【一】知识概览
知识点一、面积类:
一、固定面积的存在性
固定面积的存在性问题最为简单,在待求图形中,往往只有一个是变量,此时只需通过方程将其解出即可.
1、解题思路:
(1)根据题目条件,求出相应的固定面积;
(2)找到待求图形合适的底和高;
(3)列出方程,解出相应变量;
根据题目实际情况,验证所有可能点是否满足要求并作答.
二、有关面积比的存在性问题
1、知识内容:
有些问题是关于两个未知面积比的,此类问题的难度稍大.一般都需要先通过公共边或公共高,将面积比转化为线段之比,从而进一步列出方程解决问题.
2、解题思路:
(1)根据题目条件,用函数表示出相关面积;
(2)利用面积比的条件列出方程并求解;
(3)根据题目实际情况,验证所有可能点是否满足要求并作答.

三、隐藏的梯形存在性问题
1、知识内容:
若
,且B和D在AC的同侧,易证A、B、C、D构成梯形(或平行四边形),其中AC//BD.
2、解题思路:
(1)根据题目条件,找出相应的平行关系;
(2)利用已知直线的解析式求出未知直线;
(3)解出相应的点;
(4)根据题目实际情况,验证所有可能点是否满足要求并作答.
知识点二、存在特殊的三角形
一、等腰三角形
解题思路:
(1)利用几何或代数的手段,表示出三角形的三边对应的函数式;
(2)根据条件分情况进行讨论,排除不可能的情况,将可能情况列出方程(多为分式或根式方程)
(3)解出方程,并代回原题中进行检验,舍去增根.
与角有关的等腰三角形问题
有时,等腰三角形通过边来计算过于复杂,而条件中又恰好有关于角的一些条件,此时经常可以讨论角之间的关系,再利用“等角对等边”的性质从而形成等腰三角形.
二、直角三角形
解题思路:
以几何为背景的直角三角形问题解题思路:
(1)按三个角分别可能是直角的情况进行讨论;
(2)运用相似/全等、勾股定理等方法,计算出相应的边长.
三、相似三角形
解题思路:
(1)寻找或证明两个三角形中一定相等的两个角;
(2)计算或表示出夹此两角的四条边;
(3)根据比例关系列出方程,解出未知边的长度等要求,并代回验证.
【二】典例精析
一、面积类
【例1】如图1,已知矩形ABCD,过点B作BG⊥AC交AC于点E,分别交射线AD于点F,交射线CD于点G,BC=6.
(1)当点F为AD的中点时,求AB的长;
(2)联结AG,设AB=x,S△AFG=y,求y关于x的函数关系式及自变量x的取值范围.


二、存在特殊的三角形
1)等腰三角形
【例1】如图,在矩形ABCD中,AB=8,BC=6,对角线AC、BD交于点O.点E在AB的延长线上,联结CE,AF⊥CE,AF分别交线段CE、边BC、对角线BD于点F、G、H(点F不与C、E重合).
(1)当点F是线段CE的中点时,求GF的长;
(2)当BE=x,OH=y,求y关于x的函数解析式,并写出它的定义域;
(3)当△BHG是等腰三角形时,求BE的长.



2)直角三角形
【例1】如图,在
中,
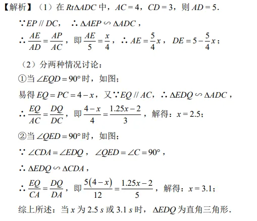
= 4cm,BC = 5cm,点D在BC上,并且CD = 3cm.现有两个动点P、Q分别从点A、B同时出发,其中点P以1cm/s的速度,沿AC向终点C移动;点Q以1.25cm/s的速度沿BC向终点C移动.过点P作PE // BC交AD于点E,联结EQ.设动点运动时间为x(s).
(1)用含x的代数式表示AE、DE的长度;
(2)当x为何值时,
为直角三角形.


3)相似三角形
【例1】已知在
中,
,点
是边
上的一个动点,
//
,联结
.
(1)如图1,如果
//
,求
的长;
(2)如图2,如果直线
与边
的延长线交于点
,设
,求
关于
的函数解析式,并写出它的定义域;
(3)如图3,如果直线
与边
的反向延长线交于点
,联结
,当
与
相似时,试判断线段
与线段
的数量关系,并说明你的理由.


