人教版中考总复习二次函数之“线段最值”

四季读书网 14 0
人教版中考总复习二次函数之“线段最值”
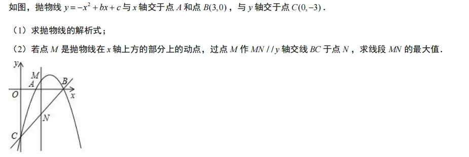
人教版中考总复习二次函数之“线段最值” 第1张
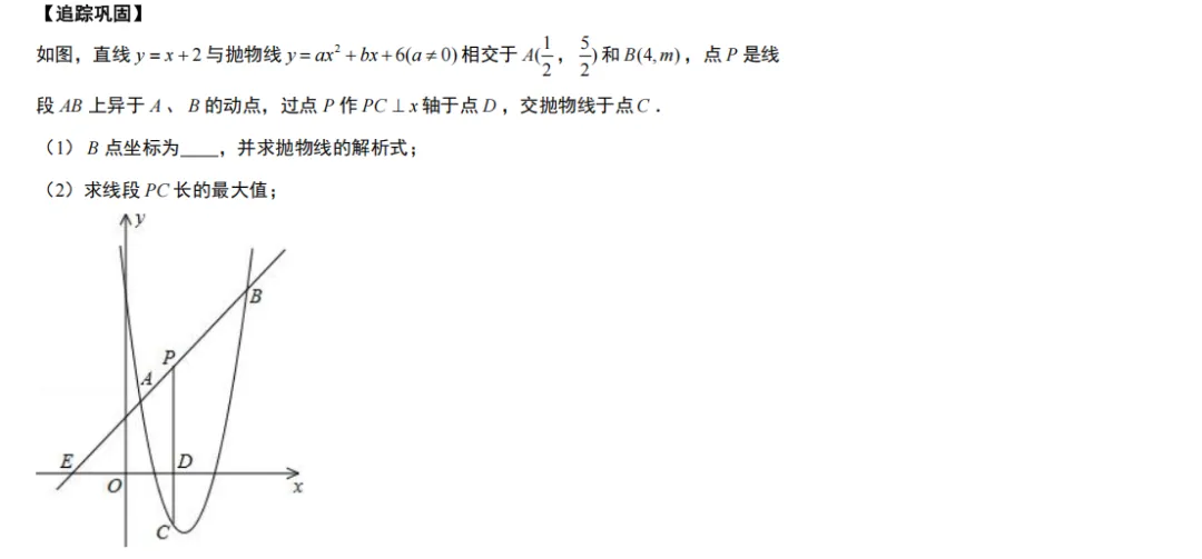
人教版中考总复习二次函数之“线段最值” 第2张
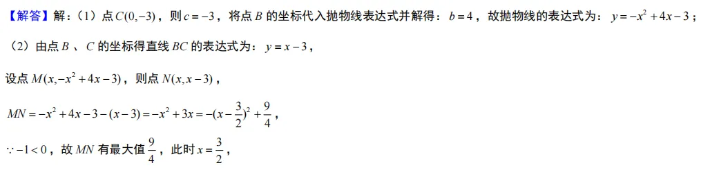
人教版中考总复习二次函数之“线段最值” 第3张
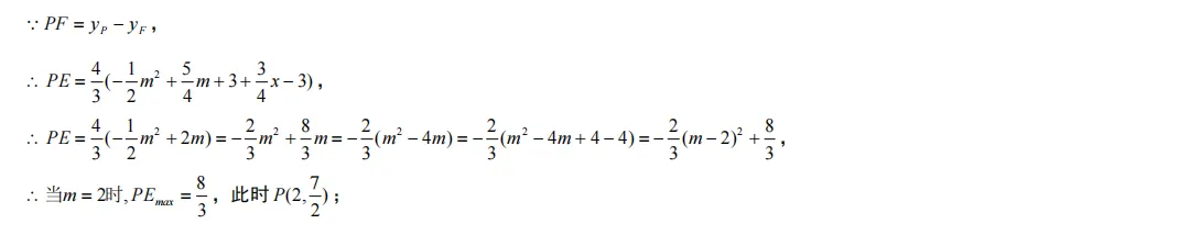
人教版中考总复习二次函数之“线段最值” 第4张
人教版中考总复习二次函数之“线段最值” 第5张
人教版中考总复习二次函数之“线段最值” 第6张
人教版中考总复习二次函数之“线段最值” 第7张
人教版中考总复习二次函数之“线段最值” 第8张
人教版中考总复习二次函数之“线段最值” 第9张
人教版中考总复习二次函数之“线段最值” 第10张
人教版中考总复习二次函数之“线段最值” 第11张
人教版中考总复习二次函数之“线段最值” 第12张
人教版中考总复习二次函数之“线段最值” 第13张
人教版中考总复习二次函数之“线段最值” 第14张
人教版中考总复习二次函数之“线段最值” 第15张
人教版中考总复习二次函数之“线段最值” 第16张
人教版中考总复习二次函数之“线段最值” 第17张
人教版中考总复习二次函数之“线段最值” 第18张
人教版中考总复习二次函数之“线段最值” 第19张
人教版中考总复习二次函数之“线段最值” 第20张
人教版中考总复习二次函数之“线段最值” 第21张
人教版中考总复习二次函数之“线段最值” 第22张
人教版中考总复习二次函数之“线段最值” 第23张
人教版中考总复习二次函数之“线段最值” 第24张

抱歉,评论功能暂时关闭!