2025年保定竞秀区一模数学试卷(含答案)

四季读书网 11 0
2025年保定竞秀区一模数学试卷(含答案)
2025年保定竞秀区一模数学试卷(含答案) 第1张
2025年保定竞秀区一模数学试卷(含答案) 第2张
2025年保定竞秀区一模数学试卷(含答案) 第3张
2025年保定竞秀区一模数学试卷(含答案) 第4张
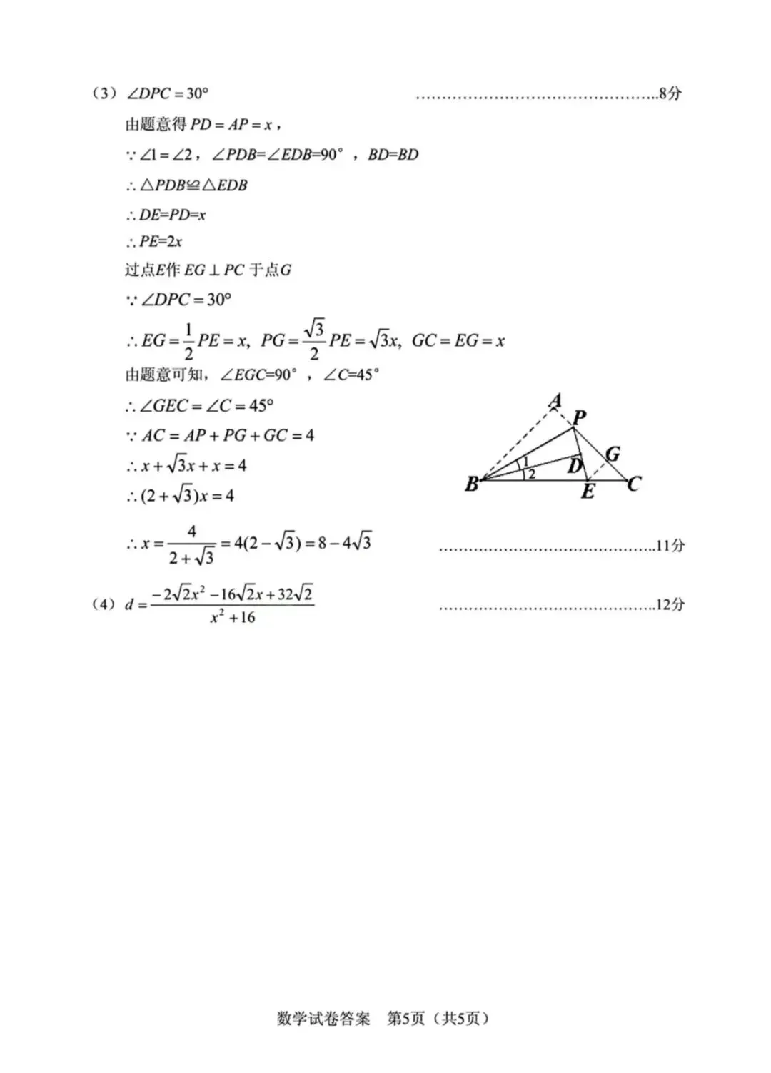
2025年保定竞秀区一模数学试卷(含答案) 第5张
2025年保定竞秀区一模数学试卷(含答案) 第6张
2025年保定竞秀区一模数学试卷(含答案) 第7张
2025年保定竞秀区一模数学试卷(含答案) 第8张
2025年保定竞秀区一模数学试卷(含答案) 第9张
2025年保定竞秀区一模数学试卷(含答案) 第10张
2025年保定竞秀区一模数学试卷(含答案) 第11张
2025年保定竞秀区一模数学试卷(含答案) 第12张
2025年保定竞秀区一模数学试卷(含答案) 第13张
2025年保定竞秀区一模数学试卷(含答案) 第14张

26.1河北省期末考试七年级数学试卷含答案(冀教版)

26.1河北省期末考试八年级数学试卷含答案(冀教版)

26.1河北省期末考试九年级数学试卷含答案(冀教版)

2026.1河北省九年级结课考试数学试卷

抱歉,评论功能暂时关闭!