





考点一分式及其性质
1.分式及其性质
一般地,如果A、B表示两个整式,并且B中含有字母,那么式子

叫做分式,其中A叫做分子,B叫做分母.
2.分式有意义、无意义或值为0的条件

注意:分式的值是在分式有意义的前提下考虑的.
3.分式的基本性质
分式的基本性质:分式的分子和分母同乘(或除以)一个不等于0的整式,分式的值不变.
字母表示:

其中A,B,C是整式且B•C≠0.
分式符号法则:分式的分子、分母与分式本身的符号,改变其中任何两个,分式的值不变.
【补充】改变其中一个或三个,分式变为原分式的相反数.
【易错易混】运用分式的基本性质时,要注意:①限制条件:同乘(或除以)一个不等于0的整式;
②隐含条件:分式的分母不等于0.
4.分式的约分
分式的约分:根据分式的基本性质,约去分子和分母的公因式,不改变分式的值,这样的分式变形叫做分式的约分.
最简分式:分子与分母没有公因式的分式,叫做最简分式.
【补充说明】约分是对分子、分母同时进行的,即分子的整体和分母的整体都除以同一个因式,约分要彻底,使分子、分母没有公因式,而且约分前后分式的值相等.
5.分式的通分
分式的通分:根据分式的基本性质,把几个异分母的分式分别化成与原来的分式相等的同分母分式,这一过程叫做分式的通分.
最简公分母:通常取各分母系数的最小公倍数与所有字母因式的最高次幂的积作为公分母,这样的分母叫做最简公分母.在确定几个分式的最简公分母时,不要遗漏只在一个分式的分母中出现的字母及其指数.
确定最简公分母的方法:
1)分母为单项式:①取单项式中所有系数的最小公倍数作为最简公分母的系数;
②取单项式中每个字母出现的最高次数作为最简公分母中该字母的次数.
2)分母为多项式:①对每个分母进行因式分解;
②找出每个出现的因式的最高次幂,它们的积为最简公分母;
③若有系数,求各分母系数的最小公倍数作为最简公分母的系数.
考点二分式的运算
1.分式的加减法
1)同分母分式相加减:分母不变,把分子相加减;符号表示为

2)异分母分式相加减:先通分,变为同分母的分式,再加减;符号表示为:

2.分式的乘除法1)分式的乘法法则:分式乘分式,用分子的积作为积的分子,分母的积作为积的分母,即

2)分式的除法法则:分式除以分式,把除式的分子、分母颠倒位置后,与被除式相乘,即

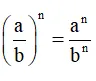
3)分式的乘方运算法则:分式的乘方是把分子、分母分别乘方,即

(n为正整数,b≠0)
3.分式的混合运算
运算顺序:分式的混合运算顺序与实数类似,即先乘方,再乘除,最后加减;有括号时,先进行括号内的运算;同级运算,按照从左到右的顺序进行.
►分式运算技巧总结
分式的加减运算中起关键作用的就是通分.但对某些较复杂或具有特定结构的题目,使用一般方法有时计算量太大,容易出错,有时甚至算不出来,若能结合题目结构特征,灵活运用相关性质、方法、解题技巧,选择恰当的运算方法与技能,常常能达到事半功倍、化繁为简的效果.
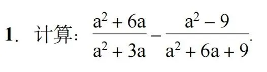
技巧1:约分计算法


点拨:在分式的加减运算中,若分式的分子、分母是多项式,则首先把能因式分解的分子、分母分解因式,其次把分子、分母能约分的先约分,然后再计算,这样可使计算过程简化.
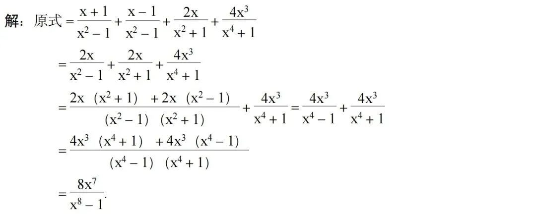
技巧2:顺次相加法


点拨:此类题在计算时,采用“分步通分相加”的方法,逐步递进进行计算,达到化繁为简的目的.在解题时既要看到局部特征,又要全局考虑.
技巧3:整体通分法


点拨:本题将a-b看成一个整体进行通分,使解题简捷.
►分式运算易错点

分式的分子、分母同时乘以或乘以同一个不为0的数(或整式),分式的值不变.

在化简时,不能分子乘以3,分母乘以2,这样不符合分式的基本性质,因此我们先找到两个分数分母的最小公倍数,2×3=6,然后分式的分子与分母同时乘以6,进行化简.

分式的基本性质是分式运算的基础,不要凭自己的想象做题.


分式运算顺序与整式运算顺序类似,先乘方,再乘除,然后加减,有括号的先算括号里面的.
同级运算,按照从左往右的顺序依次计算,因此这道题目不能直接约去a-3和3-a,更加不能直接得到答案-1,不能看到能约分的直接全部约掉,要按照运算顺序进行计算,先将除法变为乘法,再进行计算.

搞清楚运算顺序,不能为了简便而简便.


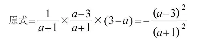
首先要注意,互为相反数的代数式能约分,不能放任不管;其次,约分时也要注意,若为奇次方约分时,变形时要多一个负号;若为偶次方约分时,直接变形即可.

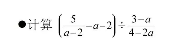
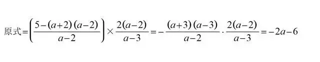
本题的注意点较多,有括号的先算括号里面的,括号里面的为加减法,因此需要先通分.通分时可以每一项分别通分,也可以加括号将a+2看作一个整体再通分.除数中有3-a和4-2a可将其转化为a-3和2a-4,然后再进一步化简.

这类题目一定要特别注意,一个符号出错会导致整道题目都出错.


在求解分式有意义的条件时,不能约分,约分会导致出错.

分式有意义的条件为分母不等于0,本题的错解为:x≠-3,在计算时将a-3约分掉,这样会扩大未知数的取值范围.应该直接令分母(a-3)(a+3)≠0,即x的取值范围:x≠3且x≠-3.


分式加减法是进行通分处理,分式方程是方程左右两边同时乘以最简公分母,进行去分母处理,不要混淆.
在计算分式加减时防止出现3-a-a(a-2)-2(a-2)这样的式子,直接将分母都去掉了,这样的做法不对.
通分时想想分数的通分,分母不可能莫名其妙的消失.


分式为零的条件有两个:(1)分子为零;(2)分母不为零.

分式的值为0,那么分子要为0,可求得a的值为0或2,但是答案不是这两个.除了要满足分子为0,还要满足分母不等于0,如果将2代入分母,发现分母等于0,分式没有意义,因此答案只有0.


“且”与“或”表示的含义不一样,“且”是两个同时都要满足,“或”是两个中只要满足一个,我们平时遇到“或”比较多.

分式中分母不能等于0,那么x-1≠0且x+1≠0,两个分式中的分母都不能等于0,因此x的取值范围为:x≠-1且x≠1.







【中考数学复习05】——拿下“十分”重要的锐角三角函数及其应用!
【中考数学总复习06】——拿下最简单但最容易失分的“数与式”
【中考数学总复习08】——拿捏方程(组)和不等式(组)易错题
心动不如行动
资 | 料 | 获 | 取 |
方式一:扫码直接免费下载


夸克网盘下载


百度网盘下载

下载方法:
扫码保存资源到自己网盘账号(登录夸克或者百度网盘APP即可下载)
方式二:关注公众号,后台回复关键字免费获取
第二步:在聊天对话框发送【20241129】即可获取!

3
使用说明

【百度网盘】
方式三:如需往期资料,回复关键字添加微信

后台回复“230902” 即可添加微信




资料收集整理发布实属不易
点赞在看收藏分享以资鼓励

【温馨提示】:做题的意义并不在于做题本身,而是在于强化对所学知识的理解和运用能力,务必将每道题弄懂吃透!

学习的本质不在于激动。
它不是关于积蓄过多的精力,
或强迫自己行动。
相反它是关于稳定、深思熟虑的进步。


