
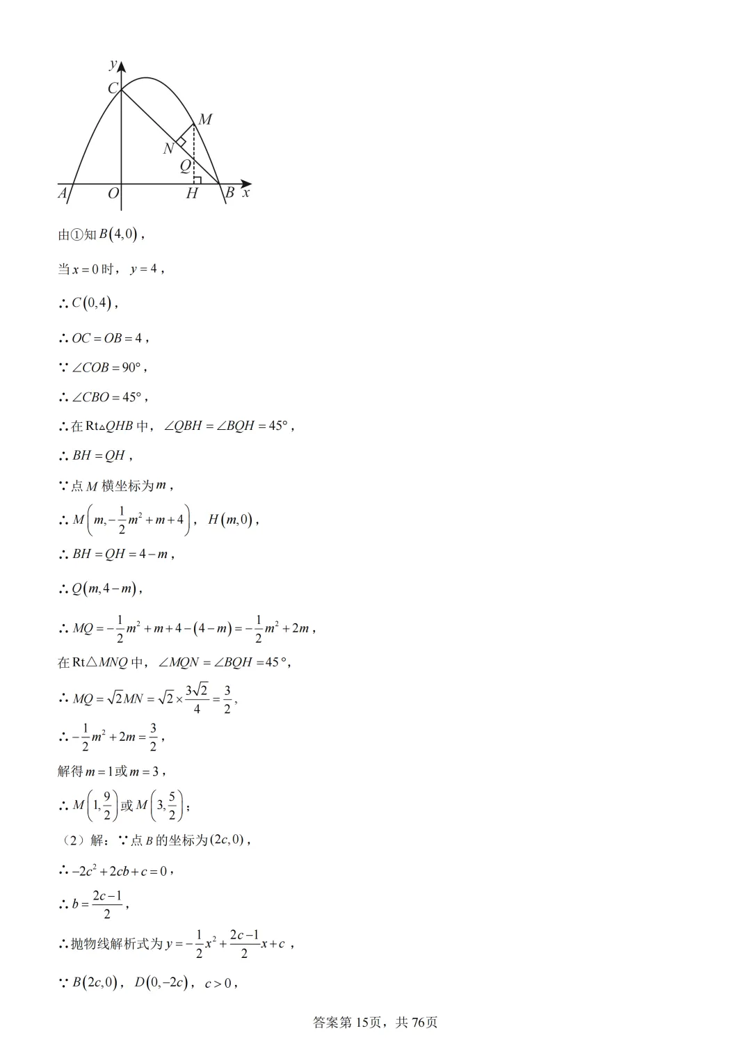
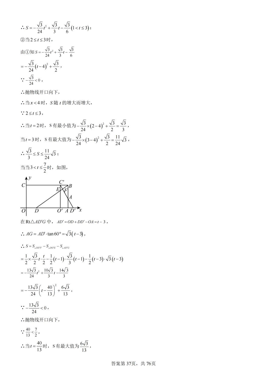
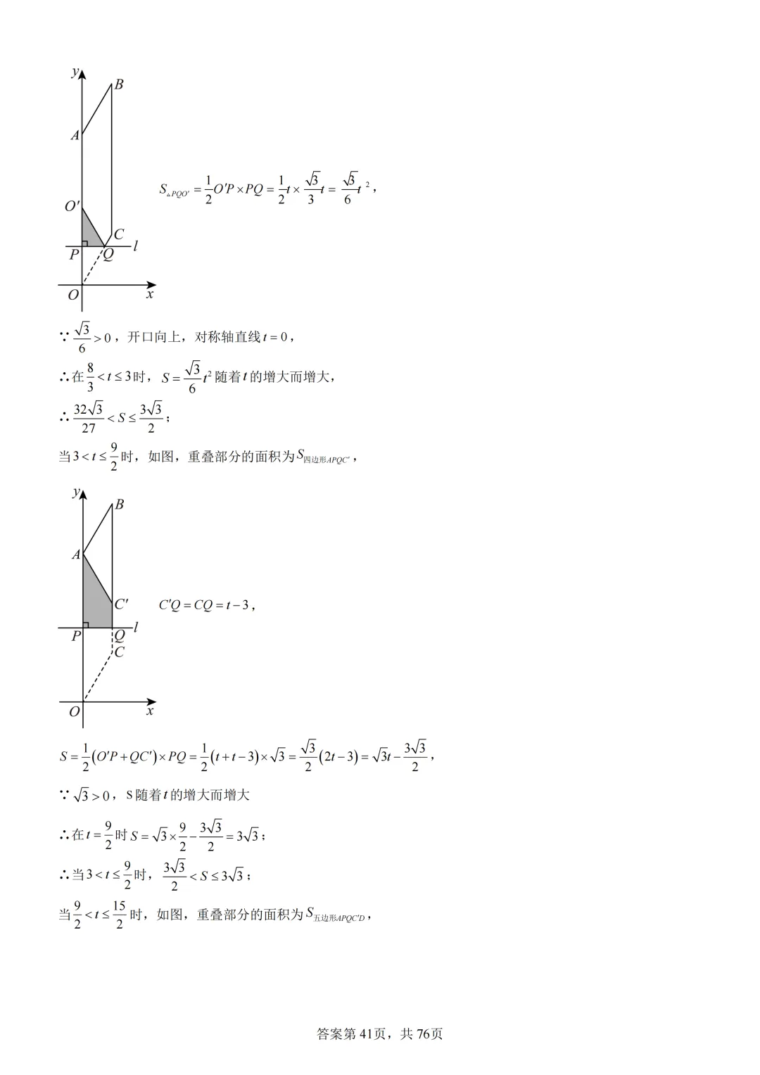
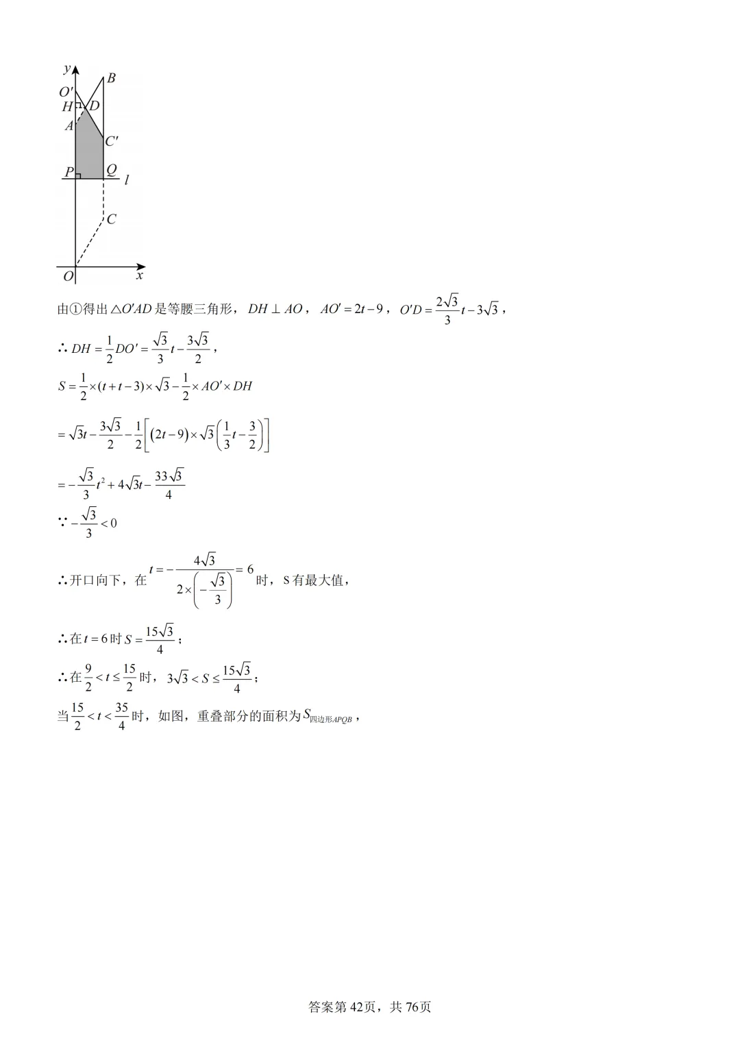
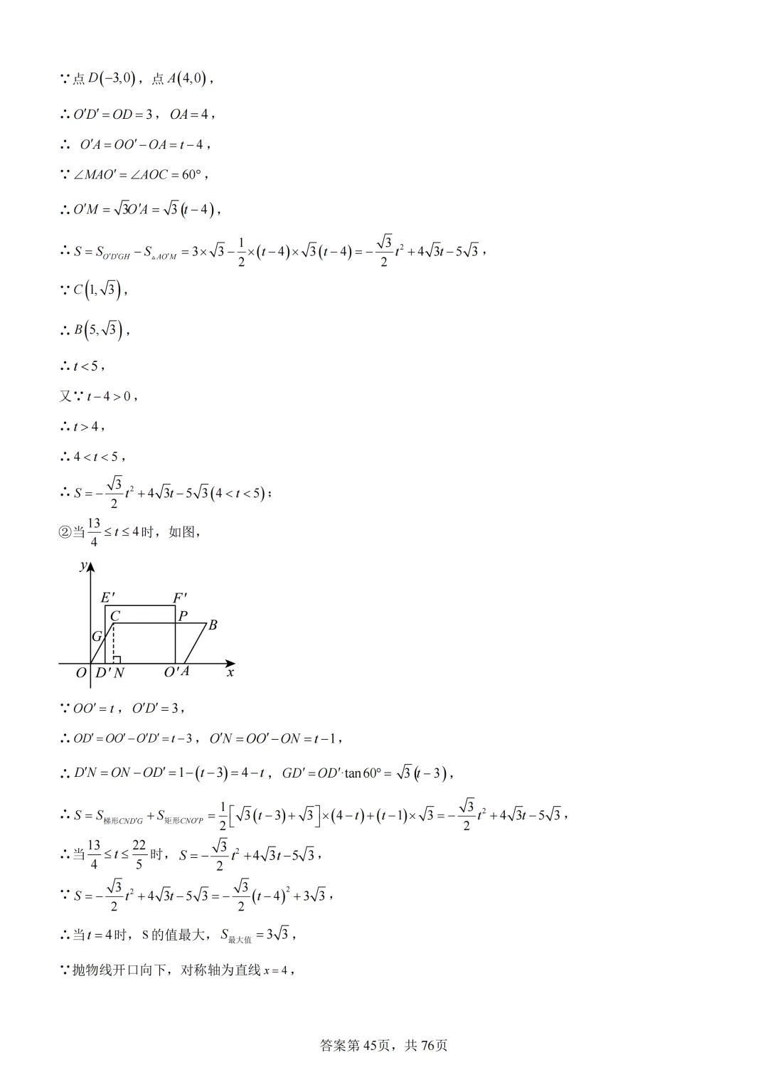
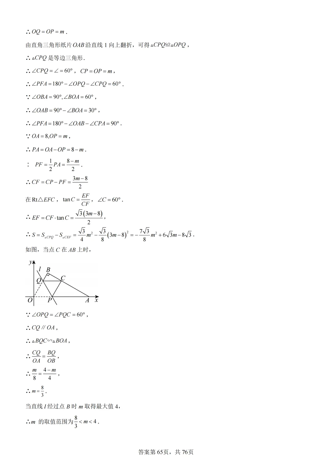
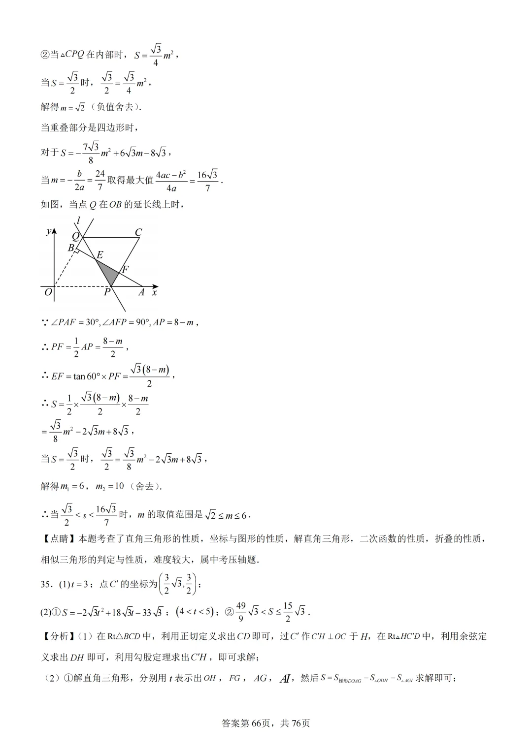
练习:

















解析:











































































注:分享内容为图片版,需要资料文件,请私信留言

声明:本公众号为大家提供升学资讯,教育教学观点,学习资料以及竞赛考试信息的分享,仅代表个人观点,如有侵权,请联系我们删除。
文章来源:
四季读书网
版权声明:本文内容由互联网用户自发贡献,该文观点仅代表作者本人。本站仅提供信息存储空间服务,不拥有所有权,不承担相关法律责任。如发现本站有涉嫌抄袭侵权/违法违规的内容, 请发送邮件至23467321@qq.com举报,一经查实,本站将立刻删除;如已特别标注为本站原创文章的,转载时请以链接形式注明文章出处,谢谢!