
高考风向标的武汉三月调考,为期三天,这是高考前最关键的一次全真模拟,也是检验复习成果、找准冲刺方向的重要一战。

01
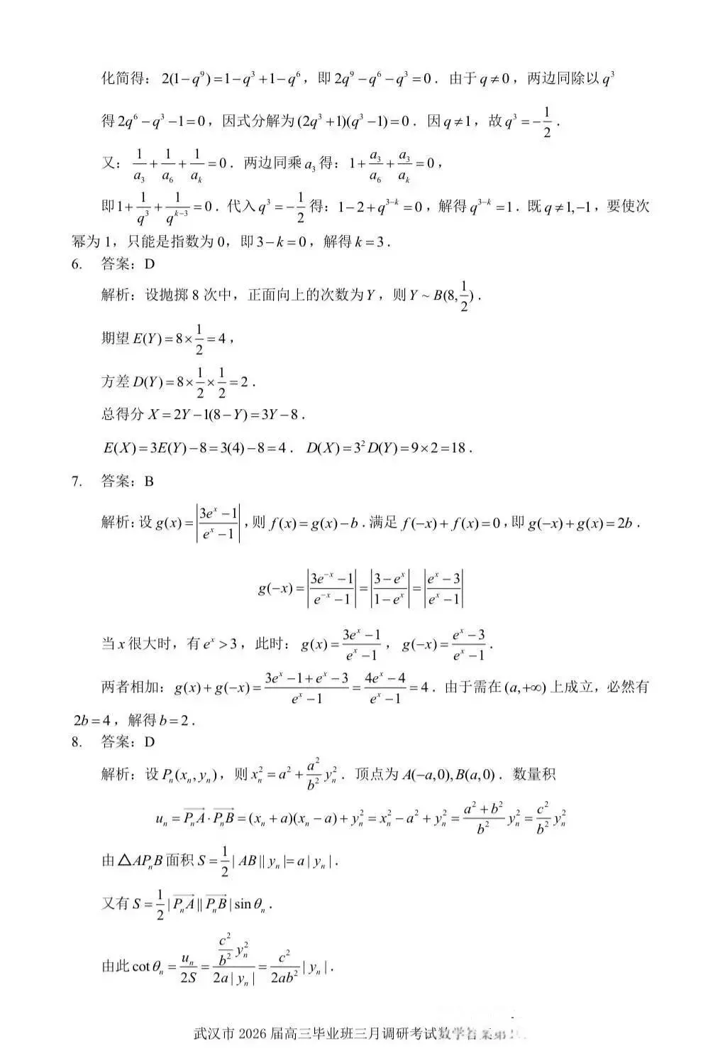
数学答案







02
英语试卷












03
物理试卷






04
历史试卷









更多试卷
回复“三调”获取


学大教育专注个性化教育 25 年
提供专业的个性化 1 对 1 辅导
中高考文化课辅导 ,高考全日制等产品
帮助学生实现成绩、成长、成才的梦想!



小红书/ 学大教育晓晓老师
抖音/ 武汉学大教育
钟家村校区
青年路校区
中北路校区
江岸校区
学大全日制基地
咨询电话/ 400-8855-027
声明:本文图片以及内容来自网络,如涉及作品内容、版权或其它问题,请及时与我们联系,我们将立即更正或删除相关内容。
文章来源:
四季读书网
版权声明:本文内容由互联网用户自发贡献,该文观点仅代表作者本人。本站仅提供信息存储空间服务,不拥有所有权,不承担相关法律责任。如发现本站有涉嫌抄袭侵权/违法违规的内容, 请发送邮件至23467321@qq.com举报,一经查实,本站将立刻删除;如已特别标注为本站原创文章的,转载时请以链接形式注明文章出处,谢谢!