2026年中考适应性训练数学试卷及答案

四季读书网 18 0
2026年中考适应性训练数学试卷及答案

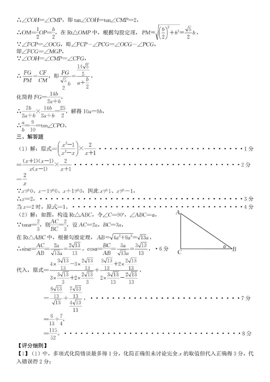
2026年中考适应性训练数学试卷及答案 第1张2026年中考适应性训练数学试卷及答案 第2张2026年中考适应性训练数学试卷及答案 第3张2026年中考适应性训练数学试卷及答案 第4张2026年中考适应性训练数学试卷及答案 第5张2026年中考适应性训练数学试卷及答案 第6张2026年中考适应性训练数学试卷及答案 第7张2026年中考适应性训练数学试卷及答案 第8张2026年中考适应性训练数学试卷及答案 第9张2026年中考适应性训练数学试卷及答案 第10张2026年中考适应性训练数学试卷及答案 第11张2026年中考适应性训练数学试卷及答案 第12张2026年中考适应性训练数学试卷及答案 第13张2026年中考适应性训练数学试卷及答案 第14张2026年中考适应性训练数学试卷及答案 第15张2026年中考适应性训练数学试卷及答案 第16张2026年中考适应性训练数学试卷及答案 第17张

抱歉,评论功能暂时关闭!