整式的相关概念 | 单项式 | 1. 定义:用数或字母的积表示的式子.单独的一个数或一个字母也是单项式; 2. 系数:单项式中的数字因数; 3. 次数:一个单项式中,所有字母指数的和 |
多项式 | 1. 定义:几个单项式的和; 2. 项:多项式中的每个单项式;不含字母的项叫做常数项; 3. 次数:多项式中次数最高项的次数 | |
整式 | 单项式和多项式统称为整式 | |
整式加减运算 | 同类项 | 所含字母相同,并且相同字母的指数也相同的项;所有的常数项都是同类项 |
合并同类项 | 1. 字母和字母的指数不变;2. 系数相加减作为新的系数 | |
去括号法则 | 1. 括号前是“+”号,去括号后,括号内各项不变号, a+(b+c)=a+b+c; 2. 括号前是“-”号,去括号后,括号内每一项都变号, a-(b-c)=a-b + c 口诀:“+”不变,“-”全变 | |
幂的运算(a≠0, b≠0, m,n 为正 整数) | 同底数 幂相乘 | 底数不变,指数相加,即am·an=am+n |
同底数 幂相除 | 底数不变,指数相减,即am÷an=am-n | |
幂的 乘方 | 底数不变,指数相乘,即(am)n=amn | |
积的 乘方 | 先把积中的每个因式分别乘方,再把所得的幂相乘,即(ab)n=anbn | |
整式的乘法 | 单项式乘单项式 | 把系数、同底数幂分别相乘,作为积的一个因式,对于只在一个单项式里含有的字母,则连同它的指数作为积的一个因式 |
单项式 乘多项式 | 用单项式去乘多项式的每一项,再把所得的积相加,即m(a+b+c)=ma+mb+mc | |
多项式 乘多项式 | 先用一个多项式的每一项乘另一个多项式的每一项,再把所得的积相加,即(m+n)(a+b)=ma + mb + na + nb | |
乘法 公式 | 平方差公式:(a+b)(a-b)=a2-b2 完全平方公式:(a±b)2=a2±2ab+b2 | |
整式的除法 | 单项式除以单项式 | 把系数与同底数幂分别相除作为商的因式,对于只在被除式里含有的字母,则连同它的指数作为商的一个因式 |
多项式除以单项式 | 先把这个多项式的每一项除以这个单项式,再把所得的商相加 |
知识点2因式分解
定义 | 把一个多项式化为几个整式的乘积的形式 |
基本方法 | 1. 提公因式法:ma+mb+mc=m(a+b+c); 2. 公式法: |
注意:因式分解是把和差化为积的形式,而整式乘法是把积化为和差的形式,二者不可混淆。
知识点3分式
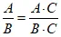
相关 概念 | 1. 定义:一般地,如果A,B表示两个整式,并且B中含有字母,且B≠0,那么式子 2. 分式有意义的条件:分母不为0; 3. 分式值为零的条件:分子为零且分母不为零; 4. 最简分式:分子与分母没有公因式的分式 | |
基本 性质 | 分式的分子与分母乘(或除以)同一个不为零的整式,分式的值不变,即 | |
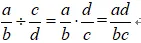
分式的运算 | 乘法 | 分式乘分式,用分子的积作为积的分子,分母的积作为积的分母,即 |
除法 | 分式除以分式,把除式的分子、分母颠倒位置后,与被除式相乘,即 | |
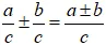
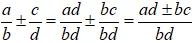
加减运算 | 1.同分母:分母不变,把分子相加减,即 2.异分母:先通分,变为同分母的分式,再加减,即
|
【为及时收到每期更新内容,请添加 关注、收藏+分享
】

;






