中考数学提分秘籍,专题突破直击考点!📚
拒绝无效刷题,拆解命题套路,梳理解题逻辑,攻克易错盲区。
高效备考、稳步提分,轻松迎战中考,拿下数学高分!
目录
几何篇
题型一、与三角形结合
题型二、与四边形结合
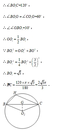
题型三、与圆结合
函数篇
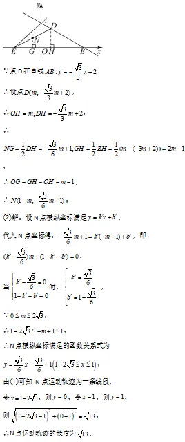
题型一、与一次函数结合
题型二、与反比例函数结合
题型三、与二次函数结合
※
【几何篇】
题型一、与三角形结合


题型二、与四边形结合




题型三、与圆结合






※
【函数篇】
题型一、与一次函数结合




题型二、与反比例函数结合













题型三、与二次函数结合





※更多题型和学习资料,请私信获取
※或添加老师的微信※


欢迎订阅 关注我们
文章来源:
四季读书网
版权声明:本文内容由互联网用户自发贡献,该文观点仅代表作者本人。本站仅提供信息存储空间服务,不拥有所有权,不承担相关法律责任。如发现本站有涉嫌抄袭侵权/违法违规的内容, 请发送邮件至23467321@qq.com举报,一经查实,本站将立刻删除;如已特别标注为本站原创文章的,转载时请以链接形式注明文章出处,谢谢!