
初三必领
【实体版】中考真题:回复“中考真题”
【电子版】期末真题:回复“期末”
【实体版】中考一模:回复“一模”
【实体书】汕头高中学校库:回复“高中”
【实体书】志愿填报攻略:回复“攻略”
领取上方学习资料
回复对应关键词
在汕头中考
政策、志愿填报、招生计划、
学费、指标生、自主招生
…
每个环节都至关重要
别慌,老师准备好了最全的政策数据
赢在中考起跑线!

📃分数线文件包含各区所有可报高中分类、学校性质说明、24-25年招生分数和得分率,以及七科裸分分数!不怕你找不到适合高中

扫码回复【分数】
领取电子版文件合集

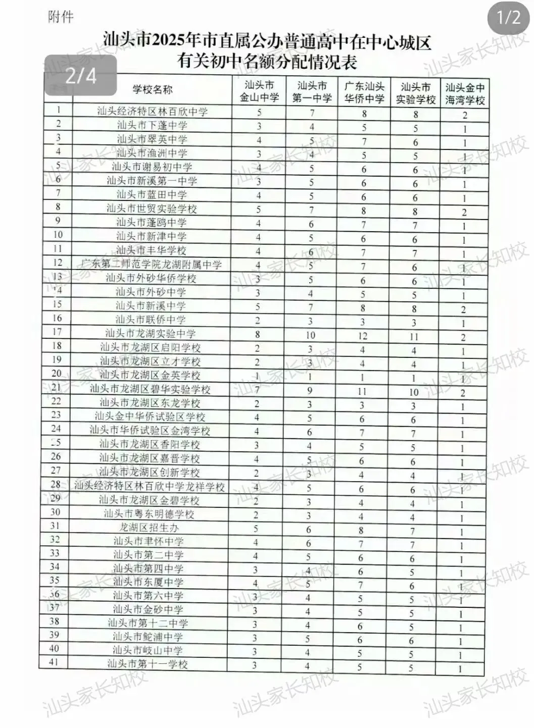
📃名额分配表内含各区符合资格分配高中所下发名额,找到自己所在初中获得名额数,政策不求人

扫码回复【名额】
领取电子版文件合集

【2026汕头中考志愿填报匹配平台】正式上线,专为2026汕头中考生定制!现在开放免费体验!
赶快一键生成你的冲稳保志愿填报方案!

👆赶快扫码添加领取链接👆
获取你的志愿方案吧

提前规划学习,中考才能花小钱出大效果!现有专为汕头中考学生定制推出的中考全年冲刺规划课,一站式解决升学规划。

*三师模式:1位学生9位老师服务,主讲老师、学科答疑老师、学习管理师定制化学习。
*分层教学:开学测分班,为不同基础层次的学生定制学习进度,再也没有“跟不上听不懂”
*跟盯答疑:课中巡场,关注学员到课和上课情况;老师帮助学员进行每次考试的试卷分析,及时调整学习方向
*一站式规划:中考备考到高一升学衔接全面解决方案(备考&志愿填报&高一选科)

扫码提前预留学位
往期精彩回顾