199管综真题带练 | 2025数学真题【5】(含参考答案、解析)

四季读书网 16 0
199管综真题带练 | 2025数学真题【5】(含参考答案、解析)
199管综真题带练 | 2025数学真题【5】(含参考答案、解析) 第1张

👆扫码进入,3分钟匹配目标院校👆

199管综真题带练 | 2025数学真题【5】(含参考答案、解析) 第2张
【🔥试题来源:2025数学真题
199管综真题带练 | 2025数学真题【5】(含参考答案、解析) 第3张
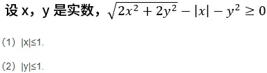
第21题
199管综真题带练 | 2025数学真题【5】(含参考答案、解析) 第4张
A.条件(1)充分,但条件(2)不充分
B.条件(2)充分,但条件(1)不充分
C.条件(1)和条件(2)单独都不充分,但条件(1)和条件(2)联合起来充分
D.条件(1)充分,条件(2)也充分
E.条件(1)和条件(2)单独都不充分,条件(1)和条件(2)联合起来也不充分
【正确答案】A
👉点这里查看解析
199管综真题带练 | 2025数学真题【5】(含参考答案、解析) 第5张
199管综真题带练 | 2025数学真题【5】(含参考答案、解析) 第6张
第22题
pq是常数,若等腰三角形的底和腰的长是方程x2-3px+q=0的两个不同的根,则能确定该三角形。
(1) q2p2.
(2) p2.
A.条件(1)充分,但条件(2)不充分
B.条件(2)充分,但条件(1)不充分
C.条件(1)和条件(2)单独都不充分,但条件(1)和条件(2)联合起来充分
D.条件(1)充分,条件(2)也充分
E.条件(1)和条件(2)单独都不充分,条件(1)和条件(2)联合起来也不充分
【正确答案】A
👉点这里查看解析
199管综真题带练 | 2025数学真题【5】(含参考答案、解析) 第7张
199管综真题带练 | 2025数学真题【5】(含参考答案、解析) 第8张
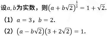
第23题
199管综真题带练 | 2025数学真题【5】(含参考答案、解析) 第9张
A.条件(1)充分,但条件(2)不充分
B.条件(2)充分,但条件(1)不充分
C.条件(1)和条件(2)单独都不充分,但条件(1)和条件(2)联合起来充分
D.条件(1)充分,条件(2)也充分
E.条件(1)和条件(2)单独都不充分,条件(1)和条件(2)联合起来也不充分
【正确答案】B
👉点这里查看解析
199管综真题带练 | 2025数学真题【5】(含参考答案、解析) 第10张
199管综真题带练 | 2025数学真题【5】(含参考答案、解析) 第11张
第24题
已知a1a2a3a4a5为实数,则a1a2a3a4a5成等差数列。
(1) a1+ a5= a2+ a4.
(2) a1+ a5=2 a3.
A.条件(1)充分,但条件(2)不充分
B.条件(2)充分,但条件(1)不充分
C.条件(1)和条件(2)单独都不充分,但条件(1)和条件(2)联合起来充分
D.条件(1)充分,条件(2)也充分
E.条件(1)和条件(2)单独都不充分,条件(1)和条件(2)联合起来也不充分
【正确答案】E
👉点这里查看解析
199管综真题带练 | 2025数学真题【5】(含参考答案、解析) 第12张
199管综真题带练 | 2025数学真题【5】(含参考答案、解析) 第13张
第25题
已知曲线L: y=a(x-1)(x-7),则能确定实数a的值.
(1)L与圆(x-4)2+(y+1)2=10恰有三个交点.
(2)L与圆(x-4)2+(y-4)2=25有四个交点.
A.条件(1)充分,但条件(2)不充分
B.条件(2)充分,但条件(1)不充分
C.条件(1)和条件(2)单独都不充分,但条件(1)和条件(2)联合起来充分
D.条件(1)充分,条件(2)也充分
E.条件(1)和条件(2)单独都不充分,条件(1)和条件(2)联合起来也不充分
【正确答案】C
👉点这里查看解析
199管综真题带练 | 2025数学真题【5】(含参考答案、解析) 第14张
199管综真题带练 | 2025数学真题【5】(含参考答案、解析) 第15张

END

小希为大家准备了在线题库,大量免费真题、模拟题、高频错题,不管是周末还是平时的碎片时间,拿起手机就可以随时随地练习啦!

▼点击进入MBA在线题库
199管综真题带练 | 2025数学真题【5】(含参考答案、解析) 第16张

 -文末福利- 

希赛MBA免费发放| 各类学习资源 |

🍄关注公众号回复关键词可免费下载

回复【1】:管综历年真题

回复【2】:英语考纲词汇

回复【3】:提前面试资料

回复【4】:三秒匹配学校

回复【5】:上课形式学费

🔮希赛MBA资料宝库🔮
⭐择校
科学择校,点击使用希赛择校程序🚀
类型考研英语二管综数学管综逻辑与写作
词汇表/公式

英语大纲5500词汇表纲🚩

英语(二)常考近义词辨析

考研英语(二)历年真题词频统计

管理类联考数学基本公式
管理类联考最难公式

管综写作历年真题范文🙋🏻‍♀️

管综逻辑公式汇总

考点
管理类联考各笔试科目思维导图
题库

希赛管理类联考题库-每日一练

希赛管理类联考题库-真题题库
希赛网是专业的在线职业教育平台,其前身是软件工程专家网,创立于2001年6月8日。在二十多年的发展历程中,希赛网始终致力于帮助用户提升职场竞争力,在培训模式上不断创新,基于人工智能和大数据技术,研发了开放式智能互动学习平台,为用户提供智适应学习方案,提升用户学习效率。

二十多年来,希赛网一直注重教研的投入,目前全职教研团队规模达200多人,主编的图书和教材达一百余种,获得了3项发明专利。希赛网以其专业的教研、教学、服务能力获得了用户与行业的认可,多次荣获中国国际人才交流基金会优秀培训机构、PMI(中国)优秀教育机构、网易教育金翼奖年度公众信赖职业教育品牌、新浪中国教育盛典年度口碑影响力职业培训机构、腾讯回响中国年度影响力在线教育品牌、腾讯教育口碑影响力职业教育品牌、京东教育最具人气品牌奖等荣誉。

编辑:李倩

备考不易,我们一起努力💪

记得右下角给小希“点💗”哦↘️

抱歉,评论功能暂时关闭!