


惠州中考体育的时间是每年的3月份
距离现在还有4个多月的时间
现在也是中考体育备考的关键时间
惠州中考体育的标准怎样?
项目评分标准如何?
该如何准备?
不是的盲目跟练。
黄老师将最新的信息整理成最清晰的版本
一文带你看懂满分、及格线的标准在哪里
助你精准发力,冲刺高分!
分值比例
中考体育考试满分为64分,计入中考总成绩,作为高中阶段招生录取的计分科目。
其中,平时考核成绩6分(体育与健康课成绩3分、《国标》测试成绩3分);统一考试成绩58分。
考试内容
平时考核
平时考核由体育与健康课考核和《国家学生体质健康标准》测试组成。
统一考试
必考项目:中长跑800米(女)、1000米(男)。
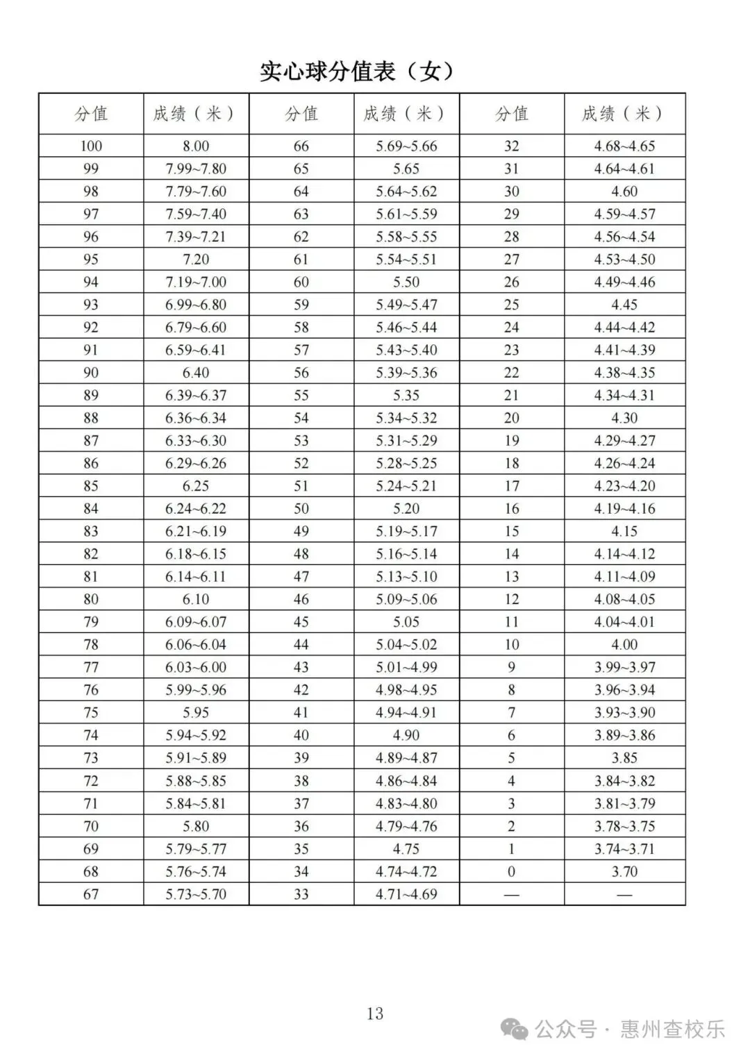
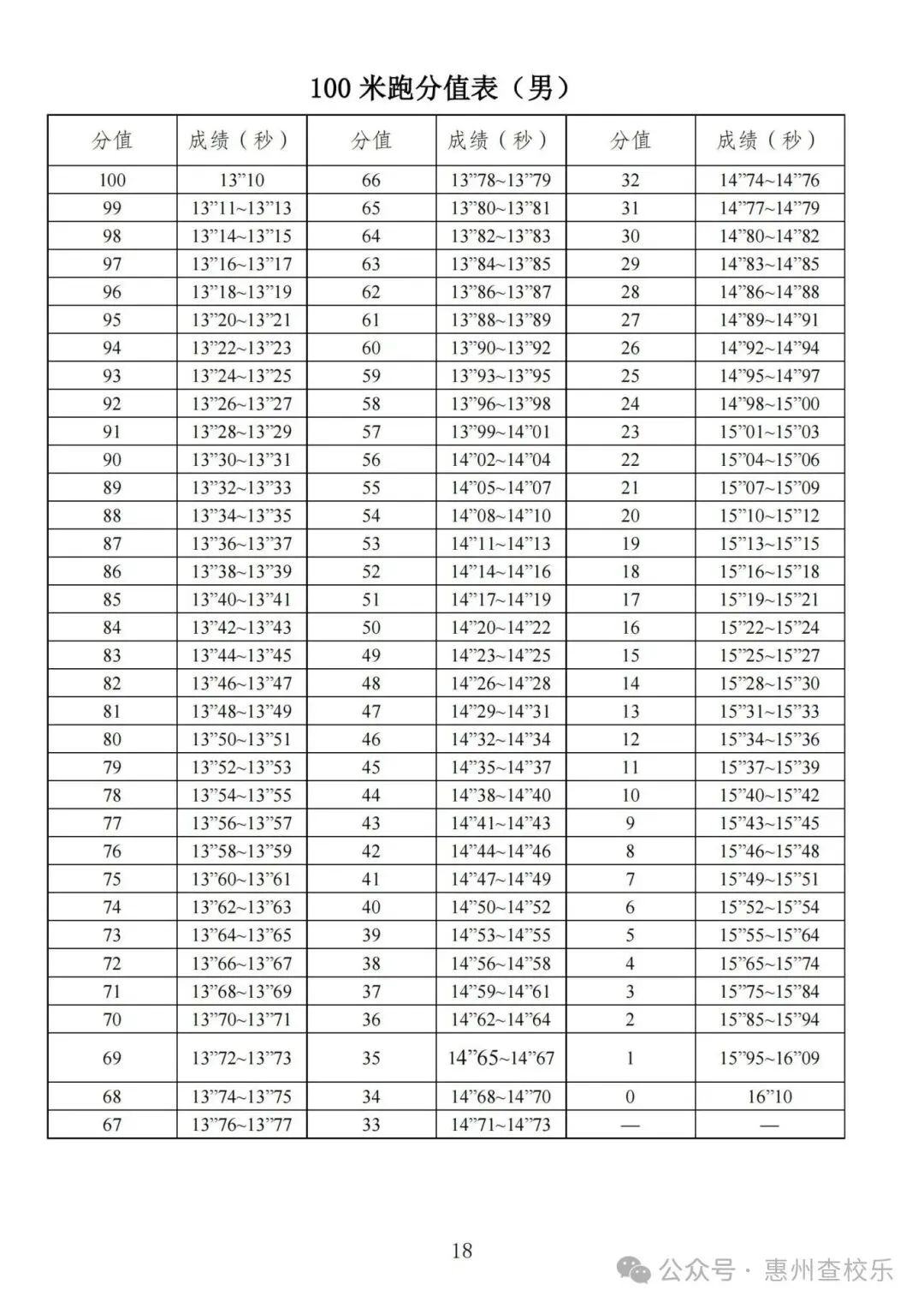
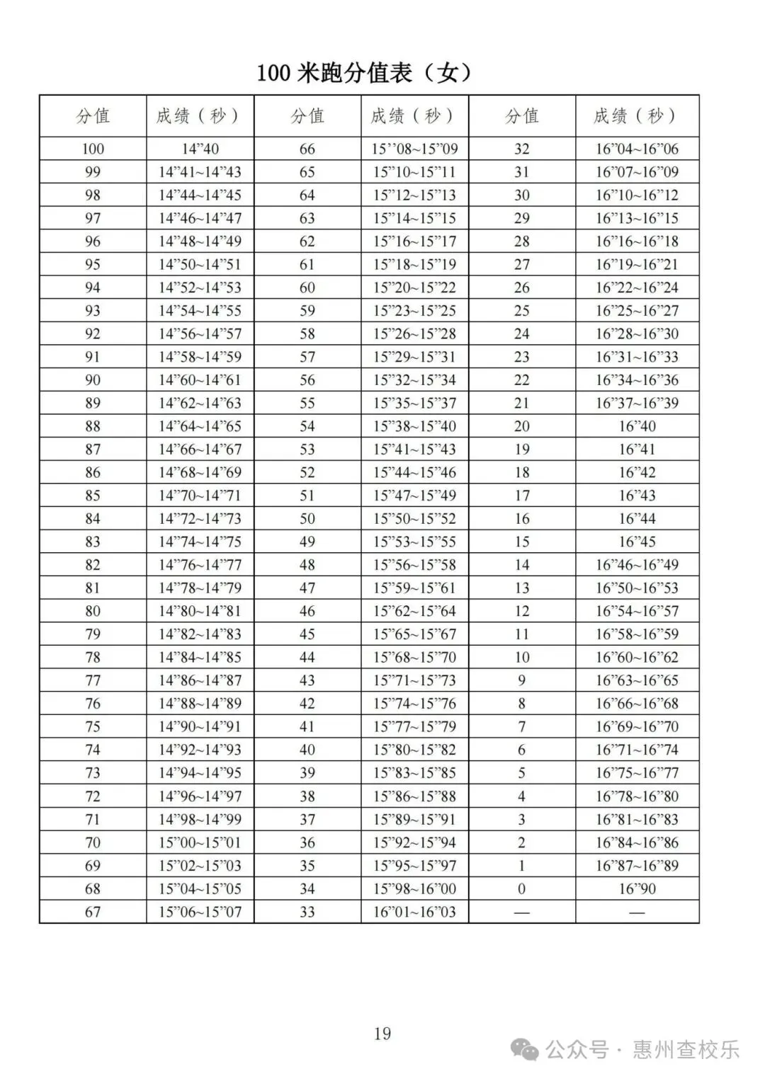
选考项目:足球绕杆射门、篮球半场来回运球上篮、100米跑、一分钟跳绳、立定跳远、投掷实心球、100米游泳(不限泳姿)(学生自选一项)。

成绩计算
统一考试成绩计算公式为:统一考试成绩(满分58分)=【必考项目得分(满分100分)+选考项目得分(满分100分)】÷2×58%。
( 一)场地及器材:必须在 400 米跑道的田径场上进行, 采用电子计时设备,用发令枪或发令旗发令。
(二)考试方法: 起跑姿势不限, 禁止穿钉鞋,其他按田径规则进行。

(一)场地设置(如图所示)

1.采用电子计时设备,在距罚球区线中点 20 米处,划 一 条与罚球区线平行、长 4 米的线段为起点线。
2.从罚球区线中点到运球起始线中点之间,插置标杆 9 支。 第 1 支标杆距离运球起始线 2 米,各标杆间距 2 米;第 9 支标杆距离罚球区线中点 2 米。
3.标杆固定垂直插入地面,地面之上标杆高至少 1.5 米。
4.考试场地、球门尺寸按照足球 11 人制比赛场地设置。
(二)考试方法:
1. 听到考官指令后,考生运球逐个绕过标杆后射门(球越 过第 9 支标杆的标志线后方可射门,否则视为违例)。球越过球门线时计时器停止计时。
2.考生在计时器开启后禁止用手触球、运球漏杆或未射进球门,均不计成绩。
3.考生每人测试二次,取最好成绩为最终成绩。
4.考生须穿运动鞋参加测试。
5.测试用球男女统一标准为 4 号足球。

03
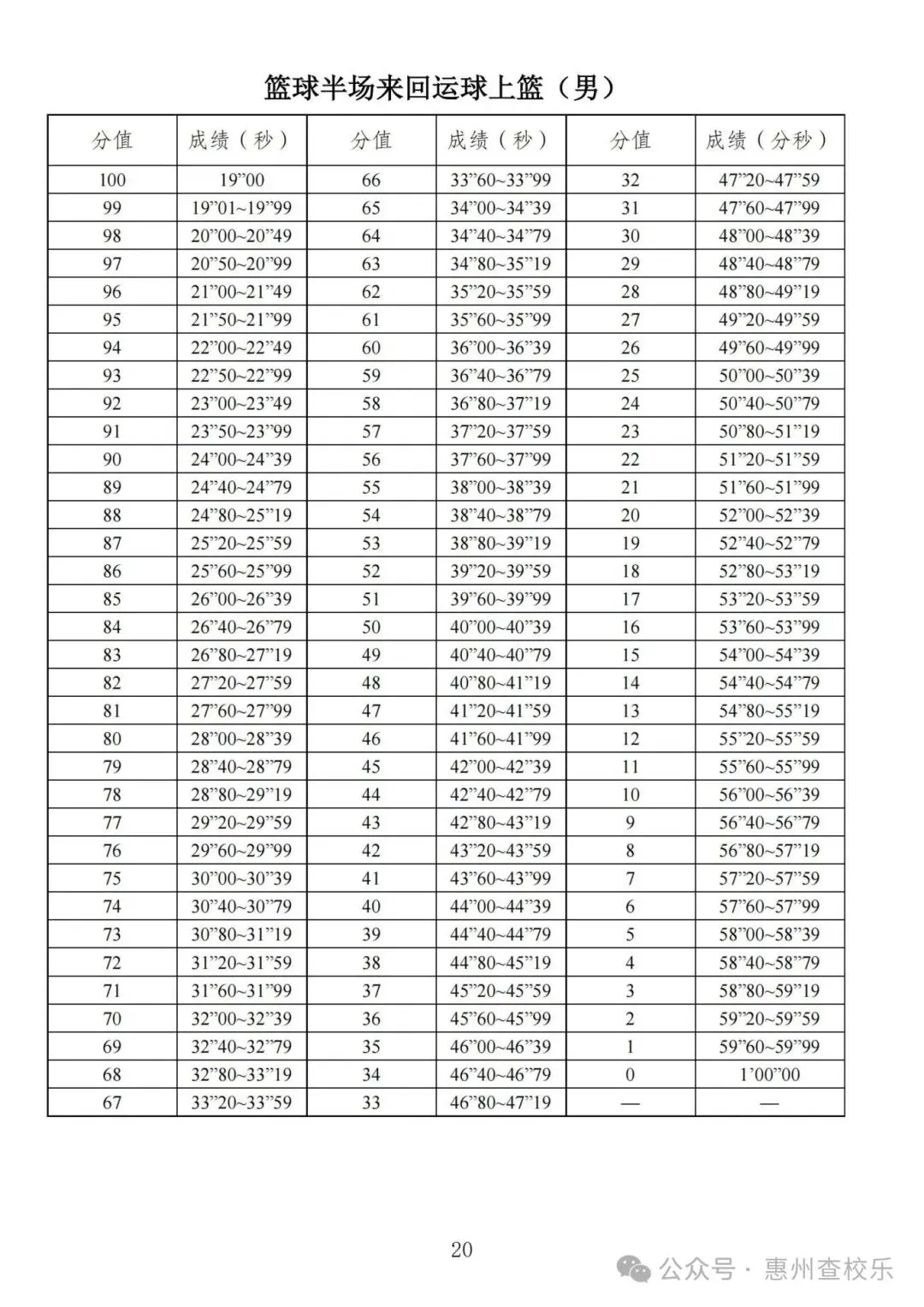
篮球半场来回运球上篮
(一)场地设置: 半场篮球场(场地长 14 米、宽 15 米, 篮筐高度 3.05 米)(如图所示)

(二)考试方法:
采用电子计时设备,监考员发出“预备——开始”的口令 后,开始计时,考生从其中一侧起点(半场中线与边线的交点为圆心,以 50 厘米为半径所划的圆圈)运球到达篮下投篮,投中后运球至另一侧,一脚踏进圆圈后,往回运球上篮,投中 后运球回起点;人和球都到达起点停表;运球过程中,若考生暂时失去对球的控制,但球未出测试场地,考生可自行捡回,在对球失去控制处继续运球,计时不停表。每人测试二次,测试结束后,取最好的一次成绩。测试用球男子为 7 号篮球,女子为 6 号篮球。违例者当次成绩无效。二次均无成绩者,考生该项成绩为零。
下列行为属于违例行为:
1.发令前身体或球触及起点线前的地面;
2.运球折返或冲刺时未越过终点线;
3.运球过程中出现二次运球;
4.投篮不中时,在没有补中的情况下运球到另外一侧;
5.运球过程中双手同时触球。

04
100 米跑
( 一)场地及器材:采用分道跑,考生必须自始至终在各自的分道内完成测试。采用电子计时设备,用发令枪发令。
(二)考试方法:
1.起跑必须采用蹲踞式起跑姿势,并使用考场提供的起跑 器。 凡不按田径竞赛规则要求起跑的考生将被警告或取消考 试资格。考生可穿自备的钉鞋进行考试,但钉鞋必须符合规则规定(鞋钉长度不得超过 9 毫米)。
2.起跑犯规判罚:对于第一次起跑犯规的相关考生给予黄 牌警告,并向该组所有考生亮黄牌警告,对于之后出现起跑犯规的相关考生(不论是一名或多名), 均出示红牌并取消相关考生的本项目考试资格。
3.每名考生只有一次考试机会。

05
原地投掷实心球
( 一)场地及器材: 采用电子仪器测量, 在 20 米长、 6 米宽的平地进行。实心球球体直径:14 -14.5 厘米;重量:男、女生均为 2 公斤±20 克;球体为生胶铸造;球体内不得有滚动物。
(二)动作规格: 投掷前,原地两脚前后或左右开立,身 体正对投掷方向。双手举球至头上方稍后仰,双肩与起掷线平行,原地双手用力把球掷向前方。球出手时双肩须与起掷线平行,不得踩线或过线投掷。
(三)考试方法:在投掷区划一条白线为起掷线, 受试者站在起掷线后。每人连续投掷三次,取其中最远一次成绩。记录以米为单位,取两位小数,丈量起掷线后沿至球着地点后沿 之间的垂直距离。为了准确丈量成绩,应有专人负责观察实心球着地点。丈量及登记时,均要唱出成绩。

06
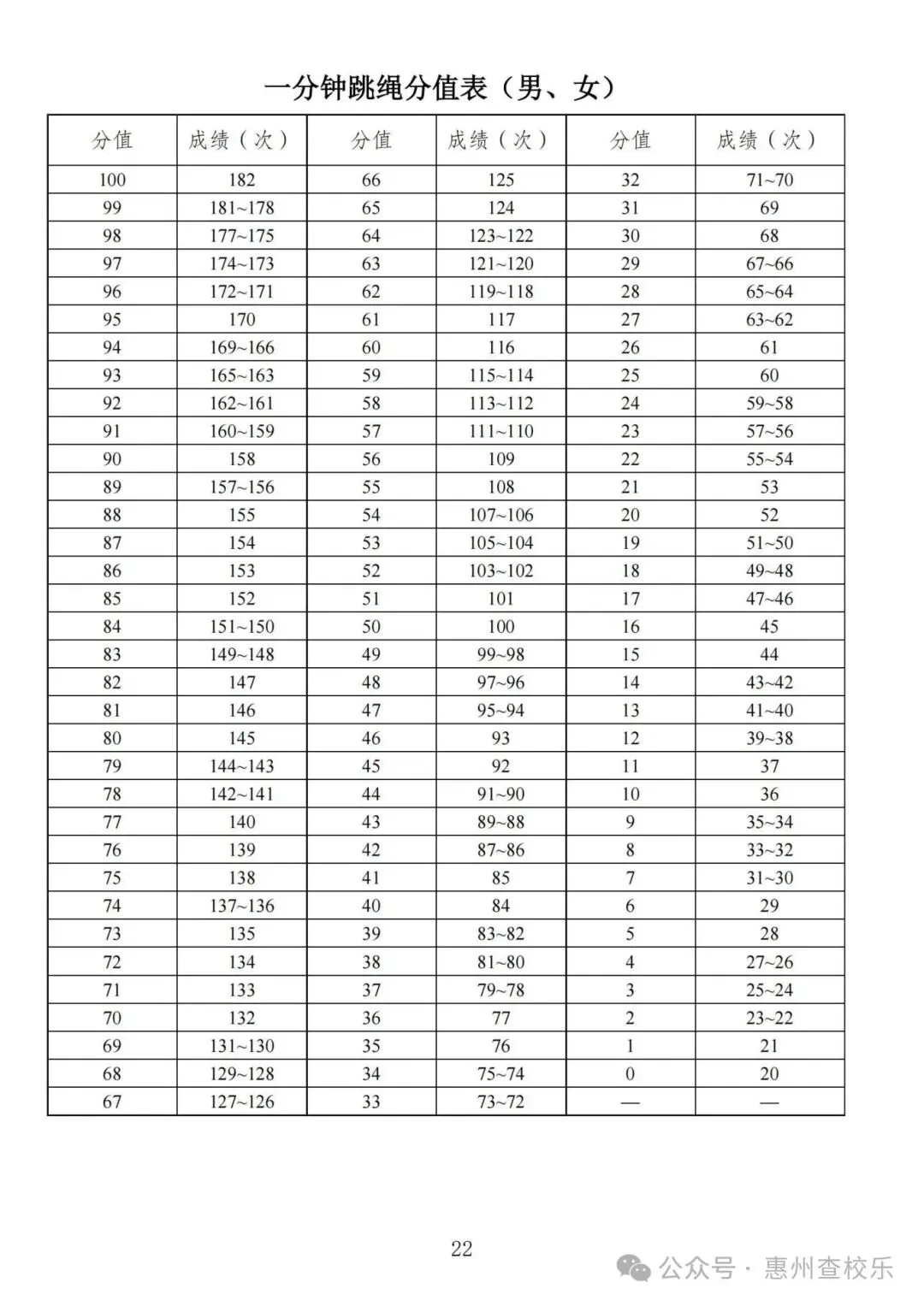
一分钟跳绳
( 一 )场地器材: 在平坦地面进行,采用自动计数跳绳。
(二)动作规格:单或双脚均可,每跳一次摇绳须经过头、 脚一次。
(三)考试方法:将自动计数跳绳开至计数状态,监考员 发出“预备——开始”的口令, 同时计时,记录一分钟内所完 成次数,并唱读成绩。每人共可跳两次,取其中成绩最好的一次。

07
100 米游泳(不限泳姿)
( 一)场地器材: 考试场地为室外或室内 50 米标准游泳池,根据参加考试的人数分为若干泳道,泳道之间用泳道线标记,配备电子计时设备、发令枪,考点全覆盖视频监控系统。
(二)动作规格:考试不限泳姿,考生可用任何泳姿游完全程。
(三)考试方法:每名考生只有一次考试机会,考试时考生须穿着不透明泳装并佩戴泳帽,可选择佩戴泳镜,禁止携带游泳辅助设备(如手蹼、脚蹼、泳圈等)进入考点。考生在泳池出发端水中出发, 出发前保持身体触壁并处于静止状态,听到“出发”信号后蹬离池壁开始游进。出发 15 米后身体必须有一部分露出水面,考生须在规定泳道保持连续游进,途中不得脚踩池底、扒扶池壁或水线。转身时允许身体任何部位在水上或水下触及池壁,用脚蹬离池壁继续游进,转身动作须连贯,不得停顿。游至终点时,身体任一部位触及池壁即为完成考试。考试时当场报出成绩并予以登记。
(四)考试中出现以下三种犯规情况之一,成绩无效:
1.游进和转身时身体任一部分触及池底;
2.游进和转身时扒扶池壁或水线;
3.越过水线或妨碍他人。

08
立定跳远
( 一 )场地:电子仪器所要求场地或沙坑。
1.使用电子仪器测量时,按照电子仪器所要求场地和提供的塑胶防滑跳板起跳、测试。
2.使用的沙与地面齐平。起跳板采用塑胶防滑跳板或坚固木板,长 100 或 122 厘米,宽 20 厘米,木板厚度不得少于 6 厘米,塑胶防滑跳板面上的塑胶要紧粘在木板上,不得用钉固定,厚度不得少于 0.7 厘米,不超过 1.3 厘米(不得采用弹性过大的纯塑胶起跳板)。起跳板埋入地下,与地面齐平。起跳板前沿与沙坑近端不得少于 30 厘米。
(二)动作规格:两脚自然平行开立站在起跳线后,脚尖不得踩线,原地两脚同时起跳。
(三)考试方法:每人连续试跳三次,丈量起跳线后沿至身体着地最近点后沿的垂直距离,取其中最远一次的成绩。不得穿钉鞋和胶粒底鞋,可采用胶鞋或赤脚起跳。登记成绩时以米为单位,取两位小数。丈量及登记时,均要唱读成绩。
















🔸END🔸
▍部分图文来源:网络▍免责声明:本图文素材仅供免费学习交流之用,版权归原作者所有,若有侵权,请联系我们删除



查询院校录取分可以在【惠州择校联】小程序噢
