
说明与建议:随着这几年以纯二次函数性质应用或者实际应用为主的试题出现,早些年常考的二次函数背景下的几何问题(以存在性为主)出现次数大大降低(小考有,大考一个没有),课堂只零星铺垫讲解设计,未再设专题;但这几个专题又对深化思考分析有帮助,故设置为自学专题,共4个,过年放假期间打卡使用。

建议:①独立尝试做讲义,可以每个题目尝试10分钟;②听视频讲解,也可以尝试做一个题目,听一个讲解视频,依此类推;③独立完整做作业,听作业讲解视频;④参与组织的线上的答疑。

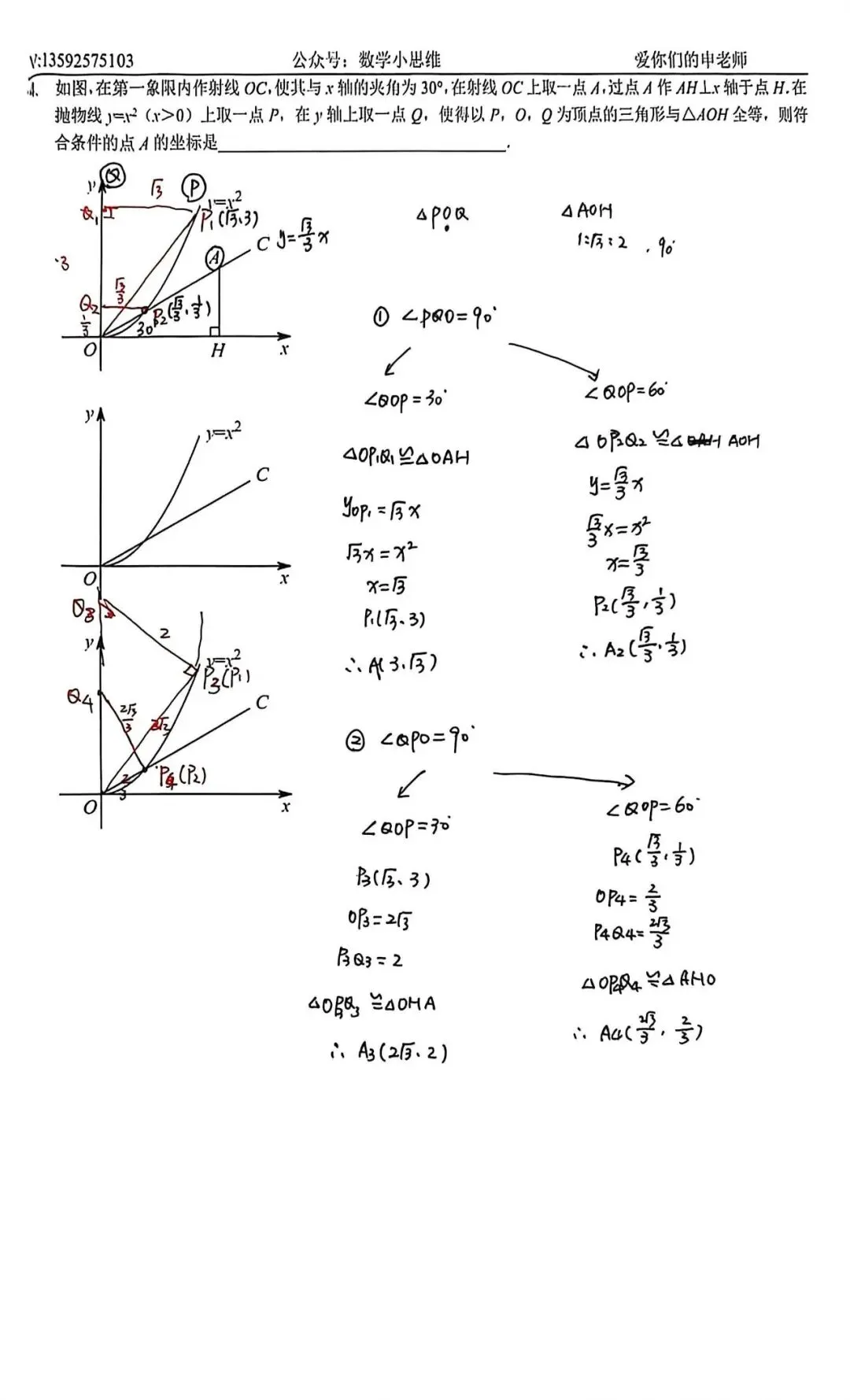
中考热点专题冲刺(26年中考)
全等△的存在性(讲义)
已关注
关注
重播 分享 赞

已关注
关注
重播 分享 赞

已关注
关注
重播 分享 赞

已关注
关注
重播 分享 赞


中考热点专题冲刺(26年中考)
全等△的存在性(巩固)

已关注
关注
重播 分享 赞
已关注
关注
重播 分享 赞
已关注
关注
重播 分享 赞






文章来源:
四季读书网
版权声明:本文内容由互联网用户自发贡献,该文观点仅代表作者本人。本站仅提供信息存储空间服务,不拥有所有权,不承担相关法律责任。如发现本站有涉嫌抄袭侵权/违法违规的内容, 请发送邮件至23467321@qq.com举报,一经查实,本站将立刻删除;如已特别标注为本站原创文章的,转载时请以链接形式注明文章出处,谢谢!