伙伴们好,我是nouvelle vie。
(早起无聊)
笔者所写的所有有关强基有关的解析,真的真的都特别适合高考数学成绩不理想的伙伴去好好思考,同时自己也应独立思考。
如果轻描淡写的解析和别人的述说不能让其祛魅,那我们就应该亲自上手感受难度。如果读者没有对其祛魅,认为自身水平看不懂试题和解析也应该做。看不懂解析是笔者的问题,说明笔者的表述和理解力都有待提高;若认为自己水平不足那更应尝试总是有一点思路的,在没去祛魅的情况下,这种灵光反而却更激励人继续向前。总而言之,对于这种事先走会再看看路是不会错的。
至于对于高考的实际帮助就因人而异了。





























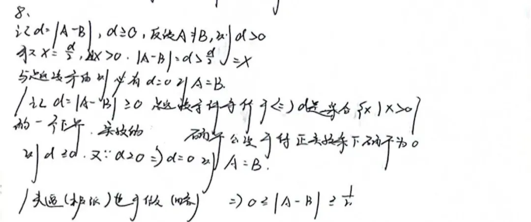
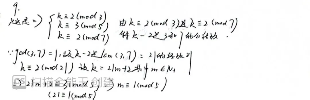
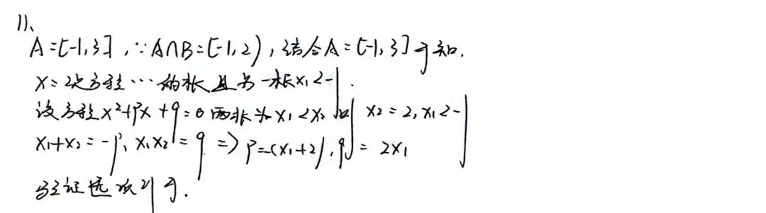
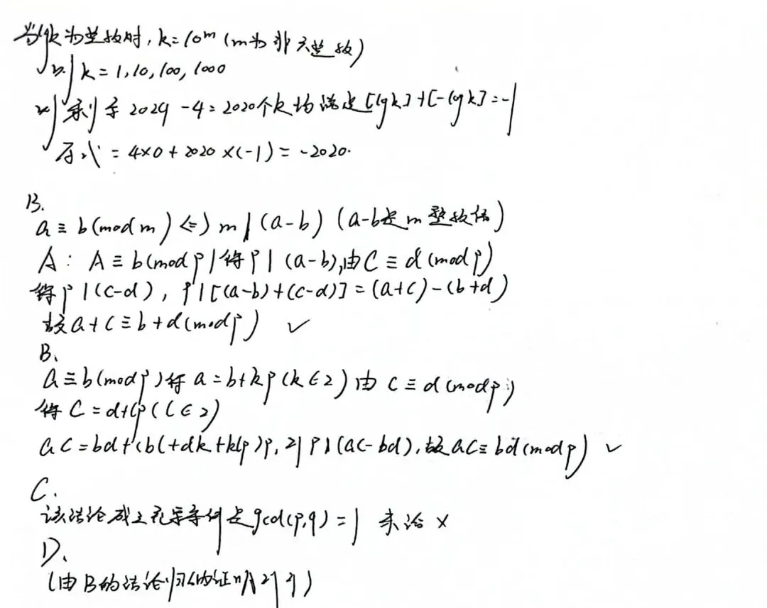
强基:
“35分钟之内你一定可以完成本卷!”2025中国科技大学数学强基试卷(保姆式解析)
【好题快报】~“20分数学水平的小伙伴也会做这道厦门大学的强基试题!”
震惊!2025南京大学数学强基试题原来初中生也可以完成(保姆式评析)
【好题快报】~“这道2022清华强基的题简单且有趣”~每个高中生都应该学会!(保姆式讲解)
【好题快报】“每个高中生都应该学会的题”~2025东南大学强基 q5
做对本卷“离山东大学数学系”又近了一小步!~2025山东大学数学强基试卷(个人评析)
20分钟带你完成2024年中科大的数学强基试卷(保姆式评析)