

初中生日常
老师今天整理了2026中考数学必考重点公式清单,建议收藏掌握,考场考到直接套用!

2026初中数学
中考必考重点公式总汇
乘法与因式分解
①(a+b)(a-b)=a2-b2;
②(a±b)2=a2±2ab+b2;
③(a+b)(a2-ab+b2)=a3+b3;
④(a-b)(a2+ab+b2)=a3-b3;
a2+b2=(a+b)2-2ab;
(a-b)2=(a+b)2-4ab
幂的运算性质
①am×an=am+n;
②am÷an=am-n;
③(am)n=amn;
④(ab)n=anbn;
⑤(a/b)n=an/bn;
⑥a-n=1/an特别:(b/a)-n=(a/b)n;⑦a0=1(a≠0)
二次根式
①(√a)2=a(a≥0);
②√a2=丨a丨;
③√ab=√a×√b;
④√b/a=√b/√a(a>0,b≥0)
三角不等式
|a|-|b|≤|a±b|≤|a|+|b|(定理);
加强条件:||a|-|b||≤|a±b|≤|a|+|b|也成立,这个不等式也可称为向量的三角不等式(其中a,b分别为向量a和向量b)
|a+b|≤|a|+|b|;
|a-b|≤|a|+|b|;
|a|≤b<=>-b≤a≤b;
|a-b|≥|a|-|b|;
-|a|≤a≤|a|;
某些数列前n项之和
1+2+3+4+5+6+7+8+9+…+n=n(n+1)/2;
1+3+5+7+9+11+13+15+…+(2n-1)=n2;
2+4+6+8+10+12+14+…+(2n)=n(n+1);
12+22+32+42+52+62+72+82+…+n2=
n(n+1)(2n+1)/6;
13+23+33+43+53+63+…n3=n2(n+1)2/4;
1*2+2*3+3*4+4*5+5*6+6*7+…+n(n+1)=
n(n+1)(n+2)/3;
一元二次方程
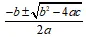
对于方程:ax2+bx+c=0:
①求根公式是x=
,其中△=b2-4ac叫做根的判别式。
当△>0时,方程有两个不相等的实数根;
当△=0时,方程有两个相等的实数根;
当△<0时,方程没有实数根.注意:当△≥0时,方程有实数根。
②若方程有两个实数根x1和x2,则二次三项式ax2+bx+c可分解为a(x-x1)(x-x2)。
③以a和b为根的一元二次方程是x2-(a+b)x+ab=0。
一次函数
一次函数y=kx+b(k≠0)的图象是一条直线(b是直线与y轴的交点的纵坐标,称为截距)。
①当k>0时,y随x的增大而增大(直线从左向右上升);
②当k<0时,y随x的增大而减小(直线从左向右下降);
③特别地:当b=0时,y=kx(k≠0)又叫做正比例函数(y与x成正比例),图象必过原点。
反比例函数
反比例函数y=k/x(k≠0)的图象叫做双曲线。
①当k>0时,双曲线在一、三象限(在每一象限内,从左向右降);
②当k<0时,双曲线在二、四象限(在每一象限内,从左向右上升)。
二次函数
(1)定义:一般地,如果y=ax²+bx+c(a,b,c是常数,a≠0),那么叫做x的二次函数。
(2)抛物线的三要素:开口方向、对称轴、顶点。
①a的符号决定抛物线的开口方向:当a>0时,开口向上;当a<0时,开口向下;
|a|相等,抛物线的开口大小、形状相同。
②平行于y轴(或重合)的直线记作x=h特别地,y轴记作直线x=0。
(3)几种特殊的二次函数的图像特征如下:
函数解析式 | 开口方向 | 对称轴 | 顶点坐标 |
y=ax² | 当a>0时 开口向上 当a<0时 开口向下 | x=0(y轴) | (0,0) |
y=ax²+k | x=0(y轴) | (0,k) | |
y=a(x-h)² | x=h | (h,0) | |
y=a(x-h)²+k | x=h | (h,k) | |
y=ax²+bx+c | x=-b/2a | (-b/2a,4ac-b²/4a) |
(4)求抛物线的顶点、对称轴的方法
①公式法:y=ax²+bx+c=a(x+b/2a)²+4ac-b²/4a,
∴顶点是(-b/2a,4ac-b²/4a),对称轴是直线x=-b/2a。
②配方法:运用配方的方法,将抛物线的解析式化为y=a(x-h)²+k的形式,得到顶点为(h,k),对称轴是直线x=h。
③运用抛物线的对称性:由于抛物线是以对称轴为轴的轴对称图形,对称轴与抛物线的交点是顶点。
若已知抛物线上两点(x1,y)、(x2,y)(及y值相同),则对称轴方程可以表示为:x=x1+x2/2
(5)抛物线y=ax²+bx+c中,a,b,c的作用
①a决定开口方向及开口大小,这与y=ax²中的a完全一样。
初中生配套学习教辅

如何领取更多初中学习资料

