2025年安徽省阜阳市部分中考数学模拟试卷(6月份)
一、选择题(本大题共10小题,每小题4分,满分40分),每小题都给出A、B、C、D四个选项,其中只有一个是正确的.
1.下列各数中是负整数的是( )
A.0B.2C.﹣2.5D.﹣5
2.2024年合肥市生产总值(GDP)约13500亿元,按不变价格计算,同比增长6.1%.其中13500亿用科学记数法表示为( )
A.1.35×1012B.1.35×1011
C.135×1010D.0.135×1013
3.圆柱切去一块后的几何体如图所示,其左视图是( )


4.计算(﹣2a2b3)3,结果正确的是( )
A.﹣2a5b6B.﹣2a6b9C.﹣8a5b6D.﹣8a6b9
5.3月14日是国际数学节,某科技兴趣小组在今年的国际数学节策划了三个富有科技感的挑战活动,分别是“编程大冒险”、“AI算法解谜”和“机器人搭建赛”.小组中的成员小美和小宇每人都将随机选择参加其中一个活动,那么他们恰好选到同一个活动的概率是( )
A.
B.
C.
D.
6.如图,△ABC中,作∠BCD交边AB于点D,使∠BCD=∠A,若AD=3,BD=4,则BC的长为( )

A.
B.5C.
D.6
7.如图,在同一平面直角坐标系中,一次函数y=k1x+b1与y=k2x+b2(其中k1•k2≠0,k1,k2,b1,b2为常数)的图象分别为直线l1,l2.下列结论正确的是( )

A.b1+b2<0B.k1•k2>0C.2k2+b2>0D.k1+k2<0
8.如图,AB为⊙O的弦,OA=4,OC⊥AB交⊙O于点C,点D为⊙O上一点,∠BDC=30°,则
的长度是( )

A.
B.πC.
D.
9.已知两个不相等的实数a,b满足不等式a+b≥2,若a2+b2=8,令S=a+b,则S的取值范围是( )
A.
B.2≤S<4C.
D.
10.如图,在△ABC中,∠ABC=90°,∠C=30°,AB=2,P是AC上一动点,连接BP,以BP为直角边向PB上方作△PBQ,使∠PBQ=90°,∠BPQ=30°,作BH⊥PQ于点H,连接AH,则AH的最小值为( )

A.1B.
C.
D.
二、填空题(本大题共4小题,每小题5分,满分20分)
11.不等式2x﹣1≤3的解集为 .
12.已知方程x2﹣6x+k=0有两个相等的实数根,则k的值为 .
13.如图,在矩形ABCD中,AB=6,AD=4,点P是边AB上一点,连接DP,将△ADP沿DP翻折至△EDP,若PE的延长线经过点C,则AP的长为 .

14.如图,已知抛物线y=ax2+bx过点A(﹣2,﹣2),点B(6,﹣6).
(1)该抛物线的顶点坐标为 .
(2)点C是AB上方抛物线上一动点(不与点A,B重合),连接AC,BC,则△ABC面积的最大值为 .

三、(本大题共2小题,每小题8分,满分16分)
15.计算:
.
16.如图,在由边长为1个单位长度的小正方形组成的网格中建立平面直角坐标系xOy,格点(网格线的交点)A,B,C的坐标分别为(1,3),(1,1),(4,2).
(1)请画出△ABC绕点O逆时针旋转90°的△A′B′C′,并写出点A′的坐标;
(2)画射线AD交BC于点D,使AD平分△ABC的面积,并写出点D的坐标.

四、(本大题共2小题,每小题8分,满分16分)
17.某科研团队打造了一款新型水下探测器,通过对探测器构成材料的分析,整理出以下信息:
总质量 | 3000千克 |
材料构成 | 微晶合金A、金属B、碳纤维强化体C、纳米陶瓷D |
质量关系 | 1.微晶合金A和金属B的含量占总质量的30% 2.碳纤维强化体C的含量是微晶合金A含量的2倍 3.纳米陶瓷D的含量比金属B含量的3倍多50千克 |
问题:求微晶合金A和金属B的质量分别是多少?
18.随着AI技术的快速发展,我国小型无人机和机器狗已进入实用,技术人员进行无人机与机器狗协同训练,空中的无人机P搜索山坡AN上B处的机器狗,当无人机发现机器狗时,无人机距地面AM的高度是400米,观测机器狗的俯角为38°,机器狗B距山脚A点的距离是260米,若山坡的坡度为i=5:12,试求无人机与机器狗之间的距离PB.(精确到1米,参考数据:sin38°≈0.62,cos38°≈0.79,tan38°≈0.78)

五、(本大题共5小题,每小题10分,满分58分)
19.在数学的奇妙世界里,等式就像一座桥梁,连接着不同的数学量.如果一个等式,在所讨论的范围里不是对字母的所有允许值都成立,而是仅当字母满足某些条件时才能使等式成立,这样的等式叫做条件等式.例如4x=20,只有当x=5时,等号两边的值才相等,所以它是条件等式,实际上我们学过的很多方程都属于条件等式.现在让我们研究一个有趣的等式a2+4b=4a+b2,其中a≠b,那么,这个等式成立的条件是什么呢?
【探究之旅】假设该等式成立,先对它进行移项,得到a2﹣4a=b2﹣4b.然后,我们在等式两边同时加上4,这时左边就变成了a2﹣4a+4,根据完全平方公式可以写成(a﹣2)2;右边写成(b﹣2)2.将右边的式子移到左边,再利用平方差公式进一步分解因式,可得① .因为a≠b,所以等式成立的条件应为② .
请将两处空缺①②补充完整;
【实践运用】根据我们刚刚探究得到的结果,我们来玩一个有趣的“等式创造”游戏.大家观察这两个等式:
,仿照这样的思路,补全等式:
=
;
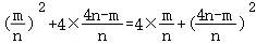
【拓展创新】经过前面的探究和运用,相信大家对这类条件等式有了更深入的理解.现在,我们进入拓展阶段.豆包同学经过思考,推广得到了这样一个等式:
(其中n≠0).请你证明这个等式是否成立.
20.AB是⊙O的直径,弦AC=OA,点D在BC上,点E是CD中点,连结AD分别交OC,OE于点F,G.
(1)求∠EGD的度数;
(2)若CD∥AO,求证:四边形AODC为菱形.

21.综合与实践一周课外阅读时间的调查
【活动情况概述】“书中自有芳华,笔下万里风光”.阅读可以增进人们的知识与视野,培养良好的品格和健全的人格,提高写作能力等.为此,学校数学社团在全校学生中抽查数量相同的男、女生进行课外阅读时间的调查.
【数据整理】经过调查,将收集的数据按下表分成A,B,C,D,E五组,并制作了统计图如下(不完整).
组别 | 阅读时间x(min) |
A | 0≤x<60 |
B | 60≤x<120 |
C | 120≤x<180 |
D | 180≤x<240 |
E | x≥240 |

阅读时间条形统计图

阅读时间扇形统计图
【数据分析】请根据统计图表提供的信息,解答下列问题:
(1)本次共调查了 人,并补全条形统计图;
(2)小张和小王是被抽查学生,小张的阅读时间是被抽查同性别同学阅读时间的中位数,小王的阅读时间也是被抽查同性别同学阅读时间的中位数,且小张的阅读时间高于小王的阅读时间,请你推断小张和小王的性别,并说明理由;
【数据应用】
(3)该校有男生500人,女生400人,求该校学生阅读时间大于或等于180min的人数约有多少人?
22.如图1,在Rt△ABC中,∠ACB=90°,D在AB上,BC=BD,BE⊥CD,垂足为点H,交AC于点E.

(1)求证:△CBH≌△DBH;
(2)如图2,取BC的中点F,连接AF交CD于点G,若FG=2AG.
(ⅰ)求
的值;
(ⅱ)若CF=6,求AE的长.
23.已知在平面直角坐标系中,直线y=kx+3经过点(2,5),与抛物线y=x2+bx+c的对称轴交于点
.
(1)求k,b的值;
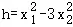
(2)若抛物线y=x2+bx+c与x轴交于(x1,0),(x2,0)且2≤x2﹣x1<9,令
,求h的最大值;
(3)当﹣1≤x≤2时,抛物线y=x2+bx+c与直线y=kx+3有且只有一个公共点,求c的取值范围.
声明:试题解析著作权属菁优网所有,未经书面同意,不得复制发布日期:2026/3/14 21:07:57;用户:mczl58;邮箱:ldwh135@xyh.com;学号:24737059