2026年3月,这份裕华区中考第一次模拟数学试卷,分享我今天下午的真实感受,我居然掉进一个小坑。
本打算选取部分题来做一个小时,看看限定时间做这份试题的感受。因为一开始我限定了时间,并且也限定一遍过,不检查,我感觉到在写题的时候有一些匆忙,导致在两个题上错了计算,其中一个是因为审题。
从中考整张试卷来看,计算确实也是一个较量,好在我带学生在日常做题时扎实的训练了计算基本功。
我选择的题目是:10,11 ,12,14 ,16,19,20,21,22,23,24题。
11题,用到三角函数计算,相似。16题,直线和双曲线交点的问题,解一元二次方程,也用到了相似三角形。14题,用到正六边形性质,120°等腰三角形腰与底边的数量关系计算。

12题,试卷上的题比较简单。我列出了作业帮上的原型题,大家可以尝试一下。20题,解直角三角形的问题,含有坡度的概念,三角函数计算。有的学生会记不清坡度的具体含义。

19题,是典型的统计问题,扇形统计图和条形统计图的对应关系,用样本估计总体,概率。再次验证了:典型问题,清晰知识点,稳定计算。21题,菱形的判定,勾股定理求线段长,菱形的面积计算。

22题,以圆为背景信息的几何题,数学经常结合光的反射定律来出题。依然是典型知识应用:等腰三角形,直角三角形,垂径定理,30°直角三角形的计算,弧长公式。

23题,这个题放在23题的位置比较简单。初一代数式、不等式、一元一次方程,初二下学期的用一次函数思想解决具体问题。注意计算带有分数,一些学生会升起困难的情绪。

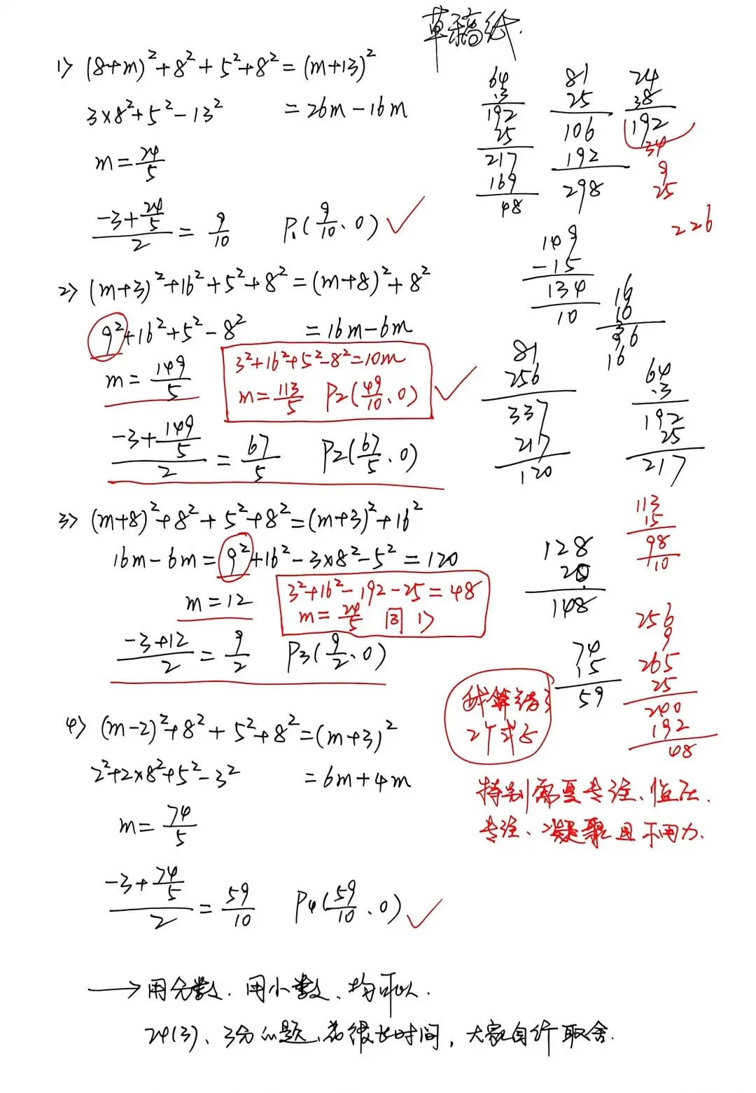
24题,如果说在有限的时间里,做完第一问和第二问,那就可以拿到9分。第三问,很多的计算,只有3分,你算哭了没有?我竟然算错了两个数。这个题的第一问计算隐藏着巧算和巧设置,尤其是在计算顶点D的坐标时。第二问,直接用一个顶点式,形状相同,开口向下,可以直接用顶点式写出抛线的表达式。第三问,需要理清逻辑关系和答题结构之后再计算,用勾股定理的逆定理,有一定的计算量。


给初三学生们一点确认吧,这套模拟试题题目都比较经典,初三的学生日常练习都可以覆盖到,大家在接下来的日子里,1,还是要扎实基础知识点和小的知识结构单元(比如最常见的30°直角三角形的计算,120°等腰三角形的计算,三角函数的计算,勾股定理的计算等等。)在练习中遇见题,每日积累。2,日常做题时注意夯实逻辑思维链条,审题做到系统清晰,结构完整。3,计算。4,非智力因素的制约。比如数学焦虑,认为题目难放弃思考这样的认知干扰,稳定心态。
学了那么久,做了那么多的题,你已经积累了很多,继续在每一个题上夯实上面的4点,临在每个当下。
祝福孩子们亮出自己的宝剑!