2025年<完整版>真题来袭!26考前必练!!!

四季读书网 11 0
2025年<完整版>真题来袭!26考前必练!!!
2025年<完整版>真题来袭!26考前必练!!! 第1张真题来袭!26考前必练!!!-第1张图片-四季读书网" title="2025年<完整版>真题来袭!26考前必练!!!-第1张图片-四季读书网" />
2026年贵州专升本文化课考试即将开始,希望各位参加考试的同学们都能如愿上岸,我们上岸教育的老师为大家整理了2025年的部分真题还原及答案解析,如有错误以考试试卷为准哦,先来看看吧~
大一大二升本人可以直接扫码领取真题文档↓
2025年<完整版>真题来袭!26考前必练!!! 第2张真题来袭!26考前必练!!!-第2张图片-四季读书网" title="2025年<完整版>真题来袭!26考前必练!!!-第2张图片-四季读书网" />

扫码免费领取

2025年<完整版>真题来袭!26考前必练!!! 第3张真题来袭!26考前必练!!!-第3张图片-四季读书网" title="2025年<完整版>真题来袭!26考前必练!!!-第3张图片-四季读书网" />

2025 直击真题

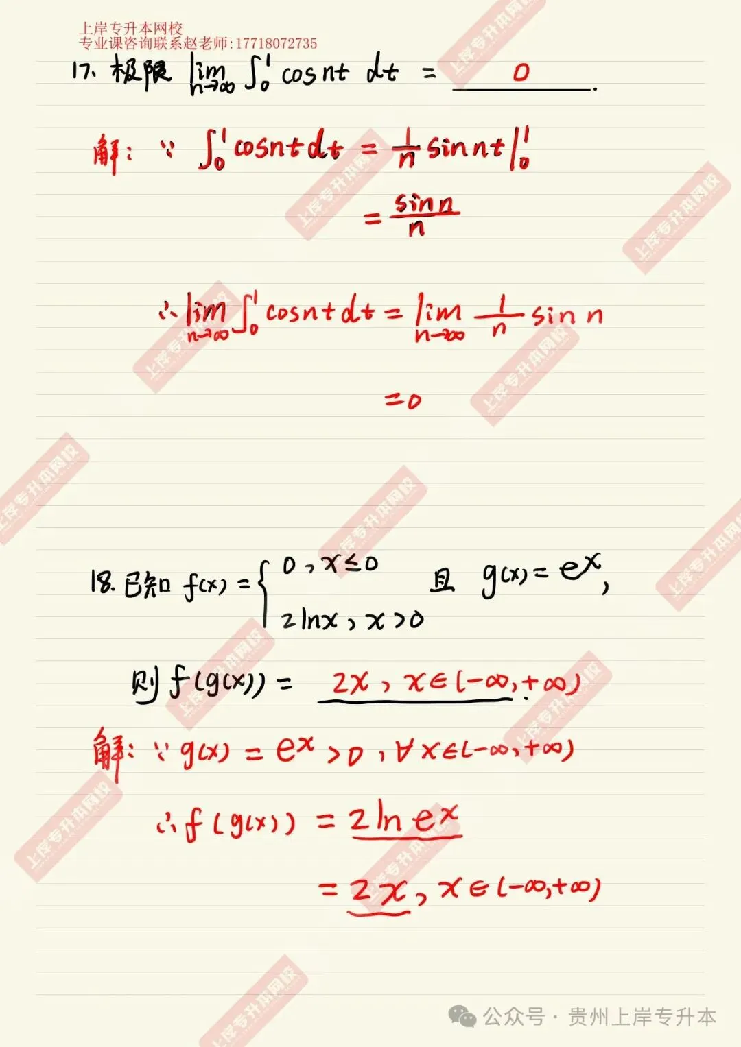
《高等数学》
金榜题名,一定上岸
2025年<完整版>真题来袭!26考前必练!!! 第4张真题来袭!26考前必练!!!-第4张图片-四季读书网" title="2025年<完整版>真题来袭!26考前必练!!!-第4张图片-四季读书网" />
2025年<完整版>真题来袭!26考前必练!!! 第5张真题来袭!26考前必练!!!-第5张图片-四季读书网" title="2025年<完整版>真题来袭!26考前必练!!!-第5张图片-四季读书网" />
2025年<完整版>真题来袭!26考前必练!!! 第6张真题来袭!26考前必练!!!-第6张图片-四季读书网" title="2025年<完整版>真题来袭!26考前必练!!!-第6张图片-四季读书网" />
2025年<完整版>真题来袭!26考前必练!!! 第7张真题来袭!26考前必练!!!-第7张图片-四季读书网" title="2025年<完整版>真题来袭!26考前必练!!!-第7张图片-四季读书网" />
2025年<完整版>真题来袭!26考前必练!!! 第8张真题来袭!26考前必练!!!-第8张图片-四季读书网" title="2025年<完整版>真题来袭!26考前必练!!!-第8张图片-四季读书网" />
2025年<完整版>真题来袭!26考前必练!!! 第9张真题来袭!26考前必练!!!-第9张图片-四季读书网" title="2025年<完整版>真题来袭!26考前必练!!!-第9张图片-四季读书网" />
2025年<完整版>真题来袭!26考前必练!!! 第10张真题来袭!26考前必练!!!-第10张图片-四季读书网" title="2025年<完整版>真题来袭!26考前必练!!!-第10张图片-四季读书网" />
2025年<完整版>真题来袭!26考前必练!!! 第11张真题来袭!26考前必练!!!-第11张图片-四季读书网" title="2025年<完整版>真题来袭!26考前必练!!!-第11张图片-四季读书网" />
2025年<完整版>真题来袭!26考前必练!!! 第12张真题来袭!26考前必练!!!-第12张图片-四季读书网" title="2025年<完整版>真题来袭!26考前必练!!!-第12张图片-四季读书网" />
2025年<完整版>真题来袭!26考前必练!!! 第13张真题来袭!26考前必练!!!-第13张图片-四季读书网" title="2025年<完整版>真题来袭!26考前必练!!!-第13张图片-四季读书网" />
2025年<完整版>真题来袭!26考前必练!!! 第14张真题来袭!26考前必练!!!-第14张图片-四季读书网" title="2025年<完整版>真题来袭!26考前必练!!!-第14张图片-四季读书网" />
2025年<完整版>真题来袭!26考前必练!!! 第15张真题来袭!26考前必练!!!-第15张图片-四季读书网" title="2025年<完整版>真题来袭!26考前必练!!!-第15张图片-四季读书网" />
2025年<完整版>真题来袭!26考前必练!!! 第16张真题来袭!26考前必练!!!-第16张图片-四季读书网" title="2025年<完整版>真题来袭!26考前必练!!!-第16张图片-四季读书网" />

左右滑动,查看更多

2025 直击真题
《大学英语》
金榜题名,一定上岸
2025年<完整版>真题来袭!26考前必练!!! 第17张真题来袭!26考前必练!!!-第17张图片-四季读书网" title="2025年<完整版>真题来袭!26考前必练!!!-第17张图片-四季读书网" />
2025年<完整版>真题来袭!26考前必练!!! 第18张真题来袭!26考前必练!!!-第18张图片-四季读书网" title="2025年<完整版>真题来袭!26考前必练!!!-第18张图片-四季读书网" />
2025年<完整版>真题来袭!26考前必练!!! 第19张真题来袭!26考前必练!!!-第19张图片-四季读书网" title="2025年<完整版>真题来袭!26考前必练!!!-第19张图片-四季读书网" />
2025年<完整版>真题来袭!26考前必练!!! 第20张真题来袭!26考前必练!!!-第20张图片-四季读书网" title="2025年<完整版>真题来袭!26考前必练!!!-第20张图片-四季读书网" />
2025年<完整版>真题来袭!26考前必练!!! 第21张真题来袭!26考前必练!!!-第21张图片-四季读书网" title="2025年<完整版>真题来袭!26考前必练!!!-第21张图片-四季读书网" />
2025年<完整版>真题来袭!26考前必练!!! 第22张真题来袭!26考前必练!!!-第22张图片-四季读书网" title="2025年<完整版>真题来袭!26考前必练!!!-第22张图片-四季读书网" />
2025年<完整版>真题来袭!26考前必练!!! 第23张真题来袭!26考前必练!!!-第23张图片-四季读书网" title="2025年<完整版>真题来袭!26考前必练!!!-第23张图片-四季读书网" />
2025年<完整版>真题来袭!26考前必练!!! 第24张真题来袭!26考前必练!!!-第24张图片-四季读书网" title="2025年<完整版>真题来袭!26考前必练!!!-第24张图片-四季读书网" />
2025年<完整版>真题来袭!26考前必练!!! 第25张真题来袭!26考前必练!!!-第25张图片-四季读书网" title="2025年<完整版>真题来袭!26考前必练!!!-第25张图片-四季读书网" />
2025年<完整版>真题来袭!26考前必练!!! 第26张真题来袭!26考前必练!!!-第26张图片-四季读书网" title="2025年<完整版>真题来袭!26考前必练!!!-第26张图片-四季读书网" />
2025年<完整版>真题来袭!26考前必练!!! 第27张真题来袭!26考前必练!!!-第27张图片-四季读书网" title="2025年<完整版>真题来袭!26考前必练!!!-第27张图片-四季读书网" />

左右滑动,查看更多

2025 直击真题

《大学语文》
金榜题名,一定上岸
2025年<完整版>真题来袭!26考前必练!!! 第28张真题来袭!26考前必练!!!-第28张图片-四季读书网" title="2025年<完整版>真题来袭!26考前必练!!!-第28张图片-四季读书网" />
2025年<完整版>真题来袭!26考前必练!!! 第29张真题来袭!26考前必练!!!-第29张图片-四季读书网" title="2025年<完整版>真题来袭!26考前必练!!!-第29张图片-四季读书网" />
2025年<完整版>真题来袭!26考前必练!!! 第30张真题来袭!26考前必练!!!-第30张图片-四季读书网" title="2025年<完整版>真题来袭!26考前必练!!!-第30张图片-四季读书网" />
2025年<完整版>真题来袭!26考前必练!!! 第31张真题来袭!26考前必练!!!-第31张图片-四季读书网" title="2025年<完整版>真题来袭!26考前必练!!!-第31张图片-四季读书网" />
2025年<完整版>真题来袭!26考前必练!!! 第32张真题来袭!26考前必练!!!-第32张图片-四季读书网" title="2025年<完整版>真题来袭!26考前必练!!!-第32张图片-四季读书网" />
2025年<完整版>真题来袭!26考前必练!!! 第33张真题来袭!26考前必练!!!-第33张图片-四季读书网" title="2025年<完整版>真题来袭!26考前必练!!!-第33张图片-四季读书网" />
2025年<完整版>真题来袭!26考前必练!!! 第34张真题来袭!26考前必练!!!-第34张图片-四季读书网" title="2025年<完整版>真题来袭!26考前必练!!!-第34张图片-四季读书网" />
2025年<完整版>真题来袭!26考前必练!!! 第35张真题来袭!26考前必练!!!-第35张图片-四季读书网" title="2025年<完整版>真题来袭!26考前必练!!!-第35张图片-四季读书网" />
2025年<完整版>真题来袭!26考前必练!!! 第36张真题来袭!26考前必练!!!-第36张图片-四季读书网" title="2025年<完整版>真题来袭!26考前必练!!!-第36张图片-四季读书网" />
2025年<完整版>真题来袭!26考前必练!!! 第37张真题来袭!26考前必练!!!-第37张图片-四季读书网" title="2025年<完整版>真题来袭!26考前必练!!!-第37张图片-四季读书网" />
2025年<完整版>真题来袭!26考前必练!!! 第38张真题来袭!26考前必练!!!-第38张图片-四季读书网" title="2025年<完整版>真题来袭!26考前必练!!!-第38张图片-四季读书网" />
2025年<完整版>真题来袭!26考前必练!!! 第39张真题来袭!26考前必练!!!-第39张图片-四季读书网" title="2025年<完整版>真题来袭!26考前必练!!!-第39张图片-四季读书网" />
2025年<完整版>真题来袭!26考前必练!!! 第40张真题来袭!26考前必练!!!-第40张图片-四季读书网" title="2025年<完整版>真题来袭!26考前必练!!!-第40张图片-四季读书网" />
2025年<完整版>真题来袭!26考前必练!!! 第41张真题来袭!26考前必练!!!-第41张图片-四季读书网" title="2025年<完整版>真题来袭!26考前必练!!!-第41张图片-四季读书网" />
2025年<完整版>真题来袭!26考前必练!!! 第42张真题来袭!26考前必练!!!-第42张图片-四季读书网" title="2025年<完整版>真题来袭!26考前必练!!!-第42张图片-四季读书网" />
2025年<完整版>真题来袭!26考前必练!!! 第43张真题来袭!26考前必练!!!-第43张图片-四季读书网" title="2025年<完整版>真题来袭!26考前必练!!!-第43张图片-四季读书网" />
2025年<完整版>真题来袭!26考前必练!!! 第44张真题来袭!26考前必练!!!-第44张图片-四季读书网" title="2025年<完整版>真题来袭!26考前必练!!!-第44张图片-四季读书网" />
2025年<完整版>真题来袭!26考前必练!!! 第45张真题来袭!26考前必练!!!-第45张图片-四季读书网" title="2025年<完整版>真题来袭!26考前必练!!!-第45张图片-四季读书网" />
2025年<完整版>真题来袭!26考前必练!!! 第46张真题来袭!26考前必练!!!-第46张图片-四季读书网" title="2025年<完整版>真题来袭!26考前必练!!!-第46张图片-四季读书网" />
2025年<完整版>真题来袭!26考前必练!!! 第47张真题来袭!26考前必练!!!-第47张图片-四季读书网" title="2025年<完整版>真题来袭!26考前必练!!!-第47张图片-四季读书网" />
2025年<完整版>真题来袭!26考前必练!!! 第48张真题来袭!26考前必练!!!-第48张图片-四季读书网" title="2025年<完整版>真题来袭!26考前必练!!!-第48张图片-四季读书网" />
2025年<完整版>真题来袭!26考前必练!!! 第49张真题来袭!26考前必练!!!-第49张图片-四季读书网" title="2025年<完整版>真题来袭!26考前必练!!!-第49张图片-四季读书网" />
2025年<完整版>真题来袭!26考前必练!!! 第50张真题来袭!26考前必练!!!-第50张图片-四季读书网" title="2025年<完整版>真题来袭!26考前必练!!!-第50张图片-四季读书网" />
2025年<完整版>真题来袭!26考前必练!!! 第51张真题来袭!26考前必练!!!-第51张图片-四季读书网" title="2025年<完整版>真题来袭!26考前必练!!!-第51张图片-四季读书网" />
2025年<完整版>真题来袭!26考前必练!!! 第52张真题来袭!26考前必练!!!-第52张图片-四季读书网" title="2025年<完整版>真题来袭!26考前必练!!!-第52张图片-四季读书网" />
2025年<完整版>真题来袭!26考前必练!!! 第53张真题来袭!26考前必练!!!-第53张图片-四季读书网" title="2025年<完整版>真题来袭!26考前必练!!!-第53张图片-四季读书网" />

左右滑动,查看更多

“读书这条路,我走得并不快,但我始终相信,人生漫漫,自有答案。”

各位,远大前程,我们自己挣!
愿你在追梦的路上,坚定信念,勇敢前行。
祝你成功上岸,前程似锦!
2025年<完整版>真题来袭!26考前必练!!! 第54张真题来袭!26考前必练!!!-第54张图片-四季读书网" title="2025年<完整版>真题来袭!26考前必练!!!-第54张图片-四季读书网" />
2025年<完整版>真题来袭!26考前必练!!! 第55张真题来袭!26考前必练!!!-第55张图片-四季读书网" title="2025年<完整版>真题来袭!26考前必练!!!-第55张图片-四季读书网" />
2025年<完整版>真题来袭!26考前必练!!! 第56张真题来袭!26考前必练!!!-第56张图片-四季读书网" title="2025年<完整版>真题来袭!26考前必练!!!-第56张图片-四季读书网" />
上岸教育针对
2026年以及2027年
贵州专升本推出全新文化课程
志愿填报课程,如有需求,可扫码咨询
2025年<完整版>真题来袭!26考前必练!!! 第57张真题来袭!26考前必练!!!-第57张图片-四季读书网" title="2025年<完整版>真题来袭!26考前必练!!!-第57张图片-四季读书网" />
2025年<完整版>真题来袭!26考前必练!!! 第58张真题来袭!26考前必练!!!-第58张图片-四季读书网" title="2025年<完整版>真题来袭!26考前必练!!!-第58张图片-四季读书网" />

往期热点新闻,点击图片即可跳转

2025年<完整版>真题来袭!26考前必练!!! 第59张真题来袭!26考前必练!!!-第59张图片-四季读书网" title="2025年<完整版>真题来袭!26考前必练!!!-第59张图片-四季读书网" />
2025年<完整版>真题来袭!26考前必练!!! 第60张真题来袭!26考前必练!!!-第60张图片-四季读书网" title="2025年<完整版>真题来袭!26考前必练!!!-第60张图片-四季读书网" />
2025年<完整版>真题来袭!26考前必练!!! 第61张真题来袭!26考前必练!!!-第61张图片-四季读书网" title="2025年<完整版>真题来袭!26考前必练!!!-第61张图片-四季读书网" />
2025年<完整版>真题来袭!26考前必练!!! 第62张真题来袭!26考前必练!!!-第62张图片-四季读书网" title="2025年<完整版>真题来袭!26考前必练!!!-第62张图片-四季读书网" />2025年<完整版>真题来袭!26考前必练!!! 第63张真题来袭!26考前必练!!!-第63张图片-四季读书网" title="2025年<完整版>真题来袭!26考前必练!!!-第63张图片-四季读书网" />
持续分享关于专科生提升自我的方法,记得关注上岸君哟!!!
(点赞和在看  避免错过下一篇)
图片来源于网络侵权请联系

点击了解更多专升本备考策略

关注我们,获取更多教育资料

抱歉,评论功能暂时关闭!