





NANSHENANLI

苦练真题试卷
稳定进步成长
2026届上海初三一模数学16区试卷汇编已经整理完啦,家长和老师们如果需要其他区的请联系我(微信在最后)
2026学年奉贤区第一学期九年级数学

勤学苦练 踏平前路







逆水行舟 不进则退





赋能



成长 变强 绝境 突破











成长


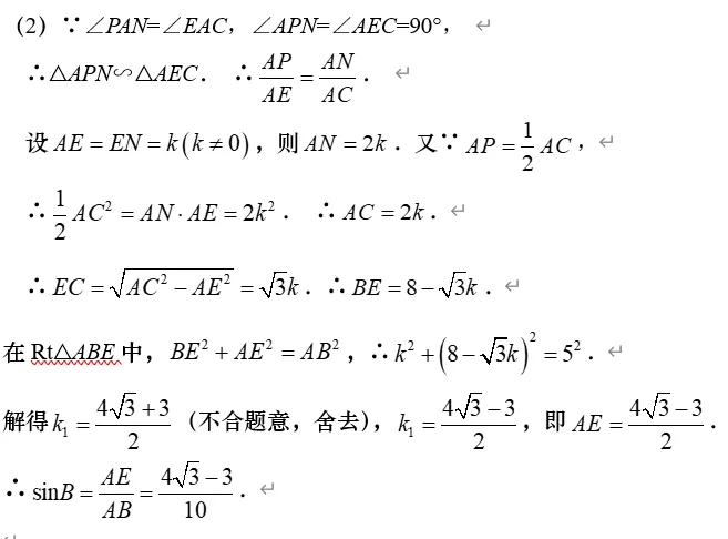
答案解析









后续还有更多学习素材 /真题试卷发放,记得保存转发,千万别错过哦!关注公众号|解锁更多提分干货

文章来源:
四季读书网
版权声明:本文内容由互联网用户自发贡献,该文观点仅代表作者本人。本站仅提供信息存储空间服务,不拥有所有权,不承担相关法律责任。如发现本站有涉嫌抄袭侵权/违法违规的内容, 请发送邮件至23467321@qq.com举报,一经查实,本站将立刻删除;如已特别标注为本站原创文章的,转载时请以链接形式注明文章出处,谢谢!