【中考数学】震惊!除夕夜竟然隐藏着这么多中考必考题!!!

四季读书网 14 0
【中考数学】震惊!除夕夜竟然隐藏着这么多中考必考题!!!
【中考数学】震惊!除夕夜竟然隐藏着这么多中考必考题!!! 第1张

中考/百日/陪伴/3月11日-6月18日

作者/李老师


Hi,我是李老师,各位同学大家好呀~

今天是除夕啦,祝大家除夕快乐,吃好喝好玩好学好,心想事成,万事如意~再送大家一副春节对联:
【中考数学】震惊!除夕夜竟然隐藏着这么多中考必考题!!! 第2张上联:加减乘除算出好运气
【中考数学】震惊!除夕夜竟然隐藏着这么多中考必考题!!! 第3张下联:方程函数解开新春喜
【中考数学】震惊!除夕夜竟然隐藏着这么多中考必考题!!! 第4张横批:金榜题名
【中考数学】震惊!除夕夜竟然隐藏着这么多中考必考题!!! 第5张
除夕夜的烟花、家人团圆的年夜饭、哗啦啦的红包、跨年的倒计时……在一年一度这个充满喜庆的节日里,也藏着诸多数学中考题哟,跟着李老师一起来看下吧~

周期规律问题:选择填空常考题型

【生活场景】
我国传统生肖纪年以12年为一个循环,是咱们中华民族特有的时间文化。众所周知,2026年是马年。新的一年开始啦,祝大家新年快乐,万事如意!
【中考题】
已知2026年是马年,若从2026年开始,将年份依次记为 a1=2026,a2=2027,a3=2028,…,则a2026是哪一年?该年份是哪个生肖?
后台回复“除夕快乐”获取答案~

一次函数实际应用:解答必考题型

【生活场景】
每到春节期间,小明最期待的就是除夕当夜。除了可以放烟花外,小明还可以收到妈妈的新年红包。妈妈给的红包金额随着小明年龄增长呈现均匀变化的规律!简单来说就是年龄越大,红包越厚~
【中考题】
今年小明是12岁,收到的压岁钱是1122元,比6岁时收到的压岁钱多了528元,已知压岁钱和年龄满足一次函数关系。
(1)求年龄x与压岁钱y的函数解析式。
(2)当小明18岁时,能收到多少压岁钱?
后台回复“除夕快乐”获取答案~

轴对称图形识别:选择常考题型

【生活场景】
贴窗花、挂福字是除夕夜的传统习俗,精美的装饰中藏着几何图形的对称之美,是数学在生活中的直观体现。
【中考题】
春节装饰中,下列图形一定是轴对称图形的是()
A. 手写的福字
B. 标准圆形窗花
C. 马年吉祥物:骐骐
D. 墙上贴的对联
后台回复“除夕快乐”获取答案~

二次函数实际应用:解答必考题型

【生活场景】
每年春晚,大家都在期待跨年倒计时10,9,8,…,当1出现在大屏幕的那一刻,全国各地夜空中都绽放出绚丽的烟花。美丽的烟花弧线,它的飞行轨迹高度与水平距离之间,恰好可以用二次函数来表示。
【中考题】
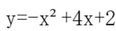
除夕夜,小明在水平地面上燃放烟花,烟花固定的地方设为坐标原点O(0,0),其飞行轨迹为抛物线,水平方向为 x 轴,竖直方向为 y 轴(单位:米)。解析式为:
【中考数学】震惊!除夕夜竟然隐藏着这么多中考必考题!!! 第6张
(1)求烟花飞行的最大高度;
(2)若在点 A(6,3) 处有一个灯笼,当烟花恰好经过灯笼正上方时,求此时烟花的高度;
(3)若在烟花的飞行路径上存在一点 P,使得直线 OP 与 x 轴正方向夹角为 45度,求点 P 的坐标;
(4)点C是抛物线上在第一象限内的动点,过C作CD垂直x轴于D,求△OCD 面积的最大值。
后台回复“除夕快乐”获取答案~

二元一次方程组:必考题型

【生活场景】
每年的央视春晚,是除夕夜全家人必蹲的节目,虽然有可能不看,但是一定会播放,同学们家是不是这样呢【中考数学】震惊!除夕夜竟然隐藏着这么多中考必考题!!! 第7张?春晚从开播到结束,中间插有广告,广告时间越多则表演时间越短。
【中考题】
2026年央视春晚是从除夕当晚20:00开播,次日00:30结束,若晚会安排表演节目为20个,则广告可以插入6个,若表演节目为18个,则广告可以插入10个。设节目平均表演时间为x,广告平均时间为y,求x,y。
后台回复“除夕快乐”获取答案~

概率初步应用:解答必考题型

【生活场景】
年夜饭期间,小明家为活跃气氛!常常举办抢红包的小游戏。小明最喜欢这个环节,因为在随机事件中,期待性可以拉满。而小明也喜欢用数学知识计算中奖概率。
【中考题】
除夕夜年夜饭期间,小明家玩抢红包游戏:爸爸在一个不透明的盒子里放入 6个完全相同的红包,编号分别为 1、2、3、4、5、6,其中编号2和6的红包是中奖红包。
【中考数学】震惊!除夕夜竟然隐藏着这么多中考必考题!!! 第8张游戏规则:从中随机抽取一个红包,记下编号后放回,摇匀后再随机抽取第二个红包。
(1)请问小明第一次抽取就中奖的概率;
(2)请用列表法或画树状图的方法,求小明两次都抽到中奖红包的概率。
后台回复“除夕快乐”获取答案~

年夜饭上有团圆,数学题中有思路。
愿新的一年,同学们难题会解、基础扎实,学得开心,考得顺利!
李老师祝所有家庭除夕快乐,万事顺意!

李老师每周都会给同学们梳理近10年中考真题详解,24,25年的在这:
【中考数学】2024年陕西卷 | 独家手写详解 | 中考必备复习指南 | 可下载打印
【中考数学】手写解析《2025年陕西中考数学卷》中考复习必备指南(含答案)|可下载打印
【中考资讯】超详细 | 2026陕西中考信息查询 |看这一篇就够了(可下载打印)

--END--

⭐作者介绍:初中数学李老师,95后爸爸,中考数学119,高考数学138。初三辅导同学,模考68分提升到中考94分。高中利用假期教初中生数学,赚到人生第一桶金。大三正式进入教育行业,全力以赴,至今已有10年,线上线下学生超2000人。2026年成为【十月爸爸讲数学】账号主理人。

⭐本账号持续分享初中数学学习,践行论持久战。人生目标:让每一个初中生不再为数学头疼。

遇见就是缘,能帮到你是李老师最大的幸福❤️~

抱歉,评论功能暂时关闭!