01
近几年的中考,一些题型灵活、设计新颖、富有创意的压轴试题涌现出来,其中一类以平移、旋转、翻折等图形变换为解题思路的题目更是成为中考压轴大戏的主角。不过这些传说中的主角,并没有大家想象的那么神秘,只是我们需要找出这些压轴题目的切入点。
切入点一:构造定理所需的图形或基本图形
在解决问题的过程中,有时添加辅助线是必不可少的。对于北京中考来说,只有一道很简单的证明题是可以不用添加辅助线的,其余的全都涉及到辅助线的添加问题。中考对学生添线的要求还是挺高的,但添辅助线几乎都遵循这样一个原则:构造定理所需的图形或构造一些常见的基本图形。
切入点二:做不出、找相似,有相似、用相似
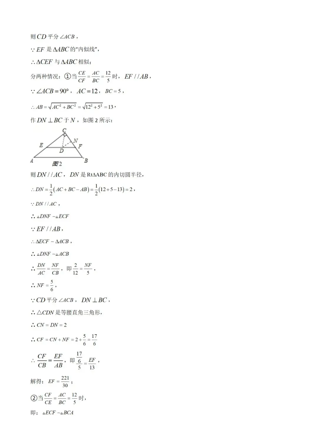
压轴题牵涉到的知识点较多,知识转化的难度较高。学生往往不知道该怎样入手,这时往往应根据题意去寻找相似三角形。
切入点三:紧扣不变量,并善于使用前题所采用的方法或结论
在图形运动变化时,图形的位置、大小、方向可能都有所改变,但在此过程中,往往有某两条线段,或某两个角或某两个三角形所对应的位置或数量关系不发生改变。
切入点四:在题目中寻找多解的信息
图形在运动变化,可能满足条件的情形不止一种,也就是通常所说的两解或多解,如何避免漏解也是一个令考生头痛的问题,其实多解的信息在题目中就可以找到,这就需要我们深度的挖掘题干,实际上就是反复认真的审题。
总之,问题的切入点很多,考试时也不是一定要找到那么多,往往只需找到一两个就行了,关键是找到以后一定要敢于去做。有些同学往往想想觉得不行就放弃了,其实绝大多数的题目只要想到上述切入点,认真做下去,问题基本都可以得到解决。
02




















