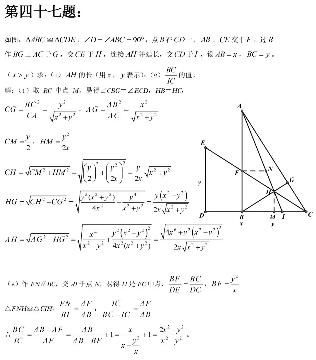
【中考数学】初中数学几何证明精选50道题,都是常考题型
四季读书网
18
【中考数学】初中数学几何证明精选50道题,都是常考题型

今天老师为大家整理的是初中数学几何证明精选50道题,都是考试常考题型,文内含详细证明过程,超适合寒假预习复习使用~1.本公众号部分转载的文章、图文、视频来自网络,其版权和文责属原作者所有,若来源标注错误或侵犯到您的权益,烦请告知,我们将立即删除。2.本公众号编辑部工作人员的原创文章,其版权属于我们微信公众号所属主体。3.本公众号特约稿原创文章,其版权和文责属作者所有。4.若要转载原创文章用于商业用途,请联系我们,未经同意不得转载。任何转载请注明文章来源。如有问题,请联系我们,谢谢!|更多内容请关注微信公众号平台:中考数学,ID:zksx100
版权声明:本文内容由互联网用户自发贡献,该文观点仅代表作者本人。本站仅提供信息存储空间服务,不拥有所有权,不承担相关法律责任。如发现本站有涉嫌抄袭侵权/违法违规的内容, 请发送邮件至23467321@qq.com举报,一经查实,本站将立刻删除;如已特别标注为本站原创文章的,转载时请以链接形式注明文章出处,谢谢!