
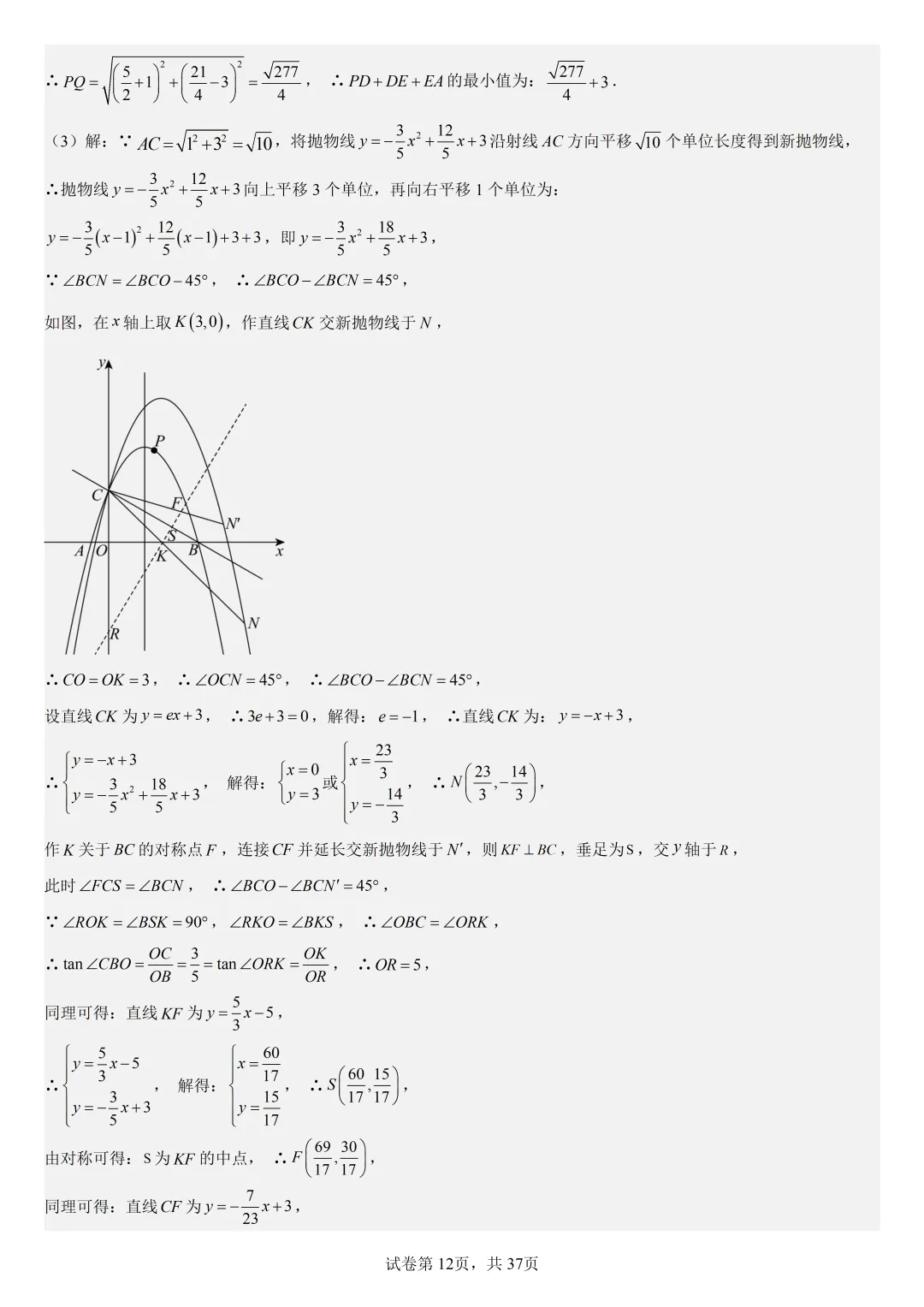
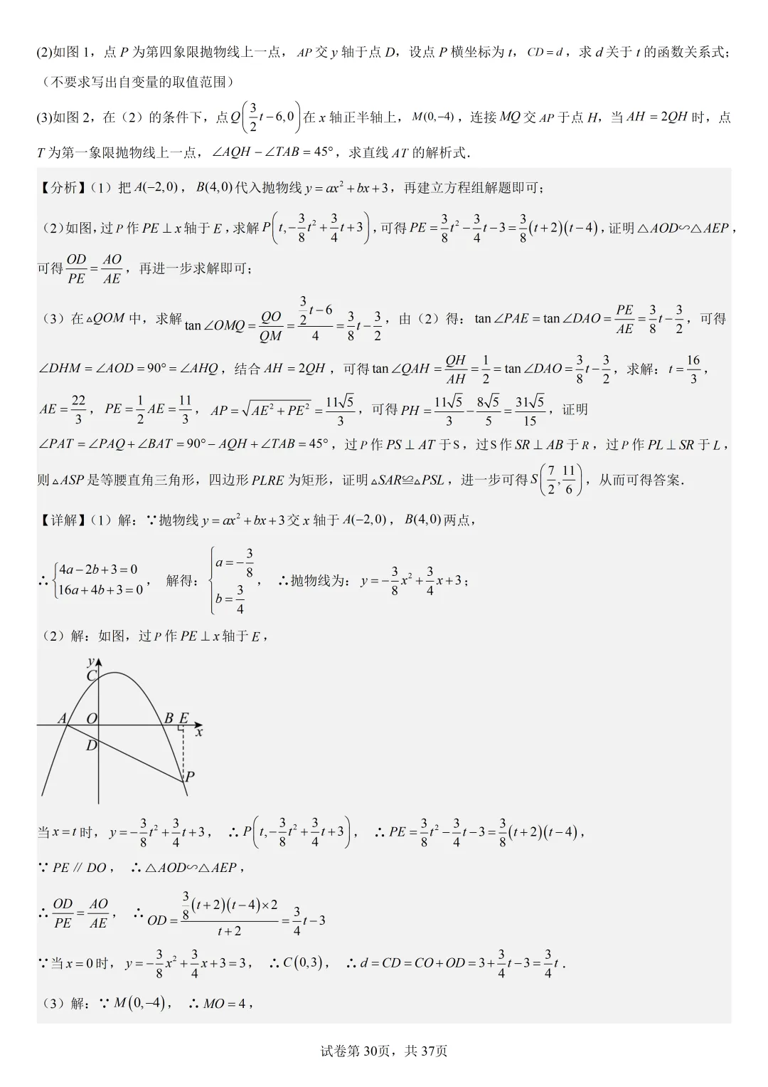
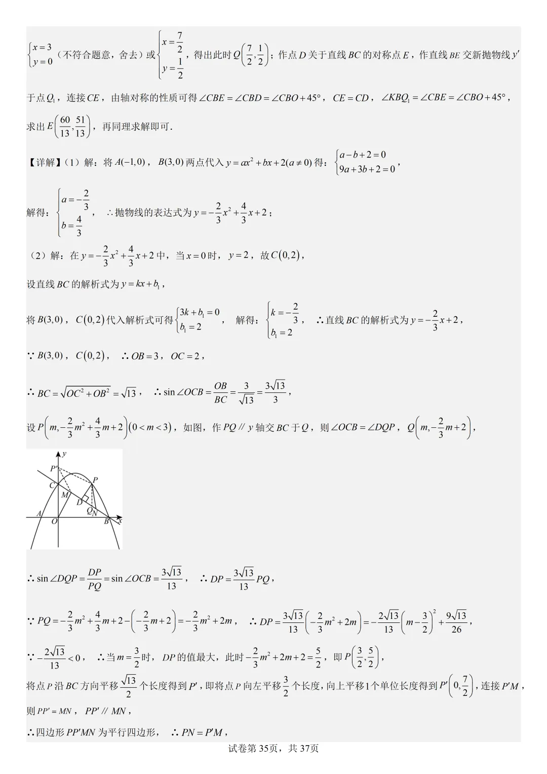
【初中数学中考复习压轴题专题】
二次函数与角相关的压轴题
——含45度特殊角的和差角问题(2)





































本公众号主要栏目有:
1.高中数学教学方面:高中数学重点专题讲座,难点专题剖析。
2.高考研究方面:历年高考真题分析,高频考点以微专题的形式推出。适当推出个别专题的微视频,帮助参加高考的学生夺高分。每年高考前会有高考预测。
3.初中数学教学方面:初中数学重点专题讲座,难点专题剖析。
4.中考研究方面:各地历年中考真题分析,高频考点以微专题的形式推出。适当推出个别专题的微视频。每年中考前会有中考预测。
5.各阶段各类竞赛试题分析与分享,特别是与高考、中考相接近的基础性竞赛试题的分析与研究。
6.重点高校、重点高中强基计划方面的信息分享给需要的师生,如强基计划招生方案、招生试题等。
7.继续完成原公众号较受学生欢迎的栏目:《高中数学学霸争王限时训练》和《初中数学学王争霸限时训练》,训练尽可能与教学内容保持同步。
8.适当转载有关数学学习方法方面的文章。介绍各地优秀学生的学习经验。介绍数学家或名人的故事。
对于本公众号推出的原创文章,在转载时希望加以注明。
希望更多的朋友关注本公众号。你的关注就是我做好此公众号的动力。如果有需要word版的,请先关注,后赞赏10元,方可获得。