【冲刺卷—寒假每日一卷】中考优质模拟试题<2026.2.14>

四季读书网 17 0
【冲刺卷—寒假每日一卷】中考优质模拟试题<2026.2.14>

【冲刺卷—寒假每日一卷】中考优质模拟试题<2026.2.14> 第1张-第1张图片-四季读书网" title="【冲刺卷—寒假每日一卷】中考优质模拟试题<2026.2.14>-第1张图片-四季读书网" />

【冲刺卷—寒假每日一卷】中考优质模拟试题<2026.2.14> 第2张-第2张图片-四季读书网" title="【冲刺卷—寒假每日一卷】中考优质模拟试题<2026.2.14>-第2张图片-四季读书网" />

【冲刺卷—寒假每日一卷】中考优质模拟试题<2026.2.14> 第3张-第3张图片-四季读书网" title="【冲刺卷—寒假每日一卷】中考优质模拟试题<2026.2.14>-第3张图片-四季读书网" />

【冲刺卷—寒假每日一卷】中考优质模拟试题<2026.2.14> 第4张-第4张图片-四季读书网" title="【冲刺卷—寒假每日一卷】中考优质模拟试题<2026.2.14>-第4张图片-四季读书网" />

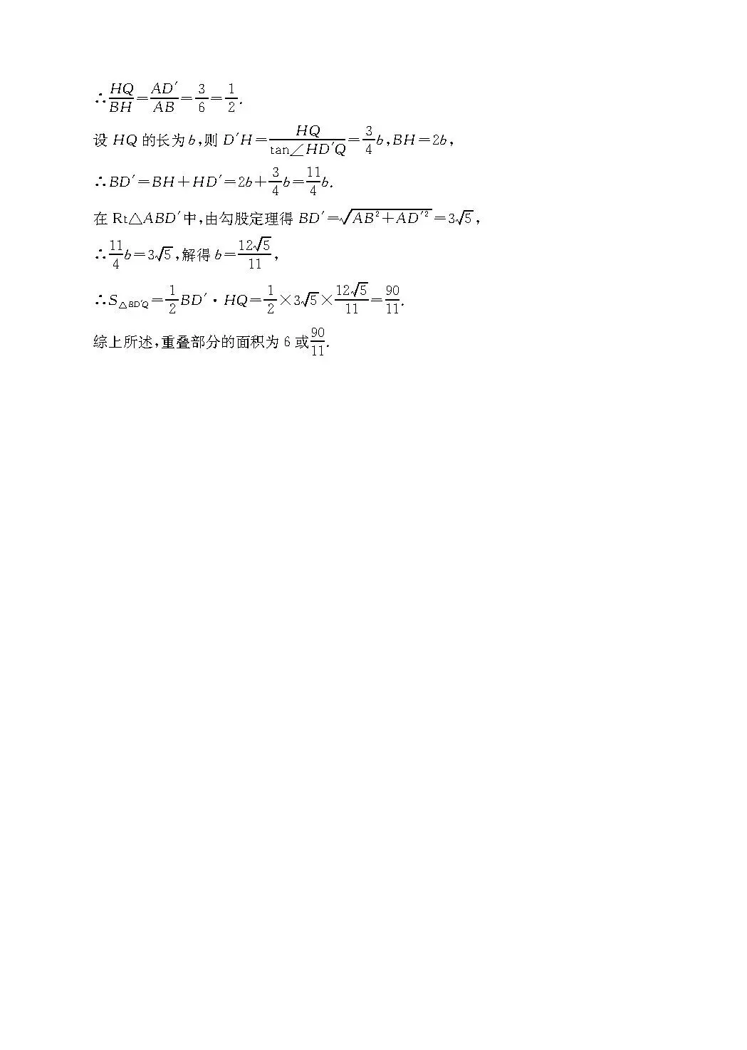
2025中考冲刺卷二【数学】:

其他科目及电子版文后获取

【冲刺卷—寒假每日一卷】中考优质模拟试题<2026.2.14> 第5张-第5张图片-四季读书网" title="【冲刺卷—寒假每日一卷】中考优质模拟试题<2026.2.14>-第5张图片-四季读书网" />
【冲刺卷—寒假每日一卷】中考优质模拟试题<2026.2.14> 第6张-第6张图片-四季读书网" title="【冲刺卷—寒假每日一卷】中考优质模拟试题<2026.2.14>-第6张图片-四季读书网" />
【冲刺卷—寒假每日一卷】中考优质模拟试题<2026.2.14> 第7张-第7张图片-四季读书网" title="【冲刺卷—寒假每日一卷】中考优质模拟试题<2026.2.14>-第7张图片-四季读书网" />
【冲刺卷—寒假每日一卷】中考优质模拟试题<2026.2.14> 第8张-第8张图片-四季读书网" title="【冲刺卷—寒假每日一卷】中考优质模拟试题<2026.2.14>-第8张图片-四季读书网" />
【冲刺卷—寒假每日一卷】中考优质模拟试题<2026.2.14> 第9张-第9张图片-四季读书网" title="【冲刺卷—寒假每日一卷】中考优质模拟试题<2026.2.14>-第9张图片-四季读书网" />
【冲刺卷—寒假每日一卷】中考优质模拟试题<2026.2.14> 第10张-第10张图片-四季读书网" title="【冲刺卷—寒假每日一卷】中考优质模拟试题<2026.2.14>-第10张图片-四季读书网" />
【冲刺卷—寒假每日一卷】中考优质模拟试题<2026.2.14> 第11张-第11张图片-四季读书网" title="【冲刺卷—寒假每日一卷】中考优质模拟试题<2026.2.14>-第11张图片-四季读书网" />
【冲刺卷—寒假每日一卷】中考优质模拟试题<2026.2.14> 第12张-第12张图片-四季读书网" title="【冲刺卷—寒假每日一卷】中考优质模拟试题<2026.2.14>-第12张图片-四季读书网" />
【冲刺卷—寒假每日一卷】中考优质模拟试题<2026.2.14> 第13张-第13张图片-四季读书网" title="【冲刺卷—寒假每日一卷】中考优质模拟试题<2026.2.14>-第13张图片-四季读书网" />
【冲刺卷—寒假每日一卷】中考优质模拟试题<2026.2.14> 第14张-第14张图片-四季读书网" title="【冲刺卷—寒假每日一卷】中考优质模拟试题<2026.2.14>-第14张图片-四季读书网" />
【冲刺卷—寒假每日一卷】中考优质模拟试题<2026.2.14> 第15张-第15张图片-四季读书网" title="【冲刺卷—寒假每日一卷】中考优质模拟试题<2026.2.14>-第15张图片-四季读书网" />
【冲刺卷—寒假每日一卷】中考优质模拟试题<2026.2.14> 第16张-第16张图片-四季读书网" title="【冲刺卷—寒假每日一卷】中考优质模拟试题<2026.2.14>-第16张图片-四季读书网" />
【冲刺卷—寒假每日一卷】中考优质模拟试题<2026.2.14> 第17张-第17张图片-四季读书网" title="【冲刺卷—寒假每日一卷】中考优质模拟试题<2026.2.14>-第17张图片-四季读书网" />
【冲刺卷—寒假每日一卷】中考优质模拟试题<2026.2.14> 第18张-第18张图片-四季读书网" title="【冲刺卷—寒假每日一卷】中考优质模拟试题<2026.2.14>-第18张图片-四季读书网" />

2026.2.14

2025中考冲刺卷:

1、复制下面链接网页下载打印: 

【冲刺二】2025年山西省初中学业水平考试冲刺(二)

链接: https://pan.baidu.com/s/1o06BPLkBB8wbunFbZRHhPg?pwd=rngb 提取码: rngb 

2、也可以扫描下面二维码下载打印:

【冲刺卷—寒假每日一卷】中考优质模拟试题<2026.2.14> 第19张-第19张图片-四季读书网" title="【冲刺卷—寒假每日一卷】中考优质模拟试题<2026.2.14>-第19张图片-四季读书网" />

2026.2.13【中考猜想卷—每日一卷】中考优质模拟试题:猜想卷—寒假每日一卷&lt;2026.2.13&gt;

2025中考猜想卷:

1、复制下面链接网页下载打印: 

链接: https://pan.baidu.com/s/1rXDJQdodberQB5Strg95YQ?pwd=bnin 提取码: bnin 

--来自百度网盘超级会员v1的分享

2、也可以扫描下面二维码下载打印:

【冲刺卷—寒假每日一卷】中考优质模拟试题<2026.2.14> 第20张-第20张图片-四季读书网" title="【冲刺卷—寒假每日一卷】中考优质模拟试题<2026.2.14>-第20张图片-四季读书网" />

       下面是2025中考考前模拟试题100套,大家利用寒假好好练习,预祝大家2026中考金榜题名!

1、复制下面链接网页下载打印: https://pan.baidu.com/s/1WS0pOGmC9fWsOORyj6bXWg 提取码: r8b9 

2、也可以扫描下面二维码下载打印:

【冲刺卷—寒假每日一卷】中考优质模拟试题<2026.2.14> 第21张-第21张图片-四季读书网" title="【冲刺卷—寒假每日一卷】中考优质模拟试题<2026.2.14>-第21张图片-四季读书网" />

2026.2.12

<1>通过网盘分享的文件:2025中考抢分卷:

链接: https://pan.baidu.com/s/1XOY_I7J0MM5fFNs-D65NYA 提取码: 7ib7 

通过网盘分享的文件:65-(6.15更新)【考前抢分卷】山西省2025届中考考前抢分卷

链接: https://pan.baidu.com/s/1XOY_I7J0MM5fFNs-D65NYA 提取码: 7ib7 

<2>扫描下面二维码也可:

【冲刺卷—寒假每日一卷】中考优质模拟试题<2026.2.14> 第22张-第22张图片-四季读书网" title="【冲刺卷—寒假每日一卷】中考优质模拟试题<2026.2.14>-第22张图片-四季读书网" />

更多好题请下载

【百度网盘优质学习资料】

山西中考2025定心、10号、考前10天、载望、冠一、抢分、冲刺

通过网盘分享的文件:定心、10号、考前10天、载望、冠一、抢分、冲刺

链接: https://pan.baidu.com/s/1nGv8k9HkD8XVmI7PNfpiqg?pwd=2m5d 提取码: 2m5d 

【冲刺卷—寒假每日一卷】中考优质模拟试题<2026.2.14> 第23张-第23张图片-四季读书网" title="【冲刺卷—寒假每日一卷】中考优质模拟试题<2026.2.14>-第23张图片-四季读书网" />

【百度网盘优质资料】

1、山西中考2025方向卷:

通过网盘分享的文件:方向卷

链接: https://pan.baidu.com/s/1nH_cvtTAy6mfAQyMGoJpEg?pwd=j2v6 提取码: j2v6 

--来自百度网盘超级会员v1的分享

【冲刺卷—寒假每日一卷】中考优质模拟试题<2026.2.14> 第24张-第24张图片-四季读书网" title="【冲刺卷—寒假每日一卷】中考优质模拟试题<2026.2.14>-第24张图片-四季读书网" />

2、山西中考2025预测卷

通过网盘分享的文件:万唯原创预测卷

链接: https://pan.baidu.com/s/1kK8CWj1PmsQzSJAotUJ6lA?pwd=1c3i 提取码: 1c3i 

--来自百度网盘超级会员v1的分享

【冲刺卷—寒假每日一卷】中考优质模拟试题<2026.2.14> 第25张-第25张图片-四季读书网" title="【冲刺卷—寒假每日一卷】中考优质模拟试题<2026.2.14>-第25张图片-四季读书网" />

3、山西中考2025万唯逆袭卷

通过网盘分享的文件:万唯逆袭卷

链接: https://pan.baidu.com/s/1ftrHKEGfAjKHbMD9P1i3QQ?pwd=cdyi 提取码: cdyi 

--来自百度网盘超级会员v1的分享

【冲刺卷—寒假每日一卷】中考优质模拟试题<2026.2.14> 第26张-第26张图片-四季读书网" title="【冲刺卷—寒假每日一卷】中考优质模拟试题<2026.2.14>-第26张图片-四季读书网" />

4、山西中考2025万唯黑白卷

通过网盘分享的文件:万唯黑白卷

链接: https://pan.baidu.com/s/1I9EeatCCrBfM3Kst-KSLFQ 提取码: g5wg 

--来自百度网盘超级会员v1的分享

【冲刺卷—寒假每日一卷】中考优质模拟试题<2026.2.14> 第27张-第27张图片-四季读书网" title="【冲刺卷—寒假每日一卷】中考优质模拟试题<2026.2.14>-第27张图片-四季读书网" />

5、山西中考2025聚能AB卷

通过网盘分享的文件:聚能AB卷

链接: https://pan.baidu.com/s/1Spc_r_mhTc6bRfa3saqzug 提取码: pdec 

--来自百度网盘超级会员v1的分享

【冲刺卷—寒假每日一卷】中考优质模拟试题<2026.2.14> 第28张-第28张图片-四季读书网" title="【冲刺卷—寒假每日一卷】中考优质模拟试题<2026.2.14>-第28张图片-四季读书网" />

6、山西中考2025好题 开练

通过网盘分享的文件:好题开练

链接: https://pan.baidu.com/s/18zhhvaT9TLxAi5iewFqj1w 提取码: 49gr 

--来自百度网盘超级会员v1的分享

【冲刺卷—寒假每日一卷】中考优质模拟试题<2026.2.14> 第29张-第29张图片-四季读书网" title="【冲刺卷—寒假每日一卷】中考优质模拟试题<2026.2.14>-第29张图片-四季读书网" />

6、山西中考2025方向卷

通过网盘分享的文件:方向卷

链接: https://pan.baidu.com/s/1uDIoOJOjQsMaC8_PoT3bbw 提取码: ti15 

--来自百度网盘超级会员v1的分享

【冲刺卷—寒假每日一卷】中考优质模拟试题<2026.2.14> 第30张-第30张图片-四季读书网" title="【冲刺卷—寒假每日一卷】中考优质模拟试题<2026.2.14>-第30张图片-四季读书网" />

6、山西中考2025仿真卷

通过网盘分享的文件:仿真卷

链接: https://pan.baidu.com/s/1pb-506ZGqslgHgA3M1_Itw 提取码: v4j6 

--来自百度网盘超级会员v1的分享

【冲刺卷—寒假每日一卷】中考优质模拟试题<2026.2.14> 第31张-第31张图片-四季读书网" title="【冲刺卷—寒假每日一卷】中考优质模拟试题<2026.2.14>-第31张图片-四季读书网" />

【百度网盘学习资料】

山西省2021—2025年中考真题与答案可下载打印

1、2021山西中考真题与答案

通过网盘分享的知识:2021山西中考真题与答案【复制下面链接到网页打开下载】

链接: https://pan.baidu.com/s/5JusXapl0o5vO27oNGZpiVQ

【扫描下面二维码可下载】

【冲刺卷—寒假每日一卷】中考优质模拟试题<2026.2.14> 第32张-第32张图片-四季读书网" title="【冲刺卷—寒假每日一卷】中考优质模拟试题<2026.2.14>-第32张图片-四季读书网" />

2、2022山西中考真题与答案

通过网盘分享的知识:2022山西中考真题与答案【复制下面链接到网页打开下载】

链接: https://pan.baidu.com/s/5ZYhnn7OR2vCisjdIDYKDNg

【扫描下面二维码可下载】

【冲刺卷—寒假每日一卷】中考优质模拟试题<2026.2.14> 第33张-第33张图片-四季读书网" title="【冲刺卷—寒假每日一卷】中考优质模拟试题<2026.2.14>-第33张图片-四季读书网" />

3、2023山西中考真题与答案

通过网盘分享的知识:2023山西中考真题与答案【复制下面链接到网页打开下载】

链接: https://pan.baidu.com/s/1PVZm_W0L9DaZEJvJ6KJjDA?pwd=bhbr 提取码: bhbr

【扫描下面二维码可下载】

【冲刺卷—寒假每日一卷】中考优质模拟试题<2026.2.14> 第34张-第34张图片-四季读书网" title="【冲刺卷—寒假每日一卷】中考优质模拟试题<2026.2.14>-第34张图片-四季读书网" />

4、2024山西中考真题与答案

通过网盘分享的知识:2024山西中考真题与答案【复制下面链接到网页打开下载】

链接: https://pan.baidu.com/s/1i7b-6_E6wVx75TGEChyqIQ?pwd=kdmn 提取码: kdmn

【扫描下面二维码可下载】

【冲刺卷—寒假每日一卷】中考优质模拟试题<2026.2.14> 第35张-第35张图片-四季读书网" title="【冲刺卷—寒假每日一卷】中考优质模拟试题<2026.2.14>-第35张图片-四季读书网" />

5、2025山西中考真题与答案

通过网盘分享的知识:2025山西中考真题与答案【复制下面链接到网页打开下载】

链接: https://pan.baidu.com/s/1MbiehCT4WTB9Sv4dDvBSLA?pwd=hqm9 提取码: hqm9

【扫描下面二维码可下载】

【冲刺卷—寒假每日一卷】中考优质模拟试题<2026.2.14> 第36张-第36张图片-四季读书网" title="【冲刺卷—寒假每日一卷】中考优质模拟试题<2026.2.14>-第36张图片-四季读书网" />

手机百度网盘具体使用方法(图文详细操作)

【实在不会的可以V我】
【冲刺卷—寒假每日一卷】中考优质模拟试题<2026.2.14> 第37张-第37张图片-四季读书网" title="【冲刺卷—寒假每日一卷】中考优质模拟试题<2026.2.14>-第37张图片-四季读书网" />
手机百度网盘具体使用方法(图文详细操作)
【冲刺卷—寒假每日一卷】中考优质模拟试题<2026.2.14> 第38张-第38张图片-四季读书网" title="【冲刺卷—寒假每日一卷】中考优质模拟试题<2026.2.14>-第38张图片-四季读书网" />
【冲刺卷—寒假每日一卷】中考优质模拟试题<2026.2.14> 第39张-第39张图片-四季读书网" title="【冲刺卷—寒假每日一卷】中考优质模拟试题<2026.2.14>-第39张图片-四季读书网" />
【冲刺卷—寒假每日一卷】中考优质模拟试题<2026.2.14> 第40张-第40张图片-四季读书网" title="【冲刺卷—寒假每日一卷】中考优质模拟试题<2026.2.14>-第40张图片-四季读书网" />

在互联网如此发达的今天,依然有很多人对百度网盘不会使用,其实很简单,“网盘”顾名思义就是"网络中的U盘",只是网盘里面的内容在云端保存着,如果你想放到电脑或者手机中,你需要下载到电脑或者手机里面。那么如何下载呢?主要是三个步骤:第一,下载百度网盘官方软件或APP注册一个百度网盘账号;第二,打开我发给你的链接,登录自己的账号,点击保存到百度网盘;第三,用百度网盘软件或者APP直接下载到电脑或者手机里面。(也可以不下载直接在线观看)

今天我先给大家介绍一下手机使用百度网盘方法,下次分享电脑使用方法。

1

第一步:下载百度网盘官方APP,注册一个百度网盘账号

在软件应用商城里面搜索百度网盘,下载APP

【冲刺卷—寒假每日一卷】中考优质模拟试题<2026.2.14> 第41张-第41张图片-四季读书网" title="【冲刺卷—寒假每日一卷】中考优质模拟试题<2026.2.14>-第41张图片-四季读书网" />
【冲刺卷—寒假每日一卷】中考优质模拟试题<2026.2.14> 第42张-第42张图片-四季读书网" title="【冲刺卷—寒假每日一卷】中考优质模拟试题<2026.2.14>-第42张图片-四季读书网" />
【冲刺卷—寒假每日一卷】中考优质模拟试题<2026.2.14> 第43张-第43张图片-四季读书网" title="【冲刺卷—寒假每日一卷】中考优质模拟试题<2026.2.14>-第43张图片-四季读书网" />
【冲刺卷—寒假每日一卷】中考优质模拟试题<2026.2.14> 第44张-第44张图片-四季读书网" title="【冲刺卷—寒假每日一卷】中考优质模拟试题<2026.2.14>-第44张图片-四季读书网" />
【冲刺卷—寒假每日一卷】中考优质模拟试题<2026.2.14> 第45张-第45张图片-四季读书网" title="【冲刺卷—寒假每日一卷】中考优质模拟试题<2026.2.14>-第45张图片-四季读书网" />

2

第二步:打开我发给你的链接,登录自己的账号,

点击保存到百度网盘

【冲刺卷—寒假每日一卷】中考优质模拟试题<2026.2.14> 第46张-第46张图片-四季读书网" title="【冲刺卷—寒假每日一卷】中考优质模拟试题<2026.2.14>-第46张图片-四季读书网" />
【冲刺卷—寒假每日一卷】中考优质模拟试题<2026.2.14> 第47张-第47张图片-四季读书网" title="【冲刺卷—寒假每日一卷】中考优质模拟试题<2026.2.14>-第47张图片-四季读书网" />
【冲刺卷—寒假每日一卷】中考优质模拟试题<2026.2.14> 第48张-第48张图片-四季读书网" title="【冲刺卷—寒假每日一卷】中考优质模拟试题<2026.2.14>-第48张图片-四季读书网" />

然后打开百度网盘APP

【冲刺卷—寒假每日一卷】中考优质模拟试题<2026.2.14> 第49张-第49张图片-四季读书网" title="【冲刺卷—寒假每日一卷】中考优质模拟试题<2026.2.14>-第49张图片-四季读书网" />
【冲刺卷—寒假每日一卷】中考优质模拟试题<2026.2.14> 第50张-第50张图片-四季读书网" title="【冲刺卷—寒假每日一卷】中考优质模拟试题<2026.2.14>-第50张图片-四季读书网" />
【冲刺卷—寒假每日一卷】中考优质模拟试题<2026.2.14> 第51张-第51张图片-四季读书网" title="【冲刺卷—寒假每日一卷】中考优质模拟试题<2026.2.14>-第51张图片-四季读书网" />

3

第三,用百度网盘APP直接下载到手机里面。(也可以不下载直接在线观看)

【冲刺卷—寒假每日一卷】中考优质模拟试题<2026.2.14> 第52张-第52张图片-四季读书网" title="【冲刺卷—寒假每日一卷】中考优质模拟试题<2026.2.14>-第52张图片-四季读书网" />
【冲刺卷—寒假每日一卷】中考优质模拟试题<2026.2.14> 第53张-第53张图片-四季读书网" title="【冲刺卷—寒假每日一卷】中考优质模拟试题<2026.2.14>-第53张图片-四季读书网" />
总结

    好了,以上就是手机使用百度网盘的方法,我觉得已经挺详细了,如果你还是不会,我希望你学会百度搜索,什么不会搜索什么,网上一搜一大堆方法,其实,没什么难的,大部分人都是不去做,然后就说不会!我希望你能够具体操作后,再有不懂的截图发给我,再问我!我的客户里面有很多60多岁的人都可以学会,所以我相信你也可以学会的,只是需要你去做!最后我想说遇到问题,不要抱怨,要去学习,要去百度搜索,要去实际操作,然后把问题解决,这是一件很快乐的事情!

【冲刺卷—寒假每日一卷】中考优质模拟试题<2026.2.14> 第54张-第54张图片-四季读书网" title="【冲刺卷—寒假每日一卷】中考优质模拟试题<2026.2.14>-第54张图片-四季读书网" />
【冲刺卷—寒假每日一卷】中考优质模拟试题<2026.2.14> 第55张-第55张图片-四季读书网" title="【冲刺卷—寒假每日一卷】中考优质模拟试题<2026.2.14>-第55张图片-四季读书网" />

抱歉,评论功能暂时关闭!