



老 纪 数 学 课 堂
上海中考数学专题







▷▷▷
一线三等角是一个常见的相似模型,
指的是有三个等角的顶点
在同一条直线上构成的相似图形。
这个角可以是直角,
也可以是锐角或者钝角。
对于“一线三等角”,
有的地区叫“K型图”,
也有的地区叫“M型图”;
01
思维模型概述



02
类型一 三角齐见,模型自现
1
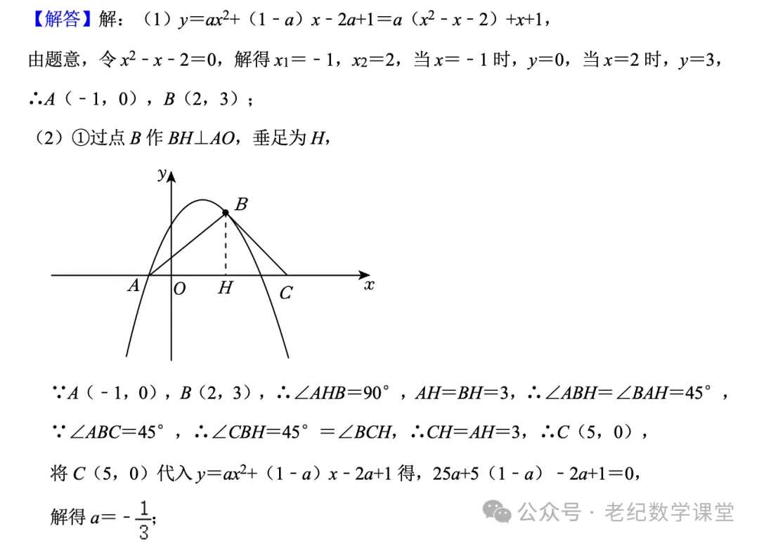
2025年松江一模



2
点评
类型一概述,
都是典型的“一线三等角”试题,
由于模型的框架已搭建,
因此降低了试题的起点.
虽涉及不同的图形变换,
但解法本质一致,
均为利用模型
构建比例式解决问题.
着重考查学生在图形变换过程中
的观察理解、直观 感知、
推理转化等数学能力和思想.
03
类型二 隐藏局部,小修小补
1
2025年黄浦一模




2
点评
类型二概述,图形的共性较明显:
将原有 “一线三等角”模型中的
一角进行了隐藏,
而这就要求学生理性地
从图形的角度进行思考与联想,
发现其中最本质的特征,
挖掘蕴含在图中的几何模型.
较好地体现了对“四基”的
综合考查,提升了学生思维的
层次性和灵活性.
04
类型三 一角独处,两侧添补
1
2024年闵行二模


2
2024年崇明二模



3
2025年宝山一模




4
2025年徐汇一模



5
点评
类型三概述上述几道题虽呈现的背景不同,
但都蕴含知识技能、思想方法、
数学模型于图形之中.
题中的 “特殊角”是解题的关键,
也是搭建模型框架的基础,
更是学生解题思路的来源与“脚手架”.
这几道题实质上都是考查学生
利用模型进行数学思考的能力,
同时也有效地检测了学生
对数学本质属性的把握情况.
05
类型四 线角齐藏,经验来帮
1
2024年静安二模



2
点评
类型四概述本题较好地激发学生
探索的意愿,
促使学生在模拟图形运动的同时,
自发地利用题中所蕴含的特殊角,
展开适当的联想,
寻找图形间的联系,
利用数学解题经验,搭建模型框架.
本题意在寻求突破,体现分层考查,
有着较好的考试信度与效度.
- 总结与展望-
通过上述四种应用类型的后三种,我们不难发现:
对于有些中考试题,“一线三等角”并非直观、
完整地呈现而是在原图中隐藏了局部或全部结构,
因此思维层次随之提升。
若我们能充分利用题中所给的已知角
或挖掘图中隐藏的特殊角,
通过“找角,定线,搭框架”,让模型“现出原形”,
则解题思路便会油然而生,豁然开朗。
在近几年的各地中考试卷中,
逐渐涌现出由同一类基本模型延伸而来的试题,
这些试题虽呈现的背景不尽相同,
但解决问题的方法和思想相通,
这就要求教师在平时的解题教学中,
充分挖掘习题的内在价值,
鼓励学生对问题进行深入研究,
引导并总结出一般化的方法,
同时要让学生尝试利 用在解题过程中所积累的经验,
对试题中所蕴藏的基本模型进行挖掘与提炼.
只有让学生学会自主地反思、推进、提炼,
才能做到“掌握模型,举一反三,通一类题”,
同时通过对一些基本模型和结论的挖 掘,
能更好地弄清问题的本质,
为解决问题搭建好思维的“脚手架”,
进而切实有效地提升学生的解题能力,
发展学生的思维水平.


