




考点一 实数的分类
1. 正数与负数
正数:大于0的数叫做正数,如:0.5,2/3,+2等.
负数:小于0的数叫做负数.如:-0.5,-2/3,-2,-(+1)等.
O既不是正数也不是负数。
2.有理数及分类
有理数:整数和分数统称为有理数.(【实质】可以写成n/m形式的数,其中m,n为整数且m≠0)
【补充】有限小数和无限循环小数可以转化为分数,因此有限小数和无限循环小数是有理数.
例:0.53(分数形式:53/100),1.333333…(分数形式:4/3),根号4,整数3(分数形式:3/1)等.
有理数的分类
按有理数的定义分类

按有理数的性质分类

3. 无理数
无理数:无限不循环小数叫做无理数.
【补充】无限不循环小数不能化成分数,因此无限不循环小数不是有理数.
常见的无理数:
1)一般的无限不循环小数,如0.43241…,7.6385661…等
2) 开方开不尽的数,如:根号2、

等.
[易错]带根号的数并不都是无理数,而开方开不尽的数才是无理数.
3)与圆周率π有关的数,如5π,3+π,π/3等.
4)看似有规律循环实际上是无限不循环的小数,如0.1010010001(两个1之间依次增加1个0)…
5)某些三角函数,如sin60°、cos20°.
【注意】无理数都是无限小数,但无限小数不一定是无理数,只有无限不循环小数才是无理数.
4. 实数及其分类
实数的定义:有理数和无理数统称为实数.
实数的分类:

考点二数轴、相反数、绝对值、倒数
1.数轴
数轴的定义:在数学中,通常用一条直线上的点表示数,这条直线叫做数轴.
数轴有三要素:原点、正方向、单位长度,三者缺一不可.
【补充】
1)数轴是一条可以向两端无限延伸的直线;
2)数轴三要素是“规定”的,通常,我们习惯性向右为正方向,原点的位置和单位长度的大小要依据实际情况灵活选取,但是一旦选定后就不能随意改变;
3)在同一条数轴上,单位长度的大小必须统一,要根据实际问题灵活选取单位长度的大小.
4)在数轴上表示的两个数,右边的数总比左边的数大.
实数与数轴上点的关系:每一个实数都可以用数轴上的一个点来表示,反之,数轴上的每一个点都表示一个实数,实数与数轴上的点一一对应.
2. 相反数
相反数:只有符号不同的两个数称为互为相反数,相反数是成队出现的.
性质:1)【热考】若a,b互为相反数,则a+b=0;反之,若a+b=0,则若a,b互为相反数.
2)一个有理数有且只有一个相反数;
3)正数的相反数是负数;负数的相反数是正数;0的相反数是0.
几何意义:1)互为相反数的两个数在数轴上对应的两个点到原点的距离相等且位于原点的两侧.
2)位于原点的两侧且到原点距离相等的点,所表示的两个数互为相反数.
3.绝对值
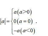
绝对值:数轴上表示数a的点到原点的距离叫做a的绝对值,记为|a|.
绝对值的代数意义:正数的绝对值是它本身;0绝对值是0;负数的绝对值是它的相反数,即

【易混易错】
1)若|a|=a(或|a|-a=0),则a≥0,若|a|=-a(或|a|+a=0),则a≤0.
2)任何一个有理数的绝对值都是非负数,即a取任意实数,都有|a|≥0.
3)当绝对值符号里的数的正负不能确定时,要分类讨论,即将其分成大于0,小于0,等于0这三类讨论.
4. 倒数
倒数:1除以一个不等于零的实数所得的商,叫做这个数的倒数.
【易混易错】
1)0没有倒数,倒数是本身的只有1和-1.
2)若a、b互为倒数,则ab=1.
3)互为倒数的两个数必定同号(同为正数或同为负数)
考点三科学记数法
1.科学记数法
定义:把一个数A表示成

的形式(其中1≤|a|<10,n为整数),这种记数法叫做科学记数法.
【补充】
1)用科学记数法表示数时,不改变数的符号,只是改变数的书写形式而已,可以方便地表示日常生活中遇到的一些很大或很小的数.
2)一个负数也可以用科学记数法表示.
3)科学记数法的常见类型:
① 直接将像26000000、320万这样的较大数字用科学记数法表示;
② 将450 km或 35 nm 换算单位后用科学记数法表示;
③ 根据题意,先计算,再将计算结果用科学记数法表示.
2.近似数
准确数:在日常生活或生产实际中,能准确地表示一些数的量,成为准确数.
近似数:接近准确数而不等于准确数的数,叫做这个数的近似数.
精确度:近似数一般由四舍五入取得,四舍五入到哪一位,就说这个近似数精确到哪一位.
【补充】对于带单位的数或用科学记数法表示的近似数

,a的末位数字在还原后的数中是哪一位,就说这个近似数精确到哪一位.
有效数字的概念:从左边第一位非0的数字到精确数位的所有的数字.
例:0.012有两个个有效数字:1,2;
3.6万有两个有效数字:3,6;有四个有效数字:4,3,6,0.
考点四平方根、立方根
【知识点1平方根的概念及性质】
1.定义:一般地,如果一个数x的平方等于a,即
=a,那么这个数x叫作a的平方根或二次方根.
2.性质:正数有两个平方根,它们互为相反数,0的平方根是0,负数没有平方根.
3.开平方的定义
(1)求一个数的平方根的运算,叫作开平方.
(2)平方与开平方互为逆运算,可以用平方运算来检验开平方的结果是否正确.
4.被开方数
正数a的正的平方根记为“
”,读作“根号a”,a叫作被开方数.
【知识点2算术平方根的概念及性质】
1.定义:正数a有两个平方根,其中正的平方根
叫作a的算术平方根.正数a的算术平方根用
来表示.
2.性质:(1)一个正数的算术平方根是正数,负数没有算术平方根,0的算术平方根是0
(2)算术平方根
的双重非负性:①被开方数一定是非负数,即a≥0;②非负数a的算术平方根为非负数,即
≥0.
【知识点3立方根的概念及性质】
1.概念及表示:一般地,如果一个数x的立方等于a,即x3=a,那么这个数x叫作a的立方根或三次方根.类似于平方根,一个数a的立方根记为“
”,读作“三次根号a”,其中a是被开方数,3是根指数.
2.性质:①每个数a有且只有一个立方根,其中a可正、可负、可为0.
【补充】1)立方根等于本身的有0和±1.
2)互为相反数的两个数,它们的立方根也互为相反数.
性质:正数只有一个正的立方根;0的立方根是0;负数只有一个负的立方根.
平方根与立方根的区别与联系

4. 常见实数的平方与立方:

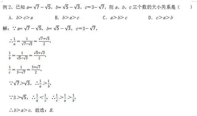
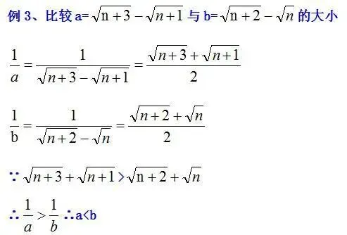
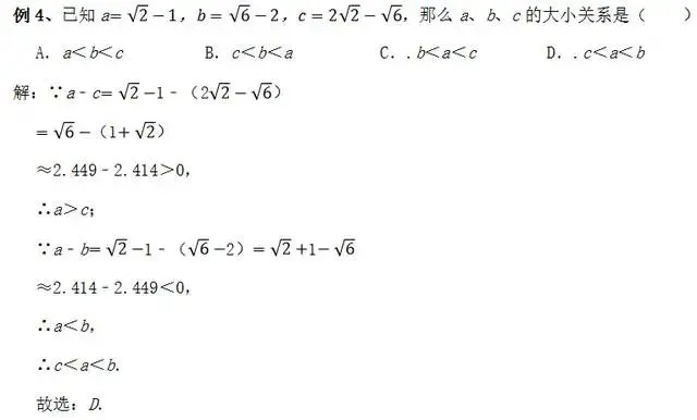
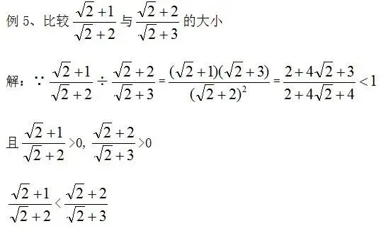
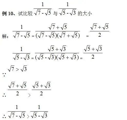
考点五比较实数的大小

一、实数的大小比较的原理









考点六实数的运算
实数的四则运算:当数从有理数扩充到实数以后,实数之间不仅可以进行加、减、乘、除(除数不为0)、乘方运算,又增加了非负数的开平方运算,任意实数可以进行开立方运算.进行实数运算时,有理数的运算法则及性质等同样适用.
1.实数的加法法则:1)同号两数相加,取相同的符号,并把绝对值相加;
2)异号两数相加,绝对值不相等时,取绝对值较大的加数的符号,并用较大的绝对值减去较小的绝对值.
2.实数的减法法则:减去一个数等于加上这个数的相反数.
3.实数的乘方法则:1)两数相乘,同号得正,异号得负,并把绝对值相乘;
2)任何数同0相乘,都得0.
【补充】1)正数的任何次幂都是正数;2)0的任何正整数次幂都是0;3)负数的奇次幂是负数,负数的偶次幂是正数.
4.实数的除法法则:1)除以一个不为0的数,等于乘以这个数的倒数;
2)0除以任何不为0的数,都得0.
5.运算顺序:先进行乘方和开方运算,再算乘除,最后算加减,如果遇到括号,则先进行括号里的运算.
6.运算律

1. 有理数的运算定律在实数范围内都适用,常用的运算定律有加法结合律 、加法交换律 、乘法交换律 、乘法结合律、乘法分配律.
2. 在实数混合运算中不注意运算顺序导致结果错误,所以要牢记运算顺序避免出错:
①先算乘方,再算乘除,最后算加减;
②有括号先算括号里面的,再算括号外面的;先算小括号,再算中括号,最后算大括号.








【中考数学复习05】——拿下“十分”重要的锐角三角函数及其应用!
【中考数学总复习06】——拿下最简单但最容易失分的“数与式”
【中考数学总复习08】——拿捏方程(组)和不等式(组)易错题
心动不如行动
资 | 料 | 获 | 取 |
方式一:扫码直接免费下载


夸克网盘下载


百度网盘下载

下载方法:
扫码保存资源到自己网盘账号(登录夸克或者百度网盘APP即可下载)
方式二:关注公众号,后台回复关键字免费获取
第二步:在聊天对话框发送【20241129】即可获取!

3
使用说明

【百度网盘】
方式三:如需往期资料,回复关键字添加微信

后台回复“230902” 即可添加微信




资料收集整理发布实属不易
点赞在看收藏分享以资鼓励

【温馨提示】:做题的意义并不在于做题本身,而是在于强化对所学知识的理解和运用能力,务必将每道题弄懂吃透!

拿出跃马扬鞭的勇气
激发万马奔腾的活力
保持马不停蹄的干劲。


