2025年湖北中考数学几何压轴题分析

四季读书网 18 0
2025年湖北中考数学几何压轴题分析
因工作忙碌,停更许久.新的一年,新的开始,继续做中考压轴题的内容.今天我们来分析一下25年的湖北中考几何压轴题,这是一道内容丰富的几何综合题,可以说将初中几何的重点内容都涵盖了.
原题呈现:
2025年湖北中考数学几何压轴题分析 第1张
第(1)、(2)问分析:
第(1)问是很常见的一个相似图形,直接考察了相似的判定.
2025年湖北中考数学几何压轴题分析 第2张
第(2)问将原图形特殊化,加了线段长的条件后,图形全定,任何一条线段的长度都可以解出.由前问证明了相似的提示,要求BE,只需求AD,然后用相似比例式即可解出,而AD作为等腰三角形ACD的底边,可以作垂线来解决.
2025年湖北中考数学几何压轴题分析 第3张
第(3)①问分析:
思路1:
证线段相等,常可以考虑证全等,尤其是题图形中,有很多相等的线段和角!在这样的思路指引下不难发现只需证△BCD≌△ECF即可.
2025年湖北中考数学几何压轴题分析 第4张
思路2:
连接BF,利用图中隐含的四点共圆,证△ABC≌△FBC(即△ABF是等腰三角形).
2025年湖北中考数学几何压轴题分析 第5张
第(3)②问多解分析:
求解线段比值的问题,关键在于转化.可将所求比值转化为其他线段的比值(更容易求解的),或者面积比、周长比等等.
思路1:延长线段构造相似基本图形
看到要求KD/KE,且有GF∥AB这个条件,很自然可考虑延长线段,构造8字形相似,如下图:
2025年湖北中考数学几何压轴题分析 第6张
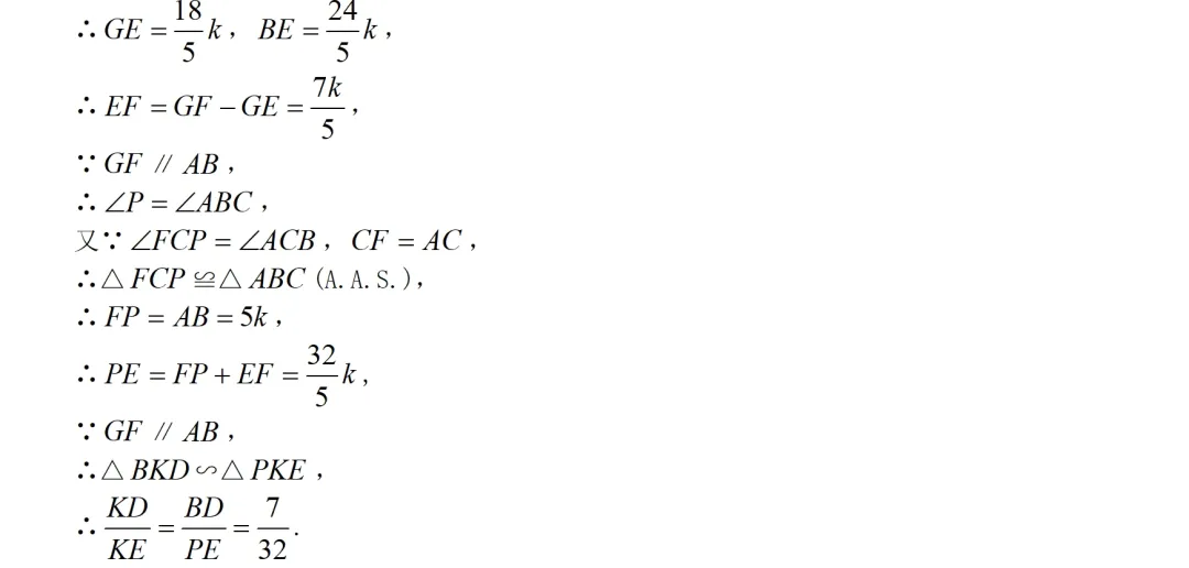
由△BKD∽△PKE,于是KD/KE=BK/PK=BD/PE,后两个比值相较而言,显然求BD/PE更为容易!
解法1:
2025年湖北中考数学几何压轴题分析 第7张
2025年湖北中考数学几何压轴题分析 第8张
思路2:作垂线构造相似基本图形
2025年湖北中考数学几何压轴题分析 第9张
思路3:充分发掘图中相似图形,不作辅助线
图中与线段KD和KE有关的三角形存在相似关系,可充分利用!
2025年湖北中考数学几何压轴题分析 第10张
思路4:将待求比值转化为面积比
2025年湖北中考数学几何压轴题分析 第11张
本题的最后一问是很有教益的,中考几何压轴题中求比值的问题是很常见的.这种问题的要点是比例的转化,将不容易求的线段比转化为容易求的线段比(或面积比等).上述解法从不同的角度体现了这一基本思路.

抱歉,评论功能暂时关闭!